19834 (602789), страница 5
Текст из файла (страница 5)
- запасы, оказавшиеся в излишке, оприходуют с уменьшением общих и административных расходов
Отражение на счетах выявленной недостачи и порчи товарно-материальных запасов на предприятии ТОО «Стимул» представлено в таблице 2.
Таблица 2 - Корреспонденция счетов по учету результатов инвентаризации на предприятии ТОО «Стимул»
| № п/п | Дата | Содержание операции | Корреспонденция счетов | Сумма | |
| Дебет | Кредит | ||||
| 1 | 25.12 | Выявлены товарные потери и отнесены на дебиторскую задолженность | 1280 | 1312 | 83000 |
| 2 | 25.12 | Списаны товарные потери в пределах норм естественной убыли | 7211 | 1280 | 17000 |
| 3 | 25.12 | Отнесены ненормируемые товарные потери на виновных лиц | 1252 | 1280 | 66000 |
| 4 | 25.12 | Отражено удержание из заработной платы суммы товарных потерь | 3351 | 1252 | 66000 |
| 5 | 25.12 | Списание оставшейся суммы товарных потерь на финансовый результат предприятия | 5411 | 1280 | 17000 |
Поскольку инвентаризация товаров проводится на продовольственном складе и в торговых помещениях один раз в квартал, то установленные по ее результатам товарные потери вследствие естественной убыли образовались и накопились в течение нескольких месяцев межинвентаризационного периода, но списание их на расходы торговых предприятий того месяца, когда была проведена инвентаризация товаров, было бы экономически не правильно, так как это вызвало бы необоснованное увеличение расходов в данном месяце и искусственное уменьшение расходов в тех месяцах, в которых не было инвентаризации товаров. Это приведет к искажению конечного финансового результата предприятия на протяжении всего межинвентаризационного периода.
Поэтому выявленные торговые потери вследствие естественной убыли списываются равномерно между всеми месяцами межинвентаризационного периода. Для этого необходимо ежемесячно в течение межинвентаризационного периода начислять резерв на списание естественной убыли товаров в размере, предусмотренной сметой расходов торговых организаций. Резерв на покрытие нормируемых потерь, связанных с продажей товаров по методу самообслуживания и с открытой выкладкой товаров, - исходя из фактического розничного товарооборота и установленных норм потерь. Резервирование естественной убыли позволяет списать ее равномерно на расходы торговых организаций всех месяцев инвентаризационного периода.
Для учета начисленного резерва на списание естественной убыли используется группа счетов 3390 “Прочая кредиторская задолженность”, где открываются счет “Резервы на предстоящие расходы и платежи”, аналитический счет “Резерв по списанию естественной убыли товаров”, по кредиту которого отражаются образование и остатки резерва, а по дебету – использование.
Таблица 3 - Корреспонденция счетов по учету создания резервов по списанию естественной убыли
| Операция | Корреспонденция счетов | Суммы | |
| Дебет | Кредит | ||
| Начисление резерва на списание товарных потерь вследствие естественной убыли товаров ежемесячно | 7110 | 3390 | 10000 |
| Списание на расходы непокрытой части суммы потери товаров в пределах установлен-ных норм естественной убыли, превышающей сумму созданного резерва | 7110 | 1312 | 7000 |
В соответствии с СБУ 24 "Организация бухгалтерской службы", регулирование и раскрытие информации о результатах инвентаризации в отчетности происходит следующим образом: выявленные при инвентаризации расхождения фактического наличия товарно-материальных запасов с данными бухгалтерского учета признаются: излишки – доходом и подлежат оприходованию, недостачи – расходом. [8]
Результаты инвентаризации должны быть отражены в учете и отчетности того месяца, в котором была закончена инвентаризация, а по годовой инвентаризации – в годовой финансовой отчетности.
6. Совершенствование форм организации инвентаризации на предприятии
Обобщение современного опыта в сфере организации и проведения инвентаризации показывает, что в целях улучшения руководства инвентаризационной работой на предприятиях (в организациях) необходимо создавать постоянно действующие (из числа компетентных работников) и рабочие инвентаризационные комиссии (на момент проверки), состав которых должен утверждаться приказом руководителя предприятия. Состав постоянно действующих комиссий и другие важные аспекты инвентаризации необходимо отражать в учетной политике. Основными функциями таких комиссий являются:
- проведение работы по соблюдению сохранности имущества предприятия;
- инструктаж членов инвентаризационных комиссий;
- обеспечение объективности инвентаризационных данных;
- правильная организация инвентаризации и при необходимости проведение повторных проверок;
- осуществление контрольных проверок, а также выборочных инвентаризаций по местам хранения ценностей;
- рассмотрение объяснений от лиц, допустивших недостачу, порчу или другое нарушение.
Члены рабочей комиссии несут ответственность:
- за своевременность и соблюдение порядка в соответствии с приказом руководителя предприятия;
- за правильность данных инвентаризационных описей;
- за своевременность оформления материалов инвентаризации в соответствии с установленным порядком.
Организационные мероприятия по проведению инвентаризации целесообразно осуществлять по заранее составленному графику (таблица 4).
Таблица 4 - График проведения инвентаризации на АО «СС» на 1-е полугодие 200__ г.
| № подразделения | Планируемая дата проведения инвентаризации | Количество инвентаризуемых объектов | Отметка о проведении инвентаризации | Примечание | ||||||
| склад | вспомогательное производство | розничная сеть | все-го | |||||||
График составлен (подписи должностных лиц).
Весьма важно, оговаривать в соответствующем пункте такой момент, как недопустимость назначения в качестве председателя инвентаризационной комиссии у одних и тех же материально ответственных работников два раза подряд.
Причем наличие постоянно действующих комиссий не должно снимать персональной ответственности руководителя и главного бухгалтера крупного (среднего) субъекта хозяйствования за постановку инвентаризационной работы.
В отдельных случаях при создании нескольких инвентаризационных комиссий руководство осуществляется председателем, который обеспечивает правильность проведения инвентаризации в целом. Председатель и члены комиссии по данным итогов всех инвентаризационных описей оформляют и подписывают сводный акт о проведенной инвентаризации. При этом они подлежат привлечению к ответственности в установленном судебном порядке за внесение заведомо неправильных (ложных) данных о фактических остатках с целью скрытия недостач и растрат или излишков товарно-материальных ценностей и иных объектов учета.
Инвентаризация любого объекта учета имеет свою технику проведения. К примеру, инвентаризация ценностей производится путем подсчета, измерения или взвешивания и последующей их стоимостной оценки по местонахождению и по материально ответственным лицам, на хранении у которых эти ценности находятся. Нематериальные части имущества, такие, как требования, долги, получаемые по данным приходно-расходных ордеров, банковских выписок, подтвержденных сальдо и записей, определяются на основе проверки соответствующих учетных регистров. Незаконченные работы также должны включаться в инвентаризацию.
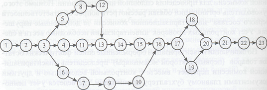
Обобщая приведенные в предыдущих главах положения о порядке проведения инвентаризации в целях наглядности этапов можно предложить оформление сетевого графика (рис. 1), который, при незначительной корректировке применим для различных объектов учета.
Рис. 1 - Сетевой график инвентаризации товаров в розничной торговой точке
Расшифровка событий, представленных на сетевом графике, приведена в таблице 5.
Таблица 5 - Расшифровка событий инвентаризации
| Номер собы- тия | Наименование работ |
| 1 | Оформление приказа о проведении инвентаризации товаров и его вручение председателю инвентаризационной комиссии |
| 2 | Инструктаж членов инвентаризационной комиссии |
| 3 | Вручение приказа о проведении инвентаризаци материально ответственному лицу |
| 4 | Опломбирование и опечатывание подсобных помещений и других мест хранения ценостей, имеющих отдельные и дополнительные входы и выходы |
| 5 | Получение от материально ответственного лица последнего отчета с выведенным остатком денег в кассе на момент инвентаризации |
| 6 | Получение последнего товарного отчета с выведенным в нем остатком товаров на момент инвентаризации |
| 7 | Подписка о включении всех приходных и расходных документов в отчет о передаче инвентаризационной комиссии (в соответствии с текстом, указанным на титульном листе инвентаризационной описи) |
| 8 | Проверка инвентаризационной комиссией предъявленного кассового отчета и приложенных к нему документов |
| 9 | Проверка инвентаризационной комиссией предъявленного товарного отчета и приложенных к нему приходных и расходных документов |
| 10 | Визирование всех приходных и расходных документов, приложенных к товарному отчету |
| 11 | Проверка весоизмерительных приборов, используемых инвентаризационной комиссией |
| 12 | Снятие остатка наличия денежных средств в кассе и установление выручки текущего дня |
| 13 | Запись остатка денежных средств в кассе в инвентаризационную опись (при получении денег продавцами за реализованные товары) |
| 14 | Подписка о том, что все ценности, поименованные в инвентаризационных описях, комиссией проверены в натуре в присутствии материально ответственного лица и претензий к комиссии не имеется |
| 15 | Выведение предварительных результатов инвентаризации |
| 16 | Представление инвентаризационных описей по товарам в бухгалтерию предприятия |
| 16а | Представление других документов (товарных, завизированных инвентаризационной комиссией) в бухгалтерию предприятия |
| 17 | Проверка инвентаризационных материалов в бухгалтерии предприятия |
| 18 | Составление сличительной ведомости по товарам |
| 19 | Составление расчетов при выявленной недостаче |
| 20 | Отражение данных сличительной ведомости в акте результатов инвентаризации |
| 20а | Отражение данных расчета нормируемых потерь в акте результатов инвентаризации |
| 21 | Рассмотрение результатов инвентаризации |
| 22 | Принятие решения по результатам инвентаризации |
Для того, чтобы определить среднюю или ожидаемую продолжительность каждой работы по установленному выше перечню всех работ, следует выделить три оценки: Тmin - минимальной; Твв - наиболее вероятной; Тmах - максимальной продолжительности по формуле:
Таким образом, определяется путь, на котором суммарная продолжительность работ (от начального и конечного события) имеет максимальное значение, а также выявляются ресурсы (резервы времени) на работах, лежащих за пределами этого пути.
Заключение
В результате проведенного исследования было выявлено, что вопросы организации и проведения инвентаризации товарно-материальных запасов являются многоаспектными и значимыми на современном этапе развития рыночной экономики, поскольку состояние общественного производства напрямую зависит от наличия, состояния и уровня использования ТМЗ на предприятии.
Инвентаризация товарно-материальных запасов преследует цель - проверка соответствия их фактического наличия данным бухгалтерского учета. Инвентаризация ТМЗ проводится в целях обеспечения достоверности данных бухгалтерского учета и финансовой отчетности.















