96633 (613561), страница 2
Текст из файла (страница 2)
1.2 Международные цены и выигрыш в торговле
Внутренние и международные цены. В модели Рикардо внутренние цены равны относительным внутренним издержкам. Абсолютная цена на товар соответствует стоимости его производства, т.е. ц
= (а
)
Ѕз, ц
= (а
)
Ѕз. В простейшем случае можно считать, что заработная плата (з) во всей экономике одинакова, относительные цены примерно равны относительной стоимости:
ц
/ц
= (а
)
/(а
)
и ца/ц
= (а
)
/(а
)
.
Север согласится покупать текстиль за рубежом, если предложенная им относительная международная цена (Ц
/Ц
), определяющая условия международного обмена, будет ниже внутренней относительной цены (ц
/ц
), определяющей внутренние условия обмена, т.е.
(Ц
/Ц
) < (ц
/ц
) = 2.
Со своей стороны, Юг согласится продавать текстиль, если относительная международная цена будет превышать внутреннюю:
(Ц
/Ц
) < (ц
/ц
) = 0,66.
Таким образом, чтобы обе страны получили выгоду от торговли, они должны импортировать товар, относительно менее дорогой, чем, если бы он был произведен внутри страны, и продавать за границу - экспортировать товар по более высокой цене, чем его можно было бы продать внутри страны в условиях автаркии (изоляции).
В приведенном выше примере международная цена текстиля должна находиться в пределах соотношений внутренних цен: 0,66 и 2 - по текстилю; 0,5 и 1,5 - по автомобилям. Если соотношение международных цен установится, например, на уровне 1,0, т.е. 1 ед. текстиля за 1 ед. автомобилей, то обе страны выигрывают от обмена и, следовательно, будут заинтересованы участвовать в нем.
Установление международных цен и распределение выигрыша в торговле. В рассматриваемой модели внутренние цены определяются лишь стоимостью производства, т.е. условиями предложения. Джон С. Милль показал, что международные цены должны определяться условиями мирового спроса.
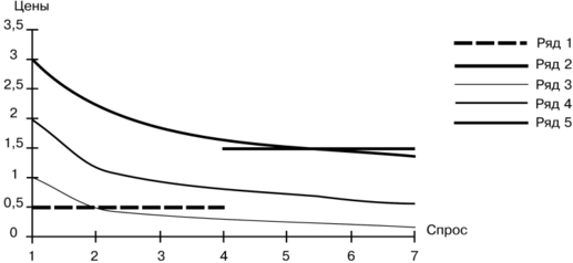
На рисунке 1 показано предложение автомобилей в относительных внутренних ценах Севером (линия 1) и Югом (линия 2). Возможные величины мирового спроса на автомобили в относительных ценах показаны кривыми 3, 4 и 5. Точную величину международной цены определяет конкретная величина мирового спроса, равного сумме спроса в обеих странах. Если мировой спрос представлен кривой 5, то международная цена на автомобили окажется выше внутренних цен в обеих странах. Обе страны заинтересованы в обмене, что приведет к специализации Севера на производстве автомобилей, а Юга - на производстве текстиля. Но чем ниже относительная цена автомобилей (например, кривая 4 на рис. 1), тем больше международная цена приблизится к внутренней цене Севера, тем меньше Север выиграет от обмена. Спрос даже может быть настолько ограниченным, соответствующим кривой 3, что на Севере наметится перепроизводство, и Север будет вынужден перейти на выпуск другого товара.
Рис. 1. Предложение севера (1) и Юга (2) и мировой спрос (3, 4, 5 )
Выводы. 1. Выигрыш от обмена в большинстве случаев распределяется между партнерами неравномерно. 2. Страны, которые обладают сравнительным преимуществом в производстве товаров, пользующихся повышенным спросом на мировом рынке, имеют больше возможностей получения выигрыша от обмена.
1.3 Влияние уровня заработной платы
Заработная плата, производительность труда и сравнительные преимущества по нескольким товарам. В случае обмена несколькими товарами (1, 2, 3, ..., n) между двумя странами (Югом и Севером) можно составить следующую цепь сопоставлений относительных стоимостей по относительным затратам труда (трудоемкости):
(а
)1/(а
)*1 < (а
)2/(а
)*2 < +... < (а
)n/(а
)*n,
где звездочкой отмечены стоимости, относящиеся к Югу. Однако направления специализации двух стран будут зависеть не только от трудоемкости. Весьма вероятно, что в разных странах и в производстве разных товаров различается и оплата труда. Это можно учесть, если сравнивать стоимости в денежном выражении.
Если отношение уровня заработной платы в соответствующих отраслях Севера и Юга зi > зi* таково, что цены на Севере окажутся выше, т.е. зi (а
)i > зi* (а
)*i, то товар i выгоднее производить на Юге. Если отношение з/з* будет больше (а
)/(а
)*, то товары выгоднее выпускать на Юге, чем на Севере, и наоборот. В табл. 6.3 приведен вариант, когда уровень заработной платы на Севере в 3 раза выше, чем на Юге. Хотя Юг не имеет никакого абсолютного преимущества, он обладает сравнительным преимуществом по трем первым товарам - фруктам, текстилю и игрушкам, поскольку их дешевле производить на Юге, чем на Севере. Автомобили и станки следует выпускать на Севере.
Цепь сравнительных преимуществ и динамика специализации. Анализ двух стран можно легко распространить на несколько стран. В этом случае выстраивается иерархия сравнительных преимуществ, при которой страны с относительно минимальными издержками специализируются в первую очередь на товаре, который они способны производить с минимальными относительными издержками, а затем на остальных товарах. Мировой спрос будет распределяться между странами, специализирующимися на данном товаре, и всеми остальными странами. Такая иерархия может пересматриваться по мере появления новых сравнительных преимуществ.
В реальной жизни этот принцип применяется точно так же, как и в рассмотренных примерах. Например, если сопоставить стоимость производства в черной металлургии, то можно выявить, что наибольшие преимущества в 1984 г. имели Южная Корея и Испания. Страны с повышенными издержками (такие, как США и Франция) испытывали затруднения со сбытом своей продукции, их заводы работали с неполной загрузкой мощностей. В 1998-1999 гг. в черной металлургии сравнительные преимущества имела Россия, что даже привело к введению в США ограничений на экспорт стали из России.
Таблица 3 - Сравнительные преимущества по нескольким товарам
| #G0Товары | Трудоемкость, ч | Сравнительная трудоемкость | Сравнительный уровень заработной платы | Сравнительная стоимость | ||||
| Север | Юг | |||||||
| Фрукты | 7 | 9 | 1,28 | 3 | 0,43 | |||
| Текстиль | 6 | 10 | 1,66 | 3 | 0,55 | |||
| Игрушки | 5 | 12 | 2,40 | 3 | 0,80 | |||
| Автомобили | 4 | 18 | 4,50 | 3 | 1,50 | |||
| Станки | 3 | 20 | 6,66 | 3 | 2,22 | |||
Ложные толкования закона сравнительных преимуществ. Несмотря на внешнюю простоту, закон сравнительных преимуществ иногда считают одним из наиболее сложных законов экономической науки. Его плохое понимание привело к появлению многочисленных ложных толкований, четыре вида которых описаны ниже.
1. Малые или развивающиеся страны якобы не имеют сравнительных преимуществ. Эта широко распространенное заблуждение базируется на смешении абсолютных и сравнительных преимуществ. Оно лежит в основе теории, согласно которой развивающиеся страны заинтересованы в автаркии, самообеспечении и наращивании экономического потенциала и лишь потом могут принять участие в международном обмене. В соответствии с этой теорией западные страны стремятся ограничить свои связи с Японией, поскольку они не обладают сравнительными преимуществами перед ней.
2. Торговля якобы ухудшает положение страны, которая использует больше труда для производства товаров на экспорт, чем его заключено в товарах, получаемых из других стран (теория неравного обмена). Эта теория основана на непонимании сущности сравнительных издержек. Для того чтобы выявить выигрыш или потери страны от обмена либо установить наличие «эксплуатации» одной страны другой, необходимо сопоставлять не количество труда в экспортном или импортном товаре, а трудовые затраты в импортируемом товаре, если бы стране пришлось производить данный товар самостоятельно.
Так, в примере, приведенном в табл. 2, Юг импортировал автомобили, которые обошлись бы ему при самостоятельном производстве в 12 ч труда на 1 ед. Этот автомобиль Юг обменял бы на 1 ед. текстиля, которая стоила бы 8 ч труда. Таким образом, Юг сэкономил бы 4 ч труда, несмотря на то, что экспорт 1 ед. текстиля в обмен на импорт одной автомашины означал бы обмен 8 ч труда Юга на 3 ч труда Севера. Этот простейший подсчет позволяет понять, почему все отсталые страны, которые пытались развиваться на основе собственных ресурсов, заменяя импорт отечественной продукцией, сами разорили себя. Напротив, страны, поощрявшие экспорт товаров, в производстве которых они имели сравнительные преимущества, достигли больших успехов в индустриализации.
3. Конкуренция стран с низким уровнем заработной платы якобы незаконна. В принципе размер заработной платы связан с производительностью труда. Если на Юге заработная плата ниже, чем на Севере, то только из-за более низкой производительности труда. Возвращаясь к анализу специализации стран по нескольким товарам (табл. 6.3), напомним, что в любом случае каждая из стран сохраняет свои сравнительные преимущества. Поэтому утверждения о незаконности каких-либо одних преимуществ и законности других являются необоснованными.
4. Закон сравнительных преимуществ якобы оправдывает либеральную доктрину «попустительства-разрешения» . Эта путаница между доктриной "попустительства-разрешения" и теорией сравнительных преимуществ встречается часто даже в учебниках. Следует иметь в виду, что закон сравнительных преимуществ не лежит в основе какой-либо экономической системы. При любой экономической системе стране всегда предпочтительнее вести обмен в соответствии со сравнительными преимуществами для того, чтобы извлечь максимальные выгоды из мирового разделения труда.
1.4 Эмпирическая проверка теории Рикардо
Тест Макдугала. Наиболее известная эмпирическая проверка теории Рикардо - тест, который был проведен Макдугалом в 1951 г. Он сопоставил производительность труда и показатели экспорта Великобритании и США за 1937 г. Для этого им был проанализирован экспорт этих стран по 27 отраслям промышленности. Разделив объем производства каждой отрасли на количество применяемого в ней труда, он получил производительность труда по отраслям и странам. Чтобы определить относительную производительность, Макдугал соотнес показатели производительности и оплаты труда.















