99840 (613952), страница 5
Текст из файла (страница 5)
Логическая функциональная форма вероятности, в частности обыкновенна для регионального рынка труда:
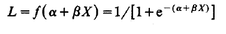
где L - участие рабочей силы, X - вектор детерминантов L, a-константа и - вектор коэффициентов. Из этого уравнения вытекает следующее:
и учитывая вероятность случайной ошибки, , добавляем к предыдущему уравнению и получаем:
3. Определение заработной платы и ее дифференцирование
3.1 Кривая Филлипса и распределение заработной платы
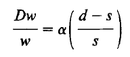
Кривая Филлипса, которая показывает отрицательные отношения между уровнем инфляции заработной платы и нормой безработицы, была впервые представлена в 1958 году в теперь известной книге Филлипса. Это отношение может быть представлено уравнением:
где Dw/w обозначает временную норму изменений заработной платы в процентах, d - спрос на рабочую силу, s - предложение рабочей силы и a> 0 - параметр регулирования. Данное уравнение воплощает обычно принимаемый закон спроса и предложения, заявляющий, что норма изменения цен на рынке является пропорциональной к лишнему спросу. Липси, однако, отметил, что измерение данных о лишнем спросе на рабочую силу не доступно, нуждаясь в использовании проверенной переменной такой, как норма безработицы. Таким образом, когда d = s, уровень безработицы будет положительным, представляя ненулевую фрикционную или структурную безработицу; когда d> s, падения уровня безработицы; и когда d
Другими словами, так как отношение Dw/w положительно связано с лишним спросом на труд, оно должно быть отрицательно связано с изменением уровня безработицы.
Отношения кривой Филлипса были широко обсуждены и проверены как с национальных, так и с региональных перспектив.
Эмпирические оценки отношения Филлипса на региональном уровне произвели смешанные результаты. Израэли и Кельман, например, исследуют спецификации, показанные в следующих уравнениях:
где Wi °, P i° и URi ° обозначают процентные изменения в заработной плате, ценах и показателях безработицы в регионе i, (1/URi) - аналог нормы безработицы в регионе i и Pi,2 - процентные изменения в ценах за два периода.
Важная особенность данных уравнений - то, что они определяют заработную плату только местными факторами. Однако, эта теория подразумевает, что рынки труда географически сегментированы и что могут существовать существенные межрегиональные дифференциалы заработной платы. Чтобы проверить, будут ли региональные рынки труда
лучше всего изучены в географической изоляции, необходимо включить распределение заработной платы в эмпирический анализ. Маркис и Рид, например, исследовали уравнение, похожее на
за исключением того, что четвертая объяснительная переменная
(Wi,2*), был добавлен, измеряя отношение заработной платы в городе i к среднему уровню заработной платы на пяти городских рынках труда (Хьюстон, Лос-Анджелес, Портленд, Сан-Франциско и Сиэтл). Эта переменная была включена, чтобы учесть межрегиональный обратный эффект на процесс определения заработной платы города. В своих расчетах, Маркис и Рид нашли, что коэффициенты P0 и Wi,2* являются положительными и очень значительными, в то время как ни один из коэффициентов URi и 1/URi не были существенны. Рид, Хатчинсон и Рубин также сделали подобные выводы после передачи анализу переменных межрегиональной заработной платы.
Подход, основанный на ведущих регионах, представляет особенно интересный способ рассматривания перехода заработной платы и процесс распределения. Этот подход основан на идее, что изменения доходов на лидирующем рынке, определенные излишним спросом на рабочую силу, передаются, полностью или частично, на отстающие рынки.
Таким образом, в отличие от кривой Филлипса, гипотеза ведущего сектора экономики предполагает, что межрегиональные дифференциалы заработной платы будут устранены. Существует два возможных, но весьма непохожих, механизмов, которые могли привести к этому результату. Во-первых, в качестве процесса, благодаря которому отстающие регионы догоняют лидирующие, может быть в значительной степени установлен тот, в котором служащие заключают сделку на увеличение заработной платы, равной заработным платам в других регионах независимо от местного состояния рынка труда. Во-вторых, увеличение заработной платы отстающих регионов могут просто отражать эффект конкуренции на рынке товаров и услуг и подвижность факторов производства в движении экономики к равновесию. Хотя подход ведущего региона является общепризнанным, важная проблема все еще остается: в нем не существует уникального и однозначного способа выделить ведущие регионы экономики страны. Различные методы использовались, включая численность населения и ключевые группы промышленности, но экономисты согласны с тем, что любая процедура ранжирования будет произвольна.
3.2 Межрегиональные дифференциалы заработной платы
Межрегиональные различия в средней заработной плате и доходе вызвали огромное число эмпирических исследований, чтобы объяснить, почему эти дифференциалы получили поддержку. Причины часто включают препятствия, связанные с капиталом и трудовую мобильность так же, как и межрегиональные различия в силе профсоюзов, техниках производства, стоимости проживания, индустриальном и профессиональном составе, расовой дискриминации, снабжении и возвращении к человеческому капиталу и удобствами. Существует несколько типов рабочей силы, которым платят различные нормы равновесной заработной платы и не замещаются в производстве.
Привлекательность неоклассического типа модели в изучении межрегионального различия в средней заработной плате легко демонстрируются, используя пример, основанный на определенной формулировке фактора, предложенной Джонсом, функции производства показывают постоянные доходы и все рынки всегда находятся в конкурентоспособном равновесии. Эти два предположения подразумевают, что человеческий фактор полностью используется, и предприниматели зарабатывают нулевую прибыль.
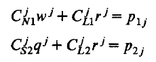
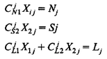
Алгебраически полные условия занятости могут быть выражены как:
и уравнения нулевой прибыли
где Cikj - коэффициент ввода - вывода, обозначающий среднее количество фактора i (i=N, S, L), использующегося при производстве товара k (k=1,2) в регионе j (j=A, B), Xkj обозначает количество товара k, произведенного в регионе j, N обозначает количество рабочей силы низкой квалификации, доступной в регионе j, Sj обозначает количество доступной квалифицированной рабочей силы в регионе j, Lj обозначает количество земли, доступной в регионе j, wj обозначает норму заработной платы, которую платят Nj, qj обозначает норму заработной платы, заплаченной Sj, r - норма ренты к Lj, а Pkj обозначает цену товара k в регионе j. Спецификация, показанная неявно предполагает, что все три фактора - межрегионально неподвижны и нет никакой торговли товарами. Кроме того, в пределах каждого региона, земля межсекторно мобильна, тогда как два типа рабочей силы - используются только в производстве одного из двух товаров региона.
Теперь предположим, что торговля товарами может происходить с нулевыми транспортными расходами, то есть PkA = PkB = Pk (k =1,2), и есть свободный поток знаний так, что производственные технологии в регионах идентичны. В модели типа Хекшера-Охлина, с равным числом товаров и факторов производства, предположения, сделанные к этому пункту были бы достаточным, чтобы гарантировать равновесные цены на фактор. Для равновесия цен на фактор, чтобы случиться в неоклассической модели, по крайней мере один из трех факторов должен быть полностью мобильным межрегионально. Таким образом, в вышеприведенной модели, нулевых уравнений прибыли не достаточно, чтобы определить цену на фактор, когда известны только цены на товары. Вместо этого цены на фактор зависят не только от цен на товары, но также и от предложения фактора производства, данного из уравнения полной занятости.
Равновесие цен на фактор в неоклассической модели, однако, может быть гарантировано наложением дополнительного и, в региональном контексте, очень вероятного предположения, что по крайней мере один из двух факторов труда является межрегионально мобильным. В настоящий момент, предположим, что только квалифицированная рабочая сила мобильна. В этом случае, заработная плата, заплаченная каждому фактору, была бы межрегионально равной. Однако, даже если WA = WВ = W и qA= qB = q, неоклассическая модель все еще учитывала бы межрегиональное различие в средней заработной плате, заплаченной рабочей силе. Чтобы проиллюстрировать, средняя заработная плата в регионе A получена, вычисляя взвешенную сумму w и q, где веса показывают пропорцию чернорабочих и квалифицированных рабочих, соответственно, в полной региональной рабочей силе. Даже после разрешения межрегионального перемещения квалифицированной рабочей силы, процентное отношение двух типов рабочих в рабочей силе каждого из этих двух регионов были бы одинаковыми только в результате большой удачи. Эта ситуация легко могла бы быть замечена с тех пор, когда начальное региональное снабжение землей отличался бы. Поэтому, предполагая, что q> w, регион с самым высоким процентом квалифицированной рабочей силы в общей рабочей силе также имел бы самую высокую среднюю заработную плату. Наконец, эта разница в средней заработной плате была бы устранена в описанной модели, если бы оба типа рабочей силы были межрегионально мобильны. В случае полной мобильности труда, равновесие цены на фактор все еще преобладало бы; однако, предложение фактора в регионе A закончилось бы быть постоянным сравнительно с регионом B. Следовательно, в формулировке модели, где межрегиональное различие в средней заработной плате - важная особенность, неоклассический подход с мобильностью только квалифицированной рабочей силы мог бы быть выбран. С этой точки зрения, разрыв в заработной плате может быть введен, не принимая полную неподвижность труда, существование препятствий к передаче знания или потоков фактора, или дефицитов на любом из рынков.
Заключение
Сложность моделирования региональных трудовых рынков должна быть очевидной исходя из предыдущей главы, даже, не принимая во внимание занятия, навыки и институциональные факторы. Различные компоненты системы рынка труда показаны на рисунке 3. Хотя существование экономико-демографических взаимосвязей может казаться очевидным, они составляют значительное упрощение функционирования рынков труда, демографы и экономисты очень редко моделируют население и экономику так, как будто они связаны.
Рисунок 3 - Компоненты рынка труда
Демографы вообще обычно игнорируют как экономические последствия, так и определители изменений населения, в пользу экстраполирования будущих тщательно изученных возрастных, половых и расовых норм миграции и смертности. Опираясь на иллюстрацию1.3, демографические модели популяционного изменения сосредоточились исключительно на нижней части схемы, квадратах 5, 6, и 7.
Модели, построенные региональными экономистами, главным образом не являются исчерпывающими. Они изменяются в зависимости от подходов. Некоторые экономические модели полностью игнорируют население; они содержат только квадраты 2, 3, и 4. Другие модели рассматривают население как экзогенную переменную, т.е. они состоят из квадратов 1, 2, 3, и 4 и включают последствия популяционных изменений, а не их причины. Другие игнорируют причины и только частично моделируют последствия популяционного изменения; они включают квадраты схемы под номерами 1, 3, и 4, эффекты спроса популяционного изменения, но не эффекты предложения.
Наконец, некоторые включают экономические определители популяционного изменения, но не моделируют изобилие или естественное увеличение и они игнорируют влияние населения на экономические условия; они состоят из квадратов 2 и/или 3, 4, и 7, типично просто добавляя популяционное уравнение к главной экономической модели.
Без более значащих представлений региональных рынков труда, без вкладов региональных экономических моделей в политику труда, анализ будет и должен оставаться очень ограниченным.
Список использованных источников
-
Социально-экономическая статистика: учебник для вузов, под. ред. Б.И. Башкатова. - М.: ЮНИТИ-ДАНА, 2007. - 261 с.
-
Рынок труда: учебник для вузов, под. ред.В.С. Буланова. - М.: Бином - Пресс, 2006. - 210 с.
-
Куликова В.П. Методы и модели прогнозирования: учебно-методическое пособие. Петропавловск: СКГУ им. М. Козыбаева, 2007. - 313 с., 32 рис., 52 табл., 60 библ. ссылок.
-
Социально-экономическая статистика: практикум, под ред. д-ра экон. наук, проф. С.А. Орехова. - М.: Эксмо, 2007. - 384 с.
-
Практикум по социально-экономической статистике: практикум, под ред.А.Н. Чижова. - СПб.: КОРОНА-Век, 2008. - 412 с.
-
Социально-экономическая статистика: учебник для вузов, под. ред.О.Г. Елемесова. - М.: Наука, 2008. - 586 с.
-
Экономическая статистика: учебник для вузов, под. ред. И.В. Иванова. - М.: ИНФРА - М, 2008. - 480 с.
-
Адамчук В.В., Томашов О.В., Сорокина М.Е. Экономика и социология труда. М.: Бином - Пресс, 2005. - 68 с.
-
Рынок труда: учебник, под ред. проф.В.С. Буланова и проф. Н.А. Волгина. - М.: "Экзамен", 2006. - 562с.
-
Теория статистики: учебник, под ред. Р.А. Шмойловой. - М: ИНФРА-М., 1996. - 312 с
-
Р. Хуссманс, Ф. Мехран, В. Верма. Обследование экономически активного населения: занятость, безработица и неполная занятость. Методическое руководство Международного бюро труда. М., Финстатинформ, 2007. - 524 с.
-
http://www.czn. kurganobl.ru/















