86419 (612742), страница 2
Текст из файла (страница 2)
Количественно точность можно выразить величиной, обратной модулю относительной погрешности:
Например, если погрешность измерений равна
то точность равна
.
Правильность измерения определяется как качество измерения, отражающее близость к нулю систематических погрешностей результатов (т.е. таких погрешностей, которые остаются постоянными или закономерно изменяются при повторных измерениях одной и той же величины). Правильность измерений зависит, в частности, от того, насколько действительный размер единицы, в которой выполнено измерение, отличается от ее истинного размера (по определению), т.е. от того, в какой степени были правильны (верны) средства измерений, использованные для данного вида измерений.
Важнейшей характеристикой качества измерений является их достоверность; она характеризует доверие к результатам измерений и делит их на две категории: достоверные и недостоверные, в зависимости от того, известны или неизвестны вероятностные характеристики их отклонений от истинных значений соответствующих величин. Результаты измерений, достоверность которых неизвестна, не представляют ценности и в ряде случаев могут служить источником дезинформации.
Наличие погрешности ограничивает достоверность измерений, т.е. вносит ограничение в число достоверных значащих цифр числового значения измеряемой величины и определяет точность измерений.
Обработка результатов косвенных измерений
Пусть при косвенных измерениях величина Z рассчитывается по экспериментальным данным, полученным по m измерениям величин a j:
(2.3.11)
Запишем полный дифференциал функции:
(2.3.12)
В случае слабой зависимости функции от аргументов её приращение может быть выражено в виде линейной комбинации
. Согласно (2.3.12) получим:
(2.3.13)
Каждое слагаемое в (2.3.13) представляет собой частную погрешность результата косвенных измерений.
Производные
называется коэффициентами влияния соответствующих погрешностей.
Формула (2.3.13) является приближённой, т. к. учитывает только линейную часть приращений функции. В большинстве практических случаев такое приближение оправдано.
Если известны систематические погрешности
прямых измерений
то формула (2.3.13) позволяет рассчитать систематическую погрешность косвенных измерений.
Если частные производные в (2.3.13) имеют разные знаки, то происходит частичная компенсация систематических погрешностей.
Если формула (2.3.13) используется для вычисления предельной погрешности, то она принимает вид:
(2.3.14)
Рассмотрим, как, используя формулу (2.3.13), можно оценить случайную погрешность косвенных измерений.
Пусть погрешность прямых измерений
имеет нулевое математическое ожидание
и дисперсию
.
Использую (2.3.13) запишем выражения для математического ожидания и дисперсии погрешности косвенных измерений
Математические ожидания отдельных измерений складываются с учетом вклада каждого из них:
(2.3.15)
Для вычисления дисперсии воспользуемся правилом сложения погрешностей:
(2.3.16)
Где
– коэффициент корреляции погрешностей
.
Если погрешности
не коррелированны, то
(2.3.17)
Обработка результатов прямых измерений
Пусть результаты прямых измерений равны n прямых измерений равны
y 1, y 2,…, y n. Предположим, что истинное значение измеряемой величины равно a, тогда
погрешность i – го измерения.
Относительно погрешности предполагаются следующие допущения:
-
– случайная величина с нормальным распределением. -
Математическое ожидание
(отсутствует систематическая погрешность)
3) Погрешность
имеет дисперсию
, которая не меняется в зависимости от номера измерения, т.е. измерение равноточное.
4) Измерения независимы.
При этих допущениях плотность распределения результата измерения
запишется в виде:
(2.3.1)
В данном случае истинное значение измеряемой величины a входит в формулу (2.3.1) как параметр.
Вследствие независимости отдельных измерений плотность распределения системы величин y 1, y 2,…, y n. выражается формулой:
. (2.3.2)
С учетом (2.3.1) и независимости y 1, y 2,…, y n. их многомерная плотность распределения (2.3.2) представляет собой функцию правдоподобия:
(2.3.3)
Используя функцию правдоподобия (2.3.3) необходимо найти оценку a o для измеряемой величины a таким образом, чтобы в (2.3.3) a = a o выполнялось условие:
(2.3.4)
Для выполнения (2.3.4) необходимо, чтобы
(2.3.5)
По сути условие (2.3.5) является формулировкой критерия наименьших квадратов, т.е. для нормального распределения оценки по методу наименьших квадратов и методу максимального правдоподобия совпадают.
Из (2.3.4) и (2.3.5) можно получить также наилучшую оценку
(2.3.6)
Важно понимать, что полученная оценка является случайной величиной с нормальным распределением. При этом
(2.3.7)
Таким образом, получая
, мы увеличиваем точность измерений, т. к. дисперсия этой величины в n раз меньше дисперсии отдельных измерений. Случайная погрешность при этом уменьшится в
раз.
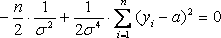
Для оценки неопределенности величины
необходимо получить оценку погрешности (дисперсии). Для этого прологарифмируем функцию максимального правдоподобия (2.3.3) и оценку дисперсии найдем из условия
(2.3.8)
После дифференцирования получим
(2.3.9)
а далее, из (2.3.9) – оценку дисперсии
:
(2.3.10)
Таким образом мы доказали, что для нормально распределенных данных СКО является лучшей оценкой дисперсии.
Обработка результатов совместных измерений
При совместных измерениях полученные значения используются для построения зависимостей между измеряемыми величинами. Рассмотрим многофакторный эксперимент, по результатом которого должна быть построена зависимость
Предположим далее, что зависимость
то есть параметр состояния есть линейная комбинация из входных факторов. В процессе эксперимента проводится совместных измерений для нахождения коэффициентов
В этом случае искомые величины определяются в результате решения системы линейных уравнений:
(2.3.18)
Где
– искомые коэффициенты зависимости, которую необходимо определить,
– измеряемые значения величин.
В предположении, что система уравнений (2.3.18) является точной, но значения
получены с погрешностями, запишем:
(2.3.19)
где
– погрешность измерения
, тогда
Для решения задачи мы вынуждены использовать значения
. При этом, если число измерений
больше числа неизвестных в уравнении (2.3.18), то система (2.3.18) не имеет однозначных решений.
Поэтому уравнения системы (2.3.18) иногда называют условными.
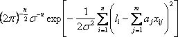
Оценим случайную погрешность совместных измерений. Пусть погрешность
имеет нормальный закон распределения с нулевым математическим ожиданием и дисперсией. Измерения
независимы. В этом случае по аналогии с обработкой прямых измерений может быть построена функция максимального правдоподобия:
(2.3.21)
Для нахождения экстремума функции правдоподобия (2.3.21) воспользуемся уже известной процедурой. Прологарифмируем (2.3.21) и найдём значения, при которых функция достигает экстремума. Условие максимума функции (2.3.21) является:
(2.3.22)
Таким образом ((2.3.22)) отвечает требованиям метода наименьших квадратов. Следовательно, при нормальном распределении случайной погрешности оценки по методу максимального правдоподобия и по методу наименьших квадратов совпадает.
Для нахождения оценки
удовлетворяющей (2.3.22) необходимо добиться равенства нулю всех частных производных этой функции по
Для каждого значения
эта оценка будет находиться из следующего уравнения:
(2.3.23)
Система уравнений (2.3.23) является линейной относительно
и называется системой нормальных уравнений. Число уравнений в системе всегда совпадает с числом
.
Система (2.3.23) решается методом определителей
Где D – определитель матрицы
а определитель Dj получается из определителя D заменой j-го столбца столбцом свободных членов.
Для нахождения оценки дисперсии результатов
найдем условие максимума после логарифмирования (2.3.21) и подставим
(см. (2.3.8–2.3.10)), получим:
Построение функциональной зависимости при однофакторном эксперименте
Пусть при однофакторном эксперименте имеется выборка, описывающая изменения входных параметров, и набор выходных величин (рис. 3.1). Необходимо построить зависимость
.
Рис. 3.1
Для анализа экспериментальных данных существует очень много способов задания этой зависимости аналитическими и численными методами. Мы отметим лишь самые распространенные из них:
-
Дальнейшая обработка может проводиться при непосредственном численном использовании массива значений
. -
2. В случае, когда количество измерений i не слишком велико и разброс значений
мал, зависимость
может быть построена путем интерполяции (аппроксимации) через все экспериментальные точки. В этом случае проводится зависимость
через все точки с координатами
. Простейший вариант проведения такой зависимости заключается в построении полинома (степенного ряда).
Пусть
(3.1.1)
Интерполирующая функция
Многочлен
имеет n +1 член.
Требуя выполнения условия (3.1.1), получим систему из
уравнений с
неизвестными:
(3.1.2)
















