86106 (612646), страница 3
Текст из файла (страница 3)
Легко підрахувати, що
(1.3.17)
(1.3.18)
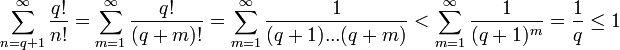
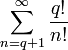
Сума
є симетричним багаточленом із цілими коефіцієнтами й тому є цілим числом. Це число, через (1.3.13) , ділиться на
.
Ми будемо вважати
більшим кожного із цілих чисел
. Тоді
буде цілим числом, яке не ділится на
, тому що таким буде перший доданок у правій частині, у той час, як інші доданки будуть цілими числами, що діляться на
. Таким чином, сума, що визначена в першій частині рівності (1.3.14), при нашому виборі числа
, є цілим числом, що не ділиться на
, тобто є відмінним від нуля цілим числом.
Повернемося до розгляду суми
З рівності (1.3.9) , першої рівності (1.3.16) і того , що
легко доглянути, що
буде по модулі меншим одиниці, при досить великому
.
Таким чином, права частина рівності (1.3.14) є сумою цілого, відмінного від нуля, числа й числа, по модулі меншого одиниці. Така сума не може рівнятися нулю й тому рівності (1.3.14), при нашім виборі
й
, неможливі. Цим і завершений доказ трансцендентності числа
.
Теорема доведена.
1.4 Доведення ірраціональності та трансцендентності числа „е”
Доведемо ірраціональність і трансцендентність числа
.
Теорема 1.4.1.Число
ірраціональне.
Доведення. Припустимо, що
, де
й
натуральні числа.Відомо, що
Із
треба, що (
) – було ціле число, тоді цілим буде й число [9]
Ми одержуємо звідси
,
Тобто між 0 і 1 лежить ціле число. Припущення, що
раціональне, привело нас до протиріччя, значить
ірраціональне.
Теорема доведена.
Другий шлях доказу ірраціональності e [23].
Припустимо, що
раціонально. Тоді
, де
— ціле, а
— натуральне, звідки
Множачи обидві частини рівняння на
, одержуємо
Переносимо
в ліву частину:
Всі доданки правої частини цілі, отже:
— ціле
Але з іншої сторони
Знов одержуємо протиріччя.
Трансцендентність
була доведена тільки в 1873 році французьким математиком Шарлем Ермітом [22].
Теорема 1.4.2. Число
трансцендентно.
Доведення. Припустимо, що
корінь багаточлена із цілими коефіцієнтами
так що
(1.4.1)
Позначимо через
найбільшу з абсолютних величин коефіцієнтів
, так що при всіх
маємо
.
При заданому
функція
при збільшенні
прагне до нуля й, оскільки існують які завгодно більші прості числа, ми можемо вибрати просте число
так , що будуть одночасно виконуватися умови:
Розглянемо функцію ступеня
Інтегруючи вроздріб , знаходь :
Продовжимо цей процес, поки не дійдемо до похідної порядку
, рівної тотожно нулю. Одержимо :
(1.4.2)
де
( до похідної порядку
).
Підставляючи в (1.4.2) замість
число
й множачи на
,
, маємо:
(1.4.3)
Надаючи
значення
та складаючи при
рівності (1.4.3) і беручи до уваги , що через тотожність (1.4.2) права частина виходить рівною нулю, знаходимо:
(1.4.4)
Розкладання
по ступенях
має вигляд :
, (1.4.5)
де
цілі числа. Одержуємо:
,
а
є ціле число, оскільки
просте й
, не ділиться на
;
, як легко бачити з (1.4.4), цілі числа, що діляться на
;
являє собою суму цілого числа
, що не ділиться на
, і інші цілі числа, кратні
, так що
не є дільником
. Оскільки
, те буде також
не є дільником
.
Розкладання
по ступенях
, де
, має вигляд
(1.4.6)
де всі коефіцієнти
цілі числа.
Диференціюючи (1.4.6), легко бачити, що при всіх таких
:
ціле число , що ділиться на
.
У сумі
перший доданок не ділиться на
, а всі інші доданки діляться на
, так що
ціле число , що не ділиться на
, і , таким чином, відмінне від нуля.
Ціле число, відмінне від нуля, має модуль, більший або дорівнюючий одиниці, так що
.
Оцінимо тепер величину
зверху. Згідно (1.4.4.):
У всіх інтегралах, що входять в
, величина
пробігає значення, що не виходять за межі сегмента
, а при таких
справедлива нерівність:
так , що при всіх
маємо
що суперечить отриманій раніше нерівності
.
Таким чином, припущення, що
алгебраїчне число, привело нас до протиріччя; отже,
неалгебраїчне число, тобто трансцендентне число.
Теорема доведена.
РОЗДІЛ ІІ
НАБЛИЖЕНЕ ОБЧИСЛЕННЯ ЧИСЛА „π”
2.1 Методи наближеного обчислення числа „π” за допомогою числових рядів
Число з'являється не тільки при рішенні геометричних задач. Із часу Ф.Віета (1540–1603) розвідка меж деяких арифметичних послідовностей, що встановлені простими законами, приводило до того ж числа . У зв'язку із цим у визначенні числа брали участь майже всі відомі математики: Ф.Віет, Х.Гюйгенс, Дж.Валліс, Г.В.Лейбніц, Л.Ойлер [21]. Вони одержували різні вирази для у вигляді нескінченного добутку, суми ряду, нескінченного дробу.
Наприклад, в 1593 Ф.Виет (15401603) вивів формулу [21]
В 1665 Джон Валліс (16161703) довів, що [21]
,
Або
.
Ця формула має його ім'я. Для практичного знаходження числа вона мало придатна, але корисна в різних теоретичних міркуваннях. В історію науки вона ввійшла як один з перших прикладів нескінченних добутків.
Готфрид Вільгельм Лейбниц (16461716) в 1673 установив наступну формулу [21]:
яка представляє число /4 як суму ряду. Однак цей ряд сходиться дуже повільно. Щоб обчислити з точністю до десяти знаків, треба було б, як показав Ісаак Ньютон, знайти суму 5 млрд чисел і затратити на це біля тисячі років безперервної роботи.
Леонарду Ойлеру належать і інші гарні формули рядів повільної східності, що включають [21]:
,
,
.
В останній формулі в чисельнику розташовані всі прості числа, а знаменники відрізняються від них на одиницю, причому знаменник більше чисельника, якщо той має вигляд 4n + 1, і менше в противному випадку.
Лондонський математик Джон Мэчин (16801751) в 1706, застосовуючи формулу [21]
одержав вираження
arctg 1 = 4 arctg
– arctg
.
Підстановка в нього arctg 1 =
і рядів для arctg x
(arctg x =
) приводить до формули
,
яка дотепер уважається однієї із кращих для наближеного обчислення . Щоб знайти ті ж десять точних десяткових знаків, буде потрібно всього кілька годин ручного рахунку. Сам Джон Мэчин обчислив з 100 вірними знаками.
Скористаємося відомим рядом для арктангенса [21]:
(2.1.1)
Якщо взяти
, то
, і ми одержимо ряд
(2.1.2)
уже придатний для обчислення/
Скористаємось формулою додавання для арктангенса
(2.1.3)
і вибираючи в якості
і
якінебудь два правильні дроби , що задовольняють співвідношенню
або
(2.1.4)
будемо мати
(2.1.5)
Наприклад, поклавши
, одержимо ряд
(2.1.6)
Існують, однак, ряди, ще більш ефективні для розрахунку числа
.
Покладемо
тоді
Через близькість цього числа до
, ясно, що кут
близький до
.
Поклавши:
, будемо мати :
так що
Звідси
це формула Мєшина (J.Machin).
Обчислимо по ній число
з 7ю знаками після коми. Для цього досить тих членів формули, які фактично виписані. Тому що обидва ряди – типу рядів Лейбниця, то виправлення в зменшуваному й від'ємнику на відкидання невиписаних членів, відповідно, будуть:
і
Збережені члени (2.6) перетворимо у десяткові дроби, округляючи їх ( за правилом доповнення ) на восьмому знаку. Обчислення зведені в таблицю (
у дужках указує знак виправлення):
З огляду на всі виправлення, маємо:
так що
Отже , остаточно
причому всі виписані знаки вірні.
C допомогою того ж ряду для arctg x і формули
= 24 arctg
+ 8 arctg
+ 4 arctg
значення числа було отримано на ЕОМ з точністю до ста тисяч десяткових знаків. Такого роду обчислення становлять інтерес у зв'язку з поняттям випадкових і псевдовипадкових чисел. Статистична обробка впорядкованої сукупності зазначеної кількості знаків показує, що вона має багато рис випадкової послідовності. А так виглядає 101 знак числа без округлення:
3,14159 26535 89793 23846 26433 83279 50288 41971 69399 37510 58209 74944 59230 78164 06286 20899 86280 34825 34211 70679.
2.2 Методи наближеного обчислення числа „π” за допомогою розкладу в нескінченні ланцюгові дроби
Згідно [2] для наближеного розрахунку числа побудований наступний ланцюговий дріб:
(2.2.1)
(послідовність неповних часток така: 3, 7, 15, 1, 292, 1, 1, 1, 2, 1, 3, 1, 14, 2, 1, 1, 2, 2, 2, 2, 1, 84, 2, 1, 1, 15, 3, 13,...)
Знайдемо підходящі для практичних розрахунків дроби використовуючи вищенаведений ланцюговий дроб:
а потім складемо таблицю для обчислення наступних дробів за допомогою рекуррентного правила:
| Степінь дробу (за числом в ланцюгі) | 3 (1) | 7(2) | 15(3) | 1(4) |
| Чисельник дробу | 3 | 22 | 333 | 355 |
| Знаменник дробу | 1 | 7 | 106 | 113 |
Одержуємо підходящі дроби
й
. Наближення
, рівне
, було відомо ще Архімедові [21], а наближенням
користувався Андріан Меций ще наприкінці 16 сторіччя [21] . Перше наближення дуже зручно тим, що знаменник 7 дуже невеликий.У другому дробі при порівняно невеликому знаменнику
виходить наближене значення
з високою точністю.
Щоб оцінити цю точність, використовуємо формулу [4]
(2.2.2)
У нашім випадку
, а
Виходить,















