48415 (608596), страница 4
Текст из файла (страница 4)
Рисунок 2.4 – Результат рішення
Результат: x1= -12,495; x2= -2,768; x3= 8,091; x4= 3,677.
Рішення засобами MathCAD
Рішення даної системи рівняння можна знайти за допомогою розв'язуваного блоку Given...Find.
Функція Find шукає точне рішення системи рівнянь, записаної після слова Given.
Рисунок 2.5 – Рішення системи за допомогою функції Find
Рисунок 2.6 – Рішення за допомогою функції lsolve
Результат: x1=-12,495; x2=-2,768; x3=8,091; x4=3,677.
Дана система рівнянь була вирішена різними методами й засобами, проте відповіді були отримані однакові.
2.2 Завдання 1.2
(Варіант 25)
Перетворити модель, задану у вигляді системи нелінійних рівнянь до виду f 1(x) = y й f 2 (y)= x. Побудувати їхні графіки й визначити початкове наближення рішення. Вирішити систему нелінійних рівнянь.
Рішення засобами Excel
Знайдемо точку перетину y й x. Так як sin перебуває у проміжку від -1 до 1, то можна скласти наступні нерівності:
Далі необхідно побудувати таблицю й графік функцій використовуючи отримані обмеження. Після виконання всіх операцій одержимо графіки функцій.
Рисунок 2.7 – Інтервали пошуку рішення
Рисунок 2.8 – Побудовані графіки функцій
Далі для знаходження точного рішення необхідно заповнити таблицю з вихідними даними й розрахунковими формулами. Задаємо початкові значення х и y рівні 0.
Рисунок 2.9 – Таблиця вихідних даних
Для перевірки правильності рішення необхідно включити режим відображення формул:
Рисунок 2.10 – Дані в режимі відображення формул
Для вирішення рівняння скористаємося вікном «Пошук рішення»:
Рисунок 2.11 - Вікно пошуку рішень
Після натискання кнопки «Виконати» на екрані з’являється рішення:
Рисунок 2.12 – Результат рішення
Результат: x= 0,9415, y= 0,3514.
Рішення засобами MathCAD
Систему нелінійних рівнянь можна вирішити за допомогою блоку Given...Find. Функція Find шукає точне рішення системи рівнянь, записаної після слова Given [9].
x:= 1 та y:=1 — початкові значення.
Рисунок 2.13 – Рішення системи
Результат: x= 0,9415, y= 0,3514.
При порівнянні методу рішення в MathCAD та рішення в Excel з'являються відмінності. MathCAD дає можливість швидко й просто одержати результат; Excel дає користувачеві можливість зрозуміти процес рішення задачі методом імовірнісного пошуку.
2.3 Завдання 2.1
Задача А.
Вирішити задачу проектування конусоподібного фільтра.
З круглої заготівлі (r = 2) фільтрованого паперу вирізають сектор з кутом
, потім з іншого роблять фільтр у виді конуса. Необхідно розрахувати величину кута
, при якій забезпечується максимальний обсяг конуса.
Рисунок 2.14 – Окружність та конус
R – радіус основи конуса; h – висота конуса; r – радіус заготівлі фільтрованого папера.
– довжина
– формула для куска дуги
Знаходимо різницю:
У конусі отримали прямокутний трикутник АОВ, де h – катет. Для знаходження катетів обчислимо корінь із різниці гіпотенузи r та катету R.
,
Цільова функція має гляд:
Обмеження:
Рішення засобами Excel
Спочатку ми задаємо цільову функцію, потім визначаємо для неї обмеження, вибираємо змінні та, задавши перші наближення для змінних, виконаємо «Пошук рішення».
В якості цільової функції виберемо рівняння об'єму конуса умови незаперечності змінних величин; кут Q не повинен перевищувати 2 ПІ.
Рисунок 2.15 – Дані в режимі відображення формул
Заповнюємо вікно «Пошук рішення»:
Рисунок 2.16 – Вікно пошуку рішення
При натисканні клавіші «Виконати» на екрані з'являється наступне вікно й таблиця з рішенням:
Рисунок 2.17 – Результат рішення
Рішення засобами MathCAD.
Максимум цільової функції можна знайти, використовуючи MathCAD, у якому є вбудовані функції Minimize й Maximize.
Рисунок 2.18 – Рішення
Висновок: Отримані в результаті обчислень різними програмними продуктами (MathCAD та Excel) значення повністю ідентичності, що говорить про вірогідність рішення. Так само наочно видно, що обчислення в MathCAD більше громіздкі, але з математичної точки зору більш правильні.
Задача Б.
Проектування 2 -х конусоподібних (пожежних) цебер.
З круглої заготівлі жерсті (r = 3) вирізають сектор з кутом
, потім з іншого роблять цебро у виді конуса і з вирізаного сектора теж (тобто 2-а цебра). Необхідно розрахувати величину кута
, тобто як необхідно розкроїти заготівлю, щоб обсяг 2-х цебер був максимальним.
R— радіус основи конуса; h — висота конуса; r — радіус заготівлі.
Формули для знаходження радіусу R, висоти h та обсягу V великої заготівлі:
,
,
Формули для знаходження радіусу R, висоти h та обсягу V маленької заготівлі:
,
,
Цільова функція має вигляд:
Обмеження:
Рішення засобами Excel.
Для рішення даної задачі необхідно заповнити таблицю з вихідними даними й розрахунковими формулами.
Рисунок 2.19 – Дані в режимі відображення формул
Далі задається початкове значення кута
=0, встановлюється цільовий осередок (загальний об'єм). Викликається «Пошук рішень»:
Рисунок 2.20 – Вікно пошуку рішень
Після виконання операції було отримано наступне рішення:
Рисунок 2.21 – Результат рішення
Рішення засобами MathCAD.
Для рішення даної задачі необхідно заповнити таблицю з вихідними даними й розрахунковими формулами, представленими вище.
А далі скористаємося вже відомою структурою Given.
Рисунок 2.22 – Рішення задачі засобами MathCAD
Висновок: Отримані в результаті обчислень різними програмними продуктами (Excel та MathCAD) значення повністю ідентичні, що говорить про вірогідність правильного рішення.
Задача 20.
Потрібно виготовити відкритий циліндричний резервуар обсягом V = 3.5м3. При яких розмірах резервуара його будівля буде більш дешевою.
Об’єм циліндру дорівнює:
Площу циліндру знаходимо за формулою:
а площу еліпса —
де а — велика піввісь, b — мала піввісь.
Рішення засобами Excel
Заповнюємо таблицю з вихідними даними й розрахунковими формулами:
Рисунок 2.24 – Дані в режимі відображення формул
Рисунок 2.25 – Вікно пошуку рішень
Виконавши даної операції, було отримано наступне рішення:
Рисунок 2.26 – Результат рішення
2.4 Завдання 2.2
(Варіант 10)
Функція об'єкта задана неявно рівнянням
,
,
. Побудувати графік залежності функції
на заданому відрізку
та знайти її мінімум і максимум з точністю
.
Рішення засобами Excel
Для рішення даного завдання необхідно заповнити таблицю. Задаємо значення t=[0,2]. Задаємо функцію f(x), у якій початкове значення х буде дорівнює 0.
Далі скористаємося вікном підбору параметра.
Рисунок 2.28 – Підбор параметрів
Отримане значення х необхідно перенести в наступний осередок і по цьому значенню х зробити підбор параметра.
Рисунок 2.29 – Результат підбора параметрів
Цю дію необхідно виконувати доти, доки t не буде дорівнювати 2. Далі необхідно побудувати графік за значеннями x і t.
Рисунок 2.30 – Графік залежності x від t
На цьому графіку можна чітко визначити крапку мінімуму й крапку максимуму. Але для точності необхідно заповнити таблицю з вихідними даними й розрахунковими формулами. Задаємо початкові значення х та y = 1.
Рисунок 2.31 – Знаходження min та max
Максимальні й мінімальні значення необхідно знайти за допомогою вікно Пошук рішень.
Рисунок 2.32 – Вікно пошуку рішень для знаходження мінімуму
Рисунок 2.33 – Вікно пошуку рішень для знаходження максимуму
При натискання клавіші «Виконати» на екрані з'являться наступні вікна й таблиці з рішеннями:
Рисунок 2.34 – Вікно з рішенням (мінімум)
Рисунок 2.35 – Вікно з рішенням (максимум)
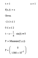
Результат: мінімум дорівнює t= 1,066*10-7; x=0; максимум t=1; x=0,79.
Рішення засобами MathCAD
Задамо початкові значення для обчислення задачі:
З використанням функції Maximize та Minimize знаходимо екстремуми.
Рисунок 2.36 – Вікна з рішеннями
Результат: мінімум дорівнює t= 1,066*10-7; x=0; максимум t=1; x=0,79.
Дане рівняння вирішили різними методами й засобами в результаті одержали однакові відповіді, але методи рішення відрізняються.
ВИСНОВКИ
Цілі й завдання курсової роботи з теми «Проектування офісу мобільного зв’язку» досягнуті в повному обсязі: систематизація й закріплення теоретичних знань, отриманих при вивченні навчальної дисципліни «Основи автоматизованого проектування складних систем» і придбання навичок у використанні сучасних інформаційних технологій, а також придбання й закріплення навичок самостійної роботи.
У математичному моделюванні були вирішені всі задані завдання за допомогою Excel та MathCAD.
У графічному моделюванні був змодельований офіс, що працює у сфері мобільного зв’язку. План офісу розроблявся, виходячи з кількості співробітників і заданого устаткування (2 комп'ютери, 2 принтери, сканер, 2 блоки безперебійного живлення, музичний центр, осцилограф). На плані показані меблі, комп’ютери, електротехнічні арматури (світильники, вимикачі, розетки), вікна й двері. Розроблений дизайн офісу (килимове покриття, кольори стін, форми вікон і т.д.). На території крім офісу, розміщені газони, доріжки, під’їзд для автомобіля. Був зроблений альтернативний вибір комп'ютерного забезпечення. План офісу займає 27,5 м².
У даній курсовій роботі є недоліки, які можна в наслідку модернізувати, наприклад, електропроводка в офісі.
ПЕРЕЛІК ВИКОРИСТАНИХ ДЖЕРЕЛ
-
В.С.Симанков, Ю.К.Лушников, В.А.Морозов и др. Автоматизация процессов принятия решений в системах управления – М.: ЦНИИТЭИ, 1986. – 420 с.
-
Объектно-ориентированный анализ и проектирование систем. – Лори, 2007, 284 стр.
-
Столяровский С. Проектирование и дизайн мебели на компьютере – СПб.: Питер, 2004. – 560 с.
-
Гурский Д., Турбина Е. Вычисления в MathCAD 12 – Дело и Сервис (ДИС), 2002 г. – 528 с.
-
Глушков В. М. Основы безбумажной інформатики, 2-е издание, исправленное. — М.: Наука, 1978, 552 с.
-
Інформатика: Базовий курс/ С.В.Симонович изд. – Спб.: Питер, 2001. – 640 с.
-
Бусленко Н.П. Моделирование сложных систем. – М.: Наука, 1978. -400 с.
-
І.Т. Ігнатова, Math CAD. Учбовий курс. – М.: Рибарі, 2000. -479 с.
-
В.П. Д’яконов, И.В. Авраменкова, Math CAD 7.0 в математиці, фізиці и в Internet – М.: “Холідж”, 1998, - 352 с.
-
Інтернет-ресурс: http://ru.wikipedia.org/wiki/ (вільна онлайн енциклопедія)
ДОДАТОК
Презентація проектування офісу туризму















