66000 (611535), страница 3
Текст из файла (страница 3)
Сенсорная оценка, проводимая с помощью органов чувств человека, - наиболее древний и широко распространенный способ определения качества пищевых продуктов. Органолептические методы быстро, объективно и надежно дают общую оценку качества продуктов
Характеристика органолептических показателей плодоовощных продуктов для детского питания.
Таблица 3
| Наименование показателя | Характеристика |
| Внешний вид | Гомогенизированных консервов – однородная пюреобразная тонко измельченная масса. Протертых консервов – однородная пюреобразная протертая масса. Допускаются единичные вкрапления кожицы темного цвета. |
| Консистенция | При выкладывании пюре на ровную поверхность должна образовываться холмистая или слегка растекающаяся масса. |
| Вкус и запах | Натуральные, хорошо выраженные, свойственные соответствующим фруктам, или смеси использованных компонентов, прошедших тепловую обработку. Не допускаются посторонние вкус и запах. |
| Цвет | Однородный по всей массе, свойственный цвету соответствующих фруктов или смеси использованных компонентов. Допускается незначительное потемнение поверхностного слоя или боковой поверхности содержимого банок |
Для органолептической оценки качества консервов для детского питания будет использована 5-балловая шкала с использованием коэффициента весомости.
Распределим коэффициент весомости для единичных показателей качества продуктов детского питания.
Таблица 4
| Показатель | Вкус | Запах | Консистенция | Внешний вид | Цвет | ∑ |
| Коэффициент весомости | 5 | 5 | 5 | 3 | 2 | 20 |
Коэффициенты весомости варьируются в зависимости от цели исследования и устанавливаются экспертным путем с использованием метода ранжирования. Суть этого метода состоит в том, что показатели располагают в порядке уменьшения их важности.
Дегустационные листы для каждого образца
«Фруто Няня»
Таблица 5
| Показатель | Оценка единичных показателей, балл | |||||
| 1 | 2 | 3 | 4 | 5 | 6 | |
| Внешний вид | 5 | 5 | 5 | 5 | 5 | 5 |
| Вкус | 5 | 5 | 5 | 5 | 5 | 5 |
| Запах | 5 | 5 | 5 | 5 | 5 | 5 |
| Цвет | 5 | 5 | 5 | 4 | 5 | 5 |
| Консистенция | 5 | 5 | 5 | 5 | 5 | 5 |
Таблица 6«Heinz»
| Показатель | Оценка единичных показателей, балл | |||||
| 1 | 2 | 3 | 4 | 5 | 6 | |
| Внешний вид | 4 | 4 | 5 | 4 | 4 | 4 |
| Вкус | 4 | 4 | 4 | 5 | 4 | 4 |
| Запах | 4 | 4 | 4 | 5 | 4 | 4 |
| Цвет | 5 | 4 | 5 | 4 | 4 | 4 |
| Консистенция | 4 | 4 | 4 | 5 | 4 | 4 |
Таблица 7«Бабушкино лукошко»
| Показатель | Оценка единичных показателей, балл | |||||
| 1 | 2 | 3 | 4 | 5 | 6 | |
| Внешний вид | 5 | 5 | 4 | 5 | 5 | 4 |
| Вкус | 5 | 5 | 4 | 5 | 5 | 4 |
| Запах | 5 | 5 | 4 | 5 | 5 | 4 |
| Цвет | 5 | 5 | 5 | 5 | 5 | 4 |
| Консистенция | 5 | 5 | 4 | 5 | 5 | 4 |
Статистическая обработка результатов дегустационных образцов.
Включает в себя расчет среднеарифметического значения показателей, стандартного отклонения и комплексных показателей качества с учетом коэффициентов весомости.
Сначала усредняют оценки дегустаторов по единичным показателям
- сумма оценок дегустаторов по данному показателю (вкус, запах и тд.) одного образца продукции, баллы;
- число дегустаторов.
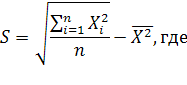
Для характеристики разброса совокупности оценок дегустаторов определяют стандартное отклонение для каждого единичного показателя по формуле
- сумма квадратов оценок дегустаторов по данному показателю (вкус, запах и тд.) одного образца продукции, баллы;
– квадрат среднего значения оценок показателя, баллы.
Таблица 8«Фруто Няня»
| Показатель | Оценка единичных показателей, балл |
|
|
|
|
| |||||||||
| 1 | 2 | 3 | 4 | 5 | 6 | ||||||||||
| Внешний вид | 5 | 5 | 5 | 5 | 5 | 5 | 30 | 5 | 25 | 150 | 0 | ||||
| Вкус | 5 | 5 | 5 | 5 | 5 | 5 | 30 | 5 | 25 | 150 | 0 | ||||
| Запах | 5 | 5 | 5 | 5 | 5 | 5 | 30 | 5 | 25 | 150 | 0 | ||||
| Цвет | 5 | 5 | 5 | 4 | 5 | 5 | 30 | 5 | 25 | 150 | 0 | ||||
| Консистенция | 5 | 5 | 5 | 5 | 5 | 5 | 30 | 5 | 25 | 150 | 0 | ||||
Таблица 9.«Heinz»
| Показатель | Оценка единичных показателей, балл |
|
|
|
|
| ||||||||||
| 1 | 2 | 3 | 4 | 5 | 6 | |||||||||||
| Внешний вид | 4 | 4 | 4 | 5 | 4 | 5 | 26 | 4,33 | 18,7 | 114 | 0,3 | |||||
| Вкус | 4 | 4 | 4 | 5 | 4 | 4 | 25 | 4,16 | 17,3 | 105 | 0,45 | |||||
| Запах | 4 | 4 | 4 | 5 | 4 | 4 | 25 | 4,16 | 17,3 | 105 | 0,45 | |||||
| Цвет | 5 | 4 | 5 | 4 | 4 | 4 | 26 | 4,33 | 18,7 | 114 | 0,3 | |||||
| Консистенция | 4 | 4 | 4 | 5 | 4 | 4 | 25 | 4,16 | 17,3 | 105 | 0,45 | |||||
Таблица 10 «Бабушкино лукошко»
| Показатель | Оценка единичных показателей, балл |
|
|
|
|
| |||||||||
| 1 | 2 | 3 | 4 | 5 | 6 | ||||||||||
| Внешний вид | 5 | 5 | 4 | 5 | 5 | 4 | 28 | 4,67 | 21,8 | 132 | 0,45 | ||||
| Вкус | 5 | 5 | 4 | 5 | 5 | 4 | 28 | 4,67 | 21,8 | 132 | 0,45 | ||||
| Запах | 5 | 5 | 4 | 5 | 5 | 4 | 28 | 4,67 | 21,8 | 132 | 0,45 | ||||
| Цвет | 5 | 5 | 5 | 5 | 5 | 4 | 29 | 4,8 | 23,04 | 141 | 0,67 | ||||
| Консистенция | 5 | 5 | 4 | 5 | 5 | 4 | 28 | 4,67 | 21,8 | 132 | 0,45 | ||||
Таблица 11. Органолептическая оценка качества образцов
| Показатели | Оценка единичных показателей | ||
| «Фруто Няня» | «Heinz» | «Бабушкино лукошко» | |
| Внешний вид | 5 | 4,33±0,3 | 4,67±0,45 |
| Вкус | 5 | 4,16±0,45 | 4,67±0,45 |
| Запах | 5 | 4,16±0,45 | 4,67±0,45 |
| Цвет | 5 | 4,33±0,3 | 4,8±0,67 |
| Консистенция | 5 | 4,16±0,45 | 4,67±0,45 |
Дифференцируем образцы по качеству в зависимости от балловых оценок. Для этого нам необходимо вычислить комплексный показатель для каждого образца. Умножаем средние арифметические оценки единичных показателей на соответствующие коэффициенты весомости и полученные произведения суммируем по каждому образцу продукции.
















