66050 (611550), страница 2
Текст из файла (страница 2)
Красящие вещества обусловливают цвет пищевых продуктов. К ним относят хлорофилл, каротиноиды, флавоновые пигменты, антоцианы, хромопротеиды и др.
Фитонциды обладают бактерицидными свойствами, содержатся в луке, чесноке, хрене.
Экстрактивные вещества содержатся в мясе, рыбе и придают запах и аромат бульону.
Пектиновые вещества содержатся в плодах, ягодах, овощах и обладают способностью образовывать студни в присутствии сахара и кислоты. Это свойство широко используется в кондитерской промышленности при производстве мармелада, пастилы, джема, желе и др.
1.2 Дубильные вещества. Классификация и свойства
Дубильные вещества — группа весьма разнообразных и сложных по составу растворимых в воде органических веществ ароматического ряда, содержащих гидроксильные радикалы фенольного характера.
Дубильные вещества участвуют в образовании вкуса, аромата и цвета некоторых продуктов. Значительное содержание их отмечено в чае, черемухе, рябине, хурме, придают им терпкий, вяжущий вкус. Дубильные вещества участвуют в образовании аромата шоколада и чая. Кроме того, они обладают Р-витаминной активностью.
Описание отдельных дубильных веществ.
Танин.
Танин, галлодубильная кислота или просто дубильная кислота находится в различных сортах чернильных орешков, патологических кнопперсах, сумахе, альгаробилле, мироболанах; имеет состав C14H10O9; представляет вяжущего вкуса аморфный порошок, растворимый в воде, спирте и уксусном эфире, нерастворимый в эфире, бензоле и др.; дает с хлорным железом в водном растворе чёрно-синий осадок, что применяется как качественная реакция на соли окиси железа; легко окисляется, поглощая в присутствии щелочей кислород из воздуха и восстановляя закись меди из солей её окиси и соли серебра; осаждается из водных растворов (в отличие от галловой кислоты) клеем, сырой кожей, алкалоидами, альбуминатами, слабыми соляной и серной кислотами и многими солями (например, поваренной). Танин разлагает углекислые соли, обнаруживая ясно кислотные свойства. Его соли аморфны, в основном нерастворимы и своим составом указывают на присутствие в его частице лишь одного карбоксила. При нагревании до 210° танин дает пирогаллол; при кипячении с слабой серной кислотой или едким кали превращается нацело в галловую кислоту.
Танин находит обширное применение в медицине, в производстве чернил, красильном деле, для получения галловой кислоты и пирогаллола, но для дубления кож не применяется).
Эллагогендубильная кислота.
Стоит в близком отношении к танину, являясь, как и он, производным галловой кислоты, и часто встречается вместе с ним в растениях. Она составляет главную массу дубильного вещества мироболанов, альгаробилл, диви-диви и, вероятно, коры корней граната, а также найдена вместе с дубодубильной кислотой C16H14O9 в древесине черешчатого дуба. Высушенная при 100°, она представляет состав C14H10O10 и вид буроватой аморфной массы; растворима в воде, спирте и уксусном эфире; образует чёрно-синий осадок с уксуснокислым железом и осадки с клеем, белком, алкалоидами; при нагревании с водой до 110° переходит в эллаговую кислоту, теряя при этом 2Н2О, и образует с уксусным ангидридом пятиацетильный эфир.
Дубодубильные кислоты.
Находятся в молодой коре, древесине и листьях различных видов дуба. Кислоте (из коры), содержащей в круглых числах 56 % углерода и 4 % водорода и дающей с хлорным железом синее окрашивание. Дубодубильные кислоты представляют аморфные порошки различных оттенков от буро-красного до светло-красного цвета (C15H12O9 желт.), растворимые в воде (за исключением кислоты C16H14O9, которая почти не растворима), спирте, смеси спирта с эфиром, уксусном эфире и трудно растворимые в чистом эфире; имеют в водном растворе кислую реакцию; растворяются в щелочах; с уксуснокислым свинцом дают желтовато-белые осадки свинцовых соединений; с окисью магния образуют растворимые в воде средние и кислые соли; с хлорным железом кислоты C17H16O9 и C16H14O9 дают синие осадки, прочие зелёные; осаждаются клеем.
Весьма характерна для дубодубильных кислот способность, вполне отсутствующая у танина, образовать ангидриды при нагревании до 130°—140° и при кипячении со щелочами и разведенными минеральными кислотами.
Ангидриды имеют вид аморфных, в основном красных или буро-красных порошков, трудно или нерастворимы в чистой воде, но растворимы в ней в присутствии дубодубильной кислоты, а также в спирте и щелочах.
Кинодубильная кислота.
Кинодубильная кислота составляет главную массу кино и представляет ангидрид киноина, из которого может быть получена нагреванием при 120°—130°. Киноин также находится в кино, бесцветен, кристалличен и растворим в воде, спирте и немного в эфире. Он клеем не осаждается, а с хлорным железом дает красное окрашивание и, следовательно, не обладает характерными свойствами дубильных веществ. Наоборот, в ангидриде его они явственно развиты и обусловливают применение кино как дубла. При нагревании до 160°—170° или при кипячении с слабыми серной или соляной кислотами кинодубильная кислота переходит в ангидрид с подобными же свойствами. Как сам киноин, так и кинодубильная кислота с соляной кислотой в запаянной трубке при 120°—130° распадаются на пирокатехин, галловую кислоту и хлористый метил. На основании этой реакции
Катехудубильные кислоты.
Находятся вместе с катехинами близкого между собою состава в различных сортах катеху и в гамбире. Они представляют ангидриды катехинов, из которых могут быть получены и искусственно простым нагреванием до 130—170°, кипячением с содой или нагреванием с водой при 110°. Катехины кристаллизуются в форме очень мелких иголочек светло-жёлтого цвета, дают с зелёное окрашивание, но клеем не осаждаются, при плавлении с КНО распадаются на флороглюцин и протокатеховую кислоту, а при сухой перегонке образуют пирокатехин. Катехин при 140° с разведенной серной кислотой распадается на флороглюцин и пирокатехин. Катехудубильные кислоты представляют красновато-бурые аморфные порошки с характерными свойствами дубильных веществ.
Маклурин.
Маклурин, или моринодубильная кислота, находятся в жёлтом дереве, откуда их извлекают кипячением с водой и разделяют, пользуясь меньшею растворимостью морина в воде. Маклурин, светло-жёлтый кристаллический порошок, из свойств, характеризующих дубильные вещества, обладает лишь способностью давать с железом (смесью закиси и окиси) чёрно-зелёный осадок и осаждаться клеем, алкалоидами и альбуминатами, но для дубления неприменим. Подобно многим дубильным веществам, он распадается на флороглюцин и протокатеховую кислоту по уравнению:
C13H10O6 + H2O = C6H3(OH)3 + C7H3(OH)2COHO.
Морин, составляющий красящее начало жёлтого дерева и кристаллизующийся из водного раствора в форме длинных блестящих игл, за исключением зелёного окрашивания с хлорным железом, типических свойств дубильных веществ не представляет. При плавлении с едким кали в качестве главных продуктов распадения он дает резорцин и флороглюцин, при восстановлении амальгамой натрия образует флороглюцин, причём сперва переходит в изоморин, легко превращающийся обратно в морин. Как морин, так и маклурин образуют с металлами частью кристаллические, частью аморфные соли, состав которых нельзя считать установленным.
1.3 Характеристика танина
Танины (от франц. tanner-дубить кожу), группа фенольных соединений растительного происхождения, содержащих большое количество групп ОН, молекулярная масса 500-3000; обладают дубящими свойствами. Дубящее действие танинов основано на их способности образовывать прочные связи с белками, полисахаридами и другими биополимерами (пектиновыми веществами, целлюлозой).
Танины содержатся в коре, древесине, листьях и плодах (иногда семенах, корнях, клубнях) многих растений - дуба, каштана, акации, ели, лиственницы, эвкалипта, чая, гранатового и хинного деревьев, сумаха, квебрахо; придают листьям и плодам терпкий вкус.
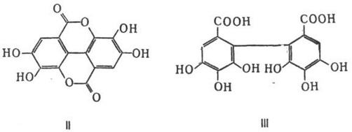
Различают гидролизуемые и конденсированные (негидролизуемые) танины. Основа гидролизуемых танинов - сложные эфиры галловой кислоты или родственных ей дигалловой и тригалловой кислот с многоатомным спиртом (например, глюкозой – рисунок 1). Так, наиболее распространенный китайский танин - дубящее вещество чернильных орешков (галлов) растения Rhos semialata-содержит главным образом смесь эфиров глюкозы и м-дигалловой (пента-м-дигаллоилглюкоза, галлотанниновая кислота) и тригалловой кислот; турецкий танин - вещество алеппских чернильных орешков дуба зараженного (Quercus infectoria)- смесь эфиров глюкозы и эллаговой (Рисунок 2 - II) и 4,5,6-гексагидроксидифеновой (Рисунок 2 - III) кислот.
Рисунок 1 - Глюкоза
R = (HO)3C6H2COO, (НО)3С6Н2СООС6Н2(ОН)2СОО, (НО)3С6Н2СООС6Н2(ОН)2СООС6Н2(ОН)2СОО
Рисунок 2 – II эллаговая кислота, III 4,5,6-гексагидроксидифеновая кислота
Танины такого строения легко гидролизуются кислотами, основаниями и ферментами танинацилгидролазами с образованием углеводов и фенолкарбоновых кислот; при пиролизе образуют пирогаллол.
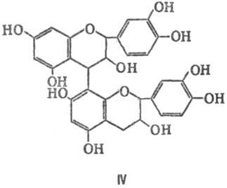
Конденсированные танины представляют собой производные флаванолов, главным образом димеры 3,4-флавандиола или 3-флаванола, например формулы IV (Рисунок 3). Под действием кислот и оснований такие танины не гидролизуются, а образуют нерастворимые, часто окрашенные в красный цвет полимеры; при пиролизе образуют пирокатехин.
Рисунок 3 – Димер флованола
Выделяют танины главным образом из коры акации, ели, каштана в виде водного экстракта, содержащего соответственно 36, 16 и 13% танинов по массе. Танины подавляют рост патогенных для многих растений микроорганизмов, защищают растения от поедания животными. Используются для дубления кожи и меха, приготовления чернил, протравливания текстильных волокон, как вяжущие лекарственные средства, для придания различным напиткам терпкого и вяжущего вкуса.
1.4 Характеристика химического состава чая и показатели его качества
Чай — тонизирующий напиток, обладающий высокими вкусовыми, ароматическими свойствами, оказывающий положительное влияние на организм человека и являющийся самым распространенным на земном шаре напитком.
Первые данные о чае найдены в древней китайской энциклопедии. В Россию чай попал более 300 лет назад (в 1638 г.) из Монголии. Как культура чай широко распространен на Черноморском побережье Кавказа, в Краснодарском крае, Индии, Цейлоне, Китае и т. д.
Значение чая как вкусового продукта обусловлено его ароматическими, вкусовыми и тонизирующими свойствами. Чай устраняет усталость, способствует восстановлению утраченной трудоспособности и улучшает самочувствие человека. Широко используют его как потогонное средство при простудных заболеваниях, он оказывает положительное действие на пищеварительную, кровеносную и нервную системы.
К числу экстрагируемых, то есть растворимых, специалисты относят шесть основных частей чая: дубильные вещества, эфирные масла, алкалоиды, аминокислоты, пигменты и витамины.
Дубильные вещества составляют 15-30% чая и представляют собой смесь более трех десятков полифенольных соединений и их производных, танина, различных катехинов, которые обладают свойствами витамина Р. При этом в зеленых чаях их содержание выше, чем в черных, поскольку последние в процессе производства подвергались процессу окисления. Продукты окисления (хиноны) в свою очередь окисляют другие вещества чайного листа и образуют многие ароматические продукты, участвующие в создании аромата чая.
Эфирные масла, которые присутствуют в еще зеленом листе, сохраняются в незначительном количестве в готовом чае. Именно с ними связан неповторимый аромат чая и от них во многом зависит качество чайного продукта. Хотя при переработке чайного листа потеря эфирных масел достигает 70-80%, одновременно возникают новые эфирные масла, которые воспроизводят запахи роз, меда, ванили, цитрусовых, сирени, корицы, что и создает «букет чая». В силу своей природы эфирные масла исключительно летучи, причем не только при повышении температуры, но и при неправильном хранении или заварке.
Алкалоиды – это, прежде всего, кофеин, который и служит тонизирующим средством. В чистом виде он представляет собой бесцветное, не имеющее запаха и горькое на вкус вещество, которое присутствует также в кофе, в какао и других тропических растениях.
В чае кофеина содержится больше, чем в кофе, но чайный кофеин действует на нас мягче, чем кофейный. Объясняется это тем, что а заварку идет меньше чая, нежели кофе, а также тем, что в чае кофеин выступает не изолированно, а в комплексе с танином, образуя соединение таннат кофеина, а оно более смягченно действует на сердечно-сосудистую и центральную нервную систему. Более того, кофеин чая не задерживается в организме человека, что исключает опасность отравления даже при чрезмерном употреблении чая.
Помимо кофеина, в состав чая входят в незначительном количестве другие алкалоиды – растворимые в воде теобромин и теофиллин, которые являются хорошими сосудорасширяющими и мочегонными средствами.















