85963 (612613), страница 2
Текст из файла (страница 2)
Пример 1.2.1 Оценить вероятность
некоторого события
. Пусть
Решение.
;
. Пусть в
независимых наблюдениях событие
произошло
раз, т.е.
. Таким образом, имеем
,
. Отсюда следует, что
. Следовательно,
есть наиболее правдоподобная оценка параметра
. Случайная величина k биномиально распределена,
;
Следовательно,
— несмещенная оценка вероятности, асимптотически состоятельная и асимптотически нормальная.
Пример 1.2.2. Пусть случайная величина
распределена по закону Пуассона с неизвестным параметром
. Проведем выборку и получим значения
(
– целые числа). Пусть
– набольшее из наблюдаемых в выборке чисел,
– абсолютные частоты, с которыми числа
появляются в выборке ;
. Тогда согласно формуле (3.2)
. Из соотношения получаем
, откуда
.
Величина
есть, таким образом, правдоподобная оценка для
и вместе с тем состоятельная, асимптотически нормально распределенная.
Пример 1.2.3. Пусть случайная величина
распределена нормально с параметрами
и
. Их следует оценить исходя их выборки
объема
.
Решение. Функция правдоподобия
,
следовательно
.
Согласно (2.5), получаем следующие уравнения для определения
и
:
;
, откуда
и
. Следовательно,
есть наиболее правдоподобная оценка параметров
. Мы уже знаем, что
не является несмещенной оценкой, а только асимптотически не смещена.
-
Точечные оценки
Одной из задач математической статистики является оценка неизвестных параметров выбранной параметрической модели.
Очень часто в приложениях рассматривают параметрическую модель. В этом случае предполагают, что закон распределения генеральной совокупности принадлежит множеству
, где вид функции распределения задан, а вектор параметров
неизвестен. Требуется найти оценку для
или некоторой функции от него (например, математического ожидания, дисперсии) по случайной выборке
из генеральной совокупности X.
Например, предположим, что масса X детали имеет нормальный закон распределения, но его параметры
неизвестны. Нужно найти приближенное значение параметров по результатам наблюдений х, …, хп, полученным в эксперименте (по реализации случайной выборки).
Как уже отмечалось , в математической статистике существуют два вида оценок: точечные и интервальные. В этой главе будут рассмотрены точечные оценки, а интервальным оценкам посвящена следующая глава.
1.3.1. Состоятельные, несмещенные и эффективные оценки
Пусть
— случайная выборка из генеральной совокупности X, функция распределения
которой известна, а
— неизвестный параметр, т.е. рассматривается параметрическая модель
(для простоты изложения будем считать пока, что
— скаляр).
Требуется построить статистику
, которую можно было бы принять в качестве точечной оценки параметра
.
Интуитивно ясно, что в качестве оценки параметра
можно использовать различные статистики. Например, в качестве точечной оценки для
можно предложить такие статистики:
Какую же из этих статистик предпочесть? В общем случае нужно дать ответ на вопрос: какими свойствами должна обладать статистика
, чтобы она была в некотором смысле наилучшей оценкой параметра в? Рассмотрению требований к оценкам и методам их нахождения посвящена настоящая глава.
Заметим, что в дальнейшем, как правило, будем говорить об оценке параметра
параметрической модели, хотя все сказанное можно перенести и на функцию от в.
Определение 1.3.1.1 Статистику
называют состоятельной оценкой параметра
, если с ростом объема выборки п она сходится по вероятности к оцениваемому параметру
, т.е.
Иными словами, для состоятельной оценки
отклонение ее от
на величину е и более становится маловероятным при большом объеме выборки. Это свойство оценки является очень важным, ибо несостоятельная оценка практически бесполезна. Однако следует отметить, что на практике приходится оценивать неизвестные параметры и при малых объемах выборки.
Естественным является то требование, при выполнении которого оценка не дает систематической погрешности в сторону завышения (или занижения) истинного значения параметра
.
Определение 1.3.1.2. Статистику
называют несмещенной оценкой параметра
, если ее математическое ожидание совпадает с
, т.е.
для любого фиксированиспер.
Если оценка является смещенной (т.е. последнее равенство не имеет места), то величина смещения
Как мы увидим далее, смещение оценки часто можно устранить, введя соответствующую поправку.
Говорят также, что оценка
является асимптотически несмещенной, если при
она сходится по вероятности к своему математическому ожиданию, т.е. для любого
-
Предположим, что имеются две несмещенные оценки
и
для параметра
. Если дисперсии
удовлетворяют условию
для любого фиксированного пи
, то следует предпочесть оценку
, поскольку разброс статистики
относительно параметра
меньше, чем разброс статистики
Определение 1.3.1.3. Если в некотором классе несмещенных оценок параметра
, имеющих конечную дисперсию, существует такая оценка
, что неравенство (2.1) выполняется для всех оценок
из этого класса, то говорят, что оценка
является эффективной в данном классе оценок.
оценивать неизвестные параметры и при малых объемах выборки.
Естественным является то требование, при выполнении которого оценка не дает систематической погрешности в сторону завышения (или занижения) истинного значения параметра
.
Определение 1.3.1.4. Статистику
называют несмещенной оценкой параметра
, если ее математическое ожидание совпадает с
, т.е.
для любого фиксированниспер
Если оценка является смещенной (т.е. последнее равенство не имеет места), то величина смещения
Как мы увидим далее, смещение оценки часто можно устранить, введя соответствующую поправку.
Говорят также, что оценка
является асимптотически несмещенной, если при
она сходится по вероятности к своему математическому ожиданию, т.е. для любого
удовлетворяют условию
для любого фиксированного пи
, то следует предпочесть оценку
, поскольку разброс статистики
относительно параметра
меньше, чем разброс статистики
Определение. Если в некотором классе несмещенных оценок параметра
, имеющих конечную дисперсию, существует такая оценка
, что неравенство (3.2) выполняется для всех оценок
из этого класса, то говорят, что оценка
является эффективной в данном классе оценок.
Иными словами, дисперсия эффективной оценки параметра в некотором классе является минимальной среди дисперсий всех оценок из рассматриваемого класса несмещенных оценок.
Замечание 1.3.1.1. Эффективную оценку в классе всех несмещенных оценок будем называть эффективной оценкой, не добавляя слов „в классе несмещенных оценок".
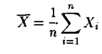
Замечание 1.3.1.2. В литературе по математической статистике при рассмотрении параметрических моделей вместо термина «эффективная оценка» классе всех несмещенных оценок используют и другие: «несмещенная оценка с минимальной дисперсией», «оптимальная оценка». Теорема 1.3.1. Оценка
(выборочное среднее) математического ожидания
генеральной совокупности X с конечной дисперсией является несмещенной, состоятельной и эффективной в классе всех линейных оценок, т.е. оценок вида
где
, для произвольной
параметрической модели.
Напомним, что элементы
случайной выборки
являются независимыми случайными величинами и распределенными так же, как и сама генеральная совокупность X. Следовательно,
1.4 Критерии согласия
Пусть (X1,..,Xn) - выборка с неизвестным законом распределения F(X). Рассмотрим гипотезы Н0: F(x)=F0(x) при конкурирующей Н1: F(x)F0(x). F0(x)- некоторая заданная функция распределения.
Задача проверки гипотез относительно законов распределения называется задачей проверки согласия, а критерий для этой задачи - –ритерием согласия.
Рассмотрим критерий согласия 2, или критерий Пирсона.
Разобьем ось х на т интервалов
Если истинная функция распределения F(x) совпадает с F0(x), то при больших n
Рассмотрим случайную величину (ni - –лучайное)
при
она стремится к 2 - –аспределению случайной величины с т-е-1 степенями свободы (е- число статистических параметров).
Решающее правило для уровня значимости :
При построении 2n должно выполняться условие ni10, в противном случае объединяют интервалы.
В случае применения гипотезы Н0 говорят, что различие между F(x) и F0(x) является случайным с доверительной вероятностью 1- и обусловлено конечностью выборки.
1.5 Теорема Чебышева
Неравенство Чебышева. Для любой случайной величины Х, имеющей математическое ожидание МХ и дисперсию DX, справедливо неравенство
где — любое положительное число.
Доказательство. Доказательство проведём сначала для непрерывной случайной величины Х с плотностью распределения f(x).
Обозначим через А событие, состоящее в том, что случайная точка Х попадает за пределы участка (MX-; MX+), то есть















