23593 (603055), страница 3
Текст из файла (страница 3)
2). ЗАХІДНОУКРАЇНСЬКИЙ ЕКОНОМІЧНИЙ РАЙОН
До складу району входять Рівненська, Волинська, Львівська, Івано-Фран-ківська, Тернопільська, Вінницька, Хмельницька, Закарпатська та Чернівецька області. Це — найбільший район в Україні за площею (158 км2, або 26,1% території України) і другий за кількістю населення (13,2 мільйони чоловік, або 26,0%) після Донецько-Придніпровського.
Агропромисловий комплекс характеризується значним обсягом валової продукції та галузевою різноманітністю; це район зернового господарства, найбільшого в країні виробництва цукрових буряків (43% до загальноукраїнського виробництва), льонарства, овочівництва, виробництва м'яса (27%), у Закарпатті вирощується виноград.
За природними умовами район поділяється на кілька зон сільськогосподарської спеціалізації. Полісся спеціалізується на молочно-м'ясному скотарстві, льонарстві, картоплярстві. Передкарпатська зона представлена льонарством, цукровими буряками, скотарством м'ясо-молочного напряму, свинарством. Гірська зона Карпат зайнята пасовиськами зі спеціалізацією на м'ясо-молочному скотарстві й вівчарстві.
Найбільшу територію займає лісостепова зона, яка спеціалізується на виробництві цукрових буряків, зернових культурах (пшениця, ячмінь), м'ясо-молочному скотарстві, свинарстві. Три області Поділля (Вінницька, Хмельницька і Тернопільська) виробляють 68% цукрових буряків району, 61% зерна, 42% овочів, 44% м'яса. Найбільш розвинений АПК у Вінницькій області. Закарпаття спеціалізується на виноградарстві, овочівництві, тютюнництві, м'ясо-молочному скотарстві, вівчарстві.
3). ДОНЕЦЬКО-ПРИДНІПРОВСЬКИЙ ЕКОНОМІЧНИЙ РАЙОН
Складається з Донецької, Луганської, Дніпропетровської й Запорізької областей. Територія району — 112,3 тис. км2 (18,6% території країни), населення — 13,6 млн чол. (26,9%). Важка промисловість визначає профіль економіки району.
Сільське господарство перебувають у "затінку" важкої індустрії, але й вона дають значний внесок в економіку країни: район посідає перше місце за виробництвом, зерна (22% ), соняшнику (44% ), овочів (25%).
4). ПІВНІЧНО-СХІДНИЙ ЕКОНОМІЧНИЙ РАЙОН
До складу району входять Харківська, Полтавська й Сумська області. За територією—84 тис. км2 (13,9% території України) та кількістю населення — 6,1 млн чол. (12,1%) Північно-Східний район найменший. Проте його роль в економічному потенціалі держави досить велика. Він має розвинений агропромисловий комплекс; за виробництвом цукрового буряка (23,5% обсягу в країні) й соняшника (17,4%) район посідає третє місце.
5). ПРИЧОРНОМОРСЬКИЙ (ПІВДЕННИЙ) ЕКОНОМІЧНИЙ РАЙОН
Район складається з Автономної Республіки Крим, Одеської, Миколаївської та Херсонської областей. Площа району — 113,4 тис. км2 (18,8% загальноукраїнської території), населення — 7,7 млн чол. (15,2%).
Сільськогосподарські угіддя займають приблизно 70 % всієї території України. З них рілля становить 55 % від загальної площі, пасовища – 9 %, сіножаті – 4 % та багаторічні насадження – менше 2 %. Землезабезпеченість в Україні становить 0,80 га сільськогосподарських угідь, у тому числі 0,64 га ріллі на одну людину. Однак внаслідок різної щільності населення та міграцій існує значна варіація цих показників в різних регіонах та в різні проміжки часу.
Рис.1.1 - Природно-кліматичні зони України [8]
Рис.1.2 – Рейтинг регіонів України по адміністративній площі територій та населенню (питома вага в %) [16]За природно-кліматичними умовами Україна поділяється (рис.1):
1. БОЛОТИСТА ЛІСОВА МІСЦЕВІСТЬ і КАРПАТСЬКА ЗОНА (ПОЛІССЯ): Івано-Франківська, Чернігівська, Львівська, Рівненська, Волинська, Закарпатська і Житомирська області (ПІВНІЧНА ЗОНА)
Це зона змішаних лісів; вона займає північну частину України. Південна межа між поліссям та лісостепом проходить по лінії Володимир-Волинський-Луцьк-Рівне-Корець-Шепетівка-Полонне-Чуднів-Троянів-Житомир-Крнин-Київ-Ніжин-Батурин-Кролевець-Глухів. На захід від Шепетівки до Рави-Руської тягнеться між Волинською височиною на півночі і Подільською на півдні смуга так званого Малого полісся.
Загальна площа Полісся становить 113 500 кв. км або близько 19 % всієї території України. Характерною рисою природних умов цієї зони є здебільшого мозаїчний характер природних комплексів з низинним рельєфом, якому притаманні широкі та здебільшого заболочені низини.
Клімат Полісся континентальний з теплими і вологими літами та м’якими зимами. Середня температура повітря в липні становить +17 – +19°C, у січні вона знижується до -4.5 – -7.8°C. Період вегетації триває з другої декади квітня до третьої декади жовтня. Період із середньодобовими температурами понад +15°C триває приблизно 95-125 діб. Річна сума температур, які перевищують +10°C, становить близько 2 600. Період без легких заморозків на поверхні ґрунту складає 160-180 днів. Рельєф – рівний, середньорічний рівень опадів становить 550-650 мм. Найбільша кількість опадів, на рівні 400-450 мм, випадає в зоні торф’яно–підзолистих ґрунтів, домінуючих у верхніх шарах ґрунту, які займають десь 75 % території Полісся, вони . Середній рівень лісистості зони становить 30 %. Рілля займає 33 % всієї території зони, що становить понад 4 мільйони га, сінокоси – 1,2 мільйони га та пасовиська – 0,7 мільйонів га. Ця територія є широкою просторовою базою для виробництва зернових (жита, вівса і гречки), технічних культур, льону, хмелю, цукрового буряка та картоплі, а також для переробки льону, м’яса і молочних продуктів.
2. ЛІСОСТЕПОВА ЗОНА (Лісостеп) — Черкаська, Чернівецька, Харківська, Хмельницька, Київська, Полтавська, Сумська, Тернопільська і Вінницька області (ЦЕНТРАЛЬНА ЗОНА)
Ця зона розташована між Поліссям і Лісостепом. Південна межа проходить по лінії Фрунзівка-Озеро Ананіїв- Криве- Вільшана — на північ від Кіровоград-Знам’янка-Кременчук-Красноград-Зміїв. Площа зони становить 202 000 кв. км., в основному це рівнинна територія, лівобережну частину якої складає Волинсько-Подільська височина, а правобережну – Дністровська височина Дніпра.
Клімат зони помірно-континентальний. Середня температура липня в північно-західній частині становить +18°C, а на півдні вона сягає +22°C. Середня температура січня – в межах від -5 до -8°C. Період вегетації в середньому триває 200-210 днів. Період, коли середня добова температура перевищує +15°C, на заході складає приблизно 100 днів, а на південному сході – приблизно 120 днів. Річна сума температур, які перевищують +10°C, на півночі становить 2 500 – 2 600, а на півдні – приблизно 2 800. Період без легких заморозків на поверхні ґрунту триває приблизно 135-140 днів. В західній частині зони випадає в середньому близько 550-700 мм опадів, в центральній частині – 500-550 мм, а на південному сході – 450 мм. Найбільша кількість опадів, близько 75 %, випадає від квітня до вересня.
Верхні шари ґрунту є досить різноманітними за складом, від підзолистих грунтів до типових чорноземів. Лісистість території незначна – близько 12 %. Сільськогосподарські угіддя займають 70 % території, в т.ч. 66 % – це рілля. Спеціалізація сільського господарства Лісостепу – буряківництво та зерновиробництво, а також в молочне та м’ясне тваринництво і відгодівля свиней. У структурі посівних площ: озима пшениця займає понад 30 %, кукурудза – 10 %, близько 8 % – ячмінь та бобові. Більше 10 % посівних площ зайнято цукровим буряком та соняшником.
3.СТЕПОВА ЗОНА (СТЕП) – Кримська, Дніпропетровська, Донецька, Херсонська, Кіровоградська, Луганська, Миколаївська, Одеська та Запорізька області (ПІВДЕННА ЗОНА)
Ця зона включає всю південну та східну частини України, від Чорного і Азовського морів на півдні до зони Лісостепу на півночі. Площа становить близько 240 200 кв. км., рельєф здебільшого рівнинний.
Клімат зони помірно-континентальний із спекотним літом і холодною зимою. Середня температура січня становить від -5 до -7°C, в липні – +21- +23°C. Тривалість періоду вегетації, як правило, становить210-245 днів, а періоду із середньою температурою понад +15°C – 120-140 днів. Річна сума температур, які перевищують 10°C, становить від 2 800 до 3 600.
Середньорічна кількість опадів становить від 350 мм на півдні до 500 мм на півночі. Більшість опадів випадає в літні місяці, часто бувають зливи. Коефіцієнт зволоження на півдні зони становить 0,8, на півночі – 1,3. У південній частині часто бувають пилові бурі та суховії.
Чорноземи (займають приблизно 90 % площі зони) переважають у верхньому шарі ґрунтів. Темні каштанові чорноземи є типовими для південної частини. Зона Степу є найбільш розораною в Україні, і приблизно 48 % ріллі країни знаходиться тут.
Сільське господарство спеціалізується на вирощуванні зернових, фруктів і овочів, а також на виноградарстві. Основними зерновими є озима пшениця, куку-рудза, ячмінь і технічні культури, соняшник. Широко поширене овочівництво, особливо в приміських зонах великих міст, наприклад, Донецька.
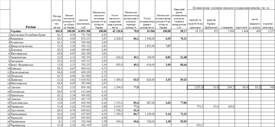
Таблиця 2
Площа регіонів та площа сільскогосподарських угідь по регіонах України [16]
3 Посівні площі сільськогосподарських культур по регіонах (карта, діаграми)
Таблиця 3.1
Динаміка обсягів посівних площ під основні рослинницькі культури в сільському господарстві України в 1990 – 2006 роках [16]
| Посівні площі основних сільськогосподарських культур, тис. га | ||||||
| зернові та зернобобові культури | цукрові буряки (фабричні) | соняшник | картопля | овочі відкритого ґрунту | кормові культури | |
| 1990 | 14583 | 1607 | 1636 | 1429 | 456 | 11999 |
| 1991 | 14671 | 1558 | 1601 | 1533 | 477 | 11555 |
| 1992 | 13903 | 1498 | 1641 | 1702 | 500 | 11707 |
| 1993 | 14305 | 1530 | 1637 | 1552 | 474 | 11287 |
| 1994 | 13527 | 1485 | 1784 | 1532 | 457 | 11881 |
| 1995 | 14152 | 1475 | 2020 | 1532 | 503 | 10898 |
| 1996 | 13248 | 1359 | 2107 | 1547 | 476 | 11026 |
| 1997 | 15051 | 1104 | 2065 | 1579 | 480 | 9720 |
| 1998 | 13718 | 1017 | 2531 | 1513 | 459 | 9236 |
| 1999 | 13154 | 1022 | 2889 | 1552 | 497 | 8653 |
| 2000 | 13646 | 856 | 2943 | 1629 | 538 | 7063 |
| 2001 | 15586 | 970 | 2502 | 1604 | 490 | 6375 |
| 2002 | 15448 | 897 | 2834 | 1590 | 479 | 5858 |
| 2003 | 12495 | 773 | 4001 | 1585 | 480 | 5074 |
| 2004 | 15434 | 732 | 3521 | 1556 | 476 | 4243 |
| 2005 | 15005 | 652 | 3743 | 1514 | 465 | 3738 |
| 2006 | 14515 | 815 | 3964 | 1464 | 469 | 3277 |
Таблиця 3.2
Регіональна структура посівних площ (ріллі) по Україні у 2007 році
















