85800 (612579), страница 7
Текст из файла (страница 7)
3. Практическая часть
- уравнение регрессии.
| x | 1 | 2 | 3 | 4 | 5 | 6 | 7 | 8 | 9 | 10 |
| y | 1.35 | 1.09 | 6.46 | 3.15 | 5.80 | 7.2 | 8.07 | 8.12 | 8.97 | 10.66 |
Приведем квадратное уравнение к линейной форме:
;
Запишем матрицу X.
Составим матрицу Фишера.
Система нормальных уравнений.
Решим ее методом Гаусса.
Уравнение регрессии имеет вид:
[7]
3.1. Оценка значимости коэффициентов регрессии.
Для проверки нулевой гипотезы используем критерий Стьюдента.
Коэффициенты
значимые коэффициенты.[6]
3.2. Проверка адекватности модели по критерию Фишера.
гипотеза о равенстве математического ожидания отвергается. [4]
3.3. Проверка адекватности модели по коэффициенту детерминации или множественной корреляции.
Коэффициент детерминации :
- регрессионная модель адекватна.
Коэффициент множественной корреляции
Рассчитать и построить график уравнения прямолинейной регрессии для относительных значений PWC170 и времени челночного бега 3х10 м у 13 исследуемых и сделать вывод о точности расчета уравнений, если данные выборок таковы:
xi, кГ м/мин/кг ~ 15,6; 13,4; 17,9; 12,8; 10,7; 15,7; 11,7; 12,3; 12,3; 11,1; 14,3; 12,7; 14,4 yi, с ~ 6,9; 7,2; 7,1; 6,7; 7,6; 7,0; 6,4; 6,9; 7,7; 7,6; 7,9; 8,2; 6,8
Решение
1. Занести данные тестирования в рабочую таблицу и сделать соответствующие расчеты.
| xi | xi - | (xi - | yi | yi – | (yi – | (xi - |
| 15.6 | 2.1 | 4.41 | 6.9 | -0.3 | 0.09 | -0.63 |
| 13.4 | -0.1 | 0.01 | 7.2 | 0 | 0 | 0 |
| 17.9 | 4.4 | 19.36 | 7.1 | -0.1 | 0.01 | -0.44 |
| 12.8 | -0.7 | 0.49 | 6.7 | -0.5 | 0.25 | 0.35 |
| 10.7 | -2.8 | 7.84 | 7.6 | 0.4 | 0.16 | -1.12 |
| 15.7 | 2.2 | 4.84 | 7.0 | -0.2 | 0.04 | -0.44 |
| 11.7 | -1.8 | 3.24 | 6.4 | -0.8 | 0.64 | 1.44 |
| 12.3 | -1.2 | 1.44 | 6.9 | -0.3 | 0.09 | 0.36 |
| 12.3 | -1.2 | 1.44 | 7.7 | 0.5 | 0.25 | -0.60 |
| 11.1 | -2.4 | 5.76 | 7.6 | 0.4 | 0.16 | -0.96 |
| 14.3 | 0.8 | 0.64 | 7.9 | 0.7 | 0.49 | 0.56 |
| 12.7 | -0.8 | 0.64 | 8.2 | 1 | 1 | -0.80 |
| 14.4 | 0.9 | 0.81 | 6.8 | -0.4 | 0.16 | -0.36 |
|
|
|
|
|
|
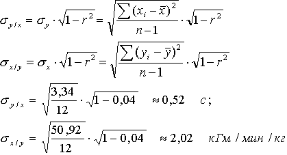
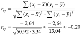
1. Рассчитать значение нормированного коэффициента корреляции по формуле:
2. Рассчитать конечный вид уравнений прямолинейной регрессии по формулам (2) и (3):
(2)
(3)
Т.е.
4. Рассчитать абсолютные погрешности уравнений регрессии по формулам (4) и (5):
5. Рассчитать относительные погрешности уравнений регрессии по формулам (6) и (7):
6. Для графического представления корреляционной зависимости между признаками рассчитать координаты линий регрессии, подставив в конечный вид уравнений (1) и (2) данные любого исследуемого (например, четвертого из списка).
Тогда:
при х = 12,8 кГм/мин/кг у =7,235 с » 7,2 с;
при у = 6,7 с х = 13,895 с » 13,9 кГм/мин/кг.
7. Представить графически данное уравнение регрессии.
8. На основании произведенных расчетов и графического изображения уравнения регрессии сделать вывод.
Вывод:
1) в исследуемой группе наблюдается недостоверная обратная взаимосвязь между данными относительных значений PWC170 и времени челночного бега 3х10 м, т.к. rху = -0,20 < rst = 0,55 для К= 11 при = 95%;
2) относительная погрешность функции ух = 7,875 – 0,05х меньше (7,22%), а, следовательно, прогноз результата в челночном беге по данным относительных значений пробы PWC170 более точен;
3) на графике линии уравнения регрессии расположены почти под прямым углом, так как значения коэффициента корреляции близки к нулю.[3]
Заключение
В исследуемой группе наблюдается недостоверная обратная взаимосвязь между данными относительных значений PWC170 и времени челночного бега 3х10 м, т.к. rху = -0,20 < rst = 0,55 для К= 11 при = 95%;
- относительная погрешность функции ух = 7,875 – 0,05х меньше (7,22%), а, следовательно, прогноз результата в челночном беге по данным относительных значений пробы PWC170 более точен;
- на графике линии уравнения регрессии расположены почти под прямым углом, так как значения коэффициента корреляции близки к нулю.
Также в работе показана корреляционная зависимость показателей 32 российских банков, проведен регрессионный анализ и нашли регрессионную модель данной взаимосвязи показателей. Задача регрессионного анализа состоит в построении модели, позволяющей по значениям независимых показателей получать оценки значений зависимой переменной. Регрессионный анализ является основным средством исследования зависимостей между социально-экономическими переменными. Эту задачу мы рассмотрим в рамках самой распространенной в статистических пакетах классической модели линейной регрессии. Специфика социологических исследований состоит в том, что очень часто необходимо изучать и предсказывать социальные события. Вторая часть данной главы будет посвящена регрессии, целью которой является построение моделей, предсказывающих вероятности событий. Величина называется ошибкой регрессии. Первые математические результаты, связанные с регрессионным анализом, сделаны в предположении, что регрессионная ошибка распределена нормально с параметрами, ошибка для различных объектов считаются независимыми. Кроме того, в данной модели мы рассматриваем переменные как неслучайные значения. Такое, на практике, получается, когда идет активный эксперимент, в котором задают значения (например, назначили зарплату работнику), а затем измеряют (оценили, какой стала производительность труда).
Полученное уравнение ŷ=245,75+1,42х позволяет проиллюстрировать зависимость размера работающих активов банков от размера их капитала.
И так, с помощью корреляционно-регрессионного анализа, можно исследовать показатели банков.[8]
Использованная литература
-
Аверкин А.Н., Батыршин И.З., Блишун А.Ф. и др. Нечеткие множества в моделях управления и искусственного интеллекта // Под ред. Д.А. Поспелова. – М.: Наука, 1986. – 312 с.
-
Аветисян Д.О. Проблемы информационного поиска: (Эффективность, автоматическое кодирование, поисковые стратегии) - М.: Финансы и статистика, 1981. - 207 с.
-
Айвазян С.А., Бежаева З.И., Староверов О.В. Классификация многомерных наблюдений. – М.: Статистика, 1974. – 240 с.
-
Айвазян С.А., Енюков И.С., Мешалкин Л.Д. Прикладная статистика. Основы моделирования и первичная обработка данных. Справочное издание. – М.: Финансы и статистика, 1983. – 472 с.
-
Айвазян С.А., Енюков И.С., Мешалкин Л.Д. Прикладная статистика: Исследование зависимостей: Справочник. – М.: Финансы и статистика, 1985. – 182с.
-
Айвазян С.А. , Мхитарян В.С. Прикладная статистика и основы эконометрики. – М. Юнити, 1998. – 1024 с.
-
Ван дер Варден Б.Л. Математическая статистика. – М.: Изд-во иностр. лит., 1960. – 302 с.
-
Гайдышев И.П. Анализ и обработка данных: специальный справочник. - СПб.: Питер, 2001. - 752 с.
-
Гмурман В.С. Теория вероятностей и математическая статистика. – М.: Высш. шк., 1972. – 368 с.
-
Калинина В.Н., Панкин В.Ф. Математическая статистика. – М.: Высш. шк., 2001. – 336 с.
-
Кендалл М., Стьюарт А. Теория распределений. – М.: Наука, 1966. – 566 с.
-
Кендалл М., Стьюарт А. Статистические выводы и связи. – М .: Наука, 1973. – 899 с.















