91493 (612874), страница 3
Текст из файла (страница 3)
Из эхинацеи были выделены отдельные полисахариды, обладающие иммуностимулирующими и умеренными противовоспалительными свойствами. Полисахаридами богата надземная часть эхинацеи пурпурной, а корни содержат достаточно высокую концентрацию инулина.
Эхиназиды, пожалуй, самый полезный компонент эхинацеи.
Эхиназиды, как и пенициллин, могут быть такими же эффективным в уничтожении большого количества вирусов, бактерий, грибков и простейших. Шесть миллиграммов Эхиназида эквивалентно одному модулю пенициллина.
Алкиламиды, содержащиеся в самой большой концентрации в корнях эхинацеи имеют умеренные анестезирующие свойства [5].
Все органы растения содержат полисахариды, эфирное масло (цветки - до 0,5%, трава - до 0,35%, корни от 0,05 до 0,25%). Главная составная часть эфирного масла - нециклические сесквитерпены. В корнях обнаружены гликозид, эхинакозид, бетаин (0,1%), смолы (около 2%), органические кислоты (пальмитиновая, линолевая, церотиновая), а также фитостерины.
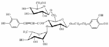
Эхинакозиды - особые комплексы из глюкозы, рамнозы и кафеиновой кислоты, характерные для эхинацеи.
Фармакологические свойства. Инулин, содержащийся в эхинацее, активирует иммунную систему, усиливая движение белых кровяных клеток к областям инфекции, увеличивая растворимость иммунных комплексов и разрушая бактерии, вирусы и другие микроорганизмы.
В полисахаридах, окружающих клетки тканей и. таким образом, защищающих их от бактериальных и патогенных инвазий, кроется иммуностимулирующее воздействие эхинацеи. Кроме того, составляющие полисахаридов, стимулируя фибробласты и угнетая гиалуронидазу энзимов, которая разрушает внутриклеточный цемент, называемый гиалуроновой кислотой; способствуют регенерации ткани. Эхинацея обладает также стимулирующим действием на функцию костномозгового кроветворения.
Эхинацеи присущ и целый ряд других ценных свойств, к которым в первую очередь следует отнести антибактериальные, антивирусные и фунгицидные.
Полисахариды эхинацеи усиливают фагоцитоз макрофагов и стимулируют выработку макрофагами нескольких важных для иммунной системы компонентов. Полисахариды, содержащиеся в эхинацеи пурпурной, вызывают усиленную пролиферацию фагоцитов в селезенке и костном мозге, а также миграцию гранулоцитов к периферийной крови in vivo. In vitro микрофаги стимулируются к выработке интерлейкина-1, интерлейкина-6 и противоопухолевого фактора альфа, что повышает количество реактивных кислородных посредников и угнетает рост Candida albicans.
Применение. Эхинацея - одно из наиболее применяемых растений, используемых в лечебных целях североамериканскими индейцами. Впервые была введена в медицину доктором Х.К. Фомом, который, начиная с 1871 использовал её для приготовления " очистителя крови ", применяемый им в комплексной терапии различных заболеваний, включая: ревматизм, мигрень, инфекционные болезни, боли различной этиологии, раны, экзему, головокружения, отравления при укусы гремучей змеи, опухоли, сифилис, гангрена, тифе, малярия, геморрой.
К 1920-году эхинацея была одним из наиболее популярных препаратов. Эхинацея была представлена в Европе в 1930-ых, экстенсивно исследовалась в 1950-ых, в настоящее время интенсивно применяется в медицине.
В Западной Германии из эхинацеи изготавливается более 250 фармацевтических препаратов, включая, экстракты, мази и напитки.
Эхинацея очень популярна в США и Европе [19].
Биологически активные вещества (БАВ) растения за последние десятилетия широко используются в качестве источников эффективных лекарственных средств, преимущественно с иммуностимулирующей и противовоспалительной активностью.
Эхинацея пурпурная применяется внутрь при инфекционных и септических заболеваниях, наружно - при карбункулах, абсцессах, инфицированных ранах, ожогах I-III степени и тяжелых пролежнях;
при ожогах применяется как обезболивающее средство;
препараты эхинацеи используются с профилактической целью при первых признаках простуды, при длительном приеме антибиотиков, оздоровлении лиц, перенесших воздействие радиации или проживающих в зонах, неблагоприятных по радиационному уровню;
противовоспалительное действие биологически активных веществ эхинацеи сочетается с ее иммуномодулирующими свойствами и используется в пульмонолигеской практике. Ценность препаратов эхинацеи для пульмонологии определяется тем, что их регулярный профилактический прием в течение 40-50 дней позволяет почти в 2 раза снизить вероятность инфицирования дыхательных путей, а в случае заражения заболевания протекают в более легкой форме.
препараты эхинацеи используются в аллергологической практике, что определяется их иммуномодулирующими, противовоспалительными и антиоксидантными свойствами;
препараты эхинацеи оказывают лечебное действие при различных патологических состояниях за счет повышения естественных защитных сил организма. В результате фармакологических исследований показано стимулирующее действие эхинацеи на иммунную систему. Это действие проявляется не только у взрослых, но и у детей с неустановившейся иммунной системой, а также у лиц преклонного возраста, у которых функции этой системы в связи с общим старением организма понижены.
3.4 Молочай Палласа
Молочай Палласа (Euphorbia pallasii) семейства молочайные (Euphorbiaceae). Мощнейшим иммуномодулятором является молочай Палласа (он же молочай Фишера), называемый в народе "мужик-корень" [14].
Ботаническое описание. Молочай Палласа многолетнее травянистое растение с длинным, более 1 метра длиной, толстым ветвистым корнем. Цветущие стебли толстые, крепкие, голые, 20-50 см. высотой. Листья супротивные, широкие, в нижней части стебля - чешуевидные, в средней - лилейные, расположены мутовками по 2-5, сидячие, продолговатые, жесткие, с притупленной верхушкой. Цветки молочая Палласа в крупном, широком, зонтиковидном соцветии, плод - коробочка несколько сплюснутая, крупный, с 3 семенами. Все части растения обильно выделяют млечный сок. Цветет в мае,
Ареал, культивирование. Это растение имеет очень ограниченный ареал произрастания - Алтай и Сибирь, также распространен в Восточной Сибири (Даурский район), Северной Монголия, в Китае.
Заготовка, сушка. С лечебной целью используются корни, Заготовляют у молочая Палласа корни в период увядания надземных органов - весной и осенью. Растение выкапывают, удаляют мелкие корешки, хорошо промывают в воде, режут на пластинки и сушат.
Химический состав. В химическом отношении молочай Палласа изучен недостаточно. В корнях содержатся алкалоиды, сапонины, гликозиды, токсины, горькие экстрактивные вещества, смолы и углеводороды, также найдены алкалоиды, дубильные вещества, флавоноиды, следы антраценпроизводных, аскорбиновая кислота и более 8% смол. Молочай Палласа содержит большое количество селена. Также содержит эфирное масло, сахарозу, мирицин, фитостерин, жирные кислоты (пальмитиновую, стеариновую, линолеиновую) [9].
Фармакологические свойства. Нужно отметить, что растение помимо иммуномодулирующего свойства обладает регулирующим действием на эндокринную сферу, в особенности, на обмен андрогенов (мужских половых гормонов). Это делает возможным применение молочая Палласа при опухолях половой сферы, при импотенции, обладает бактерицидным, противовоспалительным, противоопухолевым и слабительным действием.
Молочай Палласа нормализует обмен веществ, способствует похудению при избыточном весе. Молочай Палласа регулирует обмен мужских половых гормонов при хроническом простатите, аденоме предстательной железы, поражении яичек. Повышает защитные силы организма, регулирует иммунитет, используется при болезнях почек и мочевого пузыря. Обладает бактерицидным, противовоспалительным, противоопухолевым и слабительным действием.
Применение. Растение ядовитое, поэтому его используют в виде спиртовой настойки, дозируемой капельно.
В народной медицине молочай Палласа применяется издавна в качестве возбуждающего и слабительного средства. Внутрь его назначают при самых разнообразных заболеваниях - как "кровоочистительное", при заболеваниях легких, злокачественных опухолях, особенно при саркоме, язвенной болезни, как тонизирующее и стимулирующее при тяжелых общих заболеваниях (подобно женьшеню) [17].
Применяется он и в научной медицине:
наружно порошком молочая Палласа засыпают раны, особенно гнойные, применяют при фурункулах, абсцессах, флегмонах, ожогах, при зубной боли;
молочай Палласа используется при восстановлении крови после лучевой болезни и химиотерапии у онкологических больных, предотвращает рост метастазов. Это одно из немногочисленных растений, помогающих при лейкозах, стимулирующих кроветворение;
молочай Палласа применяется при легочных заболеваниях (бронхиты, пневмония, туберкулез, бронхиальная астма), желудочно-кишечных (гастрит, язва), гинекологических (воспалительные бесплодие, фибромиома, киста);
незаменим он при любых формах анемии (малокровии), а также для восстановления крови после лучевой болезни и химиотерапии у онкологических больных;
молочай Палласа повышает защитные силы организма, регулирует иммунитет, применяется при болезнях почек и мочевого пузыря (воспалениях), эпилепсии.
4. Фитопрепараты для укрепления и восстановления иммунитета
Несмотря на то, что сегодня в каждой аптеке можно найти множество лекарственных препаратов для повышения иммунитета, рецепты народной медицины и препараты растительного происхождения по-прежнему очень популярны. Более того, многие научные лаборатории, которые занимаются поиском иммуноукрепляющих веществ, находят вдохновение именно в природных ресурсах, выделяя и изучая активные компоненты растений.
Лекарственные средства и рецепты из женьшеня:
Если в восточной медицине предпочтение отдается водным вытяжкам (отварам, настоям) и порошку из женьшеня, то в отечественной практике, напротив, большое распространение получили спиртовые настойки корня жизни.
В настоящее время в России налажено производство таких форм лекарственных препаратов женьшеня, как эмульсии, аэрозоли и суппозитории, предназначенных для лечения рака матки, желудка, прямой кишки и других органов.
Настойка из сухого корня.
Для приготовления настойки сухой корень измельчают до порошкообразного состояния, затем заливают водкой из расчета 30 г корня на 1 л водки, настаивают в течение 3-4 недель, периодически взбалтывая. Готовую настойку фильтруют. В профилактических целях 20 капель настойки принимают 1-2 раза в день за 30 минут до еды. Курс лечения - 1,5 месяца. После 30-дневного перерыва проводят повторный курс. Для лечения различных заболеваний настойку женьшеня принимают в дозах, установленных врачом (как правило, 30-40 капель) [12].
Настойка из свежего корня.
Для приготовления настойки корень промывают холодной водой, просушивают, измельчают, заливают водкой из расчета 100 г корня на 1 л водки, настаивают в течение 3-4 недель, периодически взбалтывая. Готовую настойку фильтруют. В профилактических целях 15-20 капель настойки принимают 3 раза в день за 20-30 минут до еды. После месяца лечения делают перерыв на 10 дней, затем курс повторяют.
Вместо водки для приготовления настойки можно использовать 40-50% спирт. Подготовленный корень женьшеня заливают спиртом в соотношении 1: 10, настаивают в течение 2 недель, затем фильтруют.
В профилактических целях настойку принимают по 10-15 капель 3 раза в день за 20-30 минут до еды. Курс лечения - 1 месяц. При необходимости после 30-дневного перерыва курс лечения повторяют.
Экстракт из корня женьшеня
Для приготовления экстракта подготовленный корень женьшеня пропускают через мясорубку, смешивают с разогретым медом (100 г корня на 900 г меда) и оставляют на 3-4 недели, периодически размешивая деревянной ложкой. Экстракт принимают по 1/2 чайной ложки утром за 30 минут до еды, не запивая водой. Курс лечения - 2-3 месяца.
Отвар из корней женьшеня
Для приготовления отвара 2-3 столовые ложки измельченного корня женьшеня заливают 1-2 стаканами холодной воды, кипятят на слабом огне в течение 3-5 минут, затем процеживают и остужают до 37-40°С.
Настойка золотого корня. Золотой корень залить раствором спирта 40% в соотношении (1:
1). Настоять в течении двух недель в темном прохладном месте. Принимать по 5-10 капель 2-3 раза за 30 минут до еды. Курс лечения 10-20 дней При астении начинают с 10 капель 2 - 3 раза в день, затем дозу увеличивают до 30-40 капель на прием. Длительность лечения 1-2 месяца.
Отвар из золотого корня. Залить чайную ложку измельченных корневищ 1 л кипятка и кипятить 10 мин. Затем настоять при комнатной температуре 30-40 мин и пить по 1-2 стакана в день, добавив по вкусу сахар или мед. Можно добавить листья земляники, черной смородины, травы зверобоя и чабреца, взятых в равных количествах. В этом случае надо 2-3 ст. л. смеси залить 1 л кипятка и настоять 1 ч.
Такой чай обладает тонизирующими свойствами, восстанавливает обмен веществ. Он полезен во время тяжелой физической или умственной работы, при простуде, гриппе, расстройствах желудочно-кишечного тракта. По своему стимулирующему действию он не уступает, а может быть, и превосходит действие настойки [15].
















