19691 (602606), страница 3
Текст из файла (страница 3)
Прибуток є найважливішим показником, який узагальнено характеризує виробничо-фінансову діяльність підприємства. В отриманому прибутку відображається виконання таких важливих якісних показників, як підвищення продуктивності праці, зниження собівартості та підвищення якості продукції, використання виробничих фондів. Прибуток є основним джерелом розширення основних і оборотних фондів, дієвим фактором, який стимулює (шляхом створення та використання фондів економічного стимулювання) до досягнення якомога вищих показників виробництва, джерелом доходів Державного бюджету.
2.2 Звіт про фінансові результати
Звіт про фінансові результати – це звіт про доходи, витрати і фінансові результати підприємства.
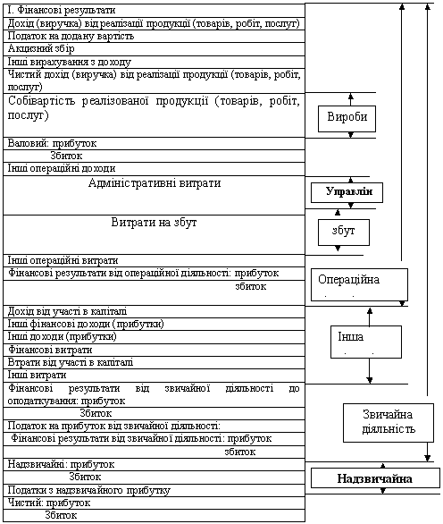
Звіт про фінансові результати (форма №2) складається з трьох розділів. Структура розділу І звіту про фінансові результати показана на рис. 1.
Призначення звіту про фінансові результати полягає у визначенні чистого прибутку (збитку) звітного періоду. З цією метою у формі звіту передбачається послідовне зіставлення його статей. Таким чином, процес розрахунку прибутку (збитку) звітного періоду може бути поділений на такі кроки:
1. Визначення чистого доходу (виручки) від реалізації продукції (товарів, робіт, послуг);
2. Розрахунок валового прибутку (збитку);
Рис. 1. Структура розділу І звіту про фінансові результати
3. Визначення фінансового результату – прибутку (збитку) – від операційної діяльності.
4. Розрахунок прибутку (збитку) від звичайної діяльності до оподаткування.
5. Визначення прибутку (збитку) від звичайної діяльності.
6. Визначення чистого прибутку (збитку) звітного періоду. [1, 119].
У розділі ІІ звіту про фінансові результати операційні витрати (на виробництво, збут, управління та інші операційні витрати) надаються в розрізі економічних елементів (рис. 2).
Рис. 2. Взаємозв’язок класифікації операційних витрат за функціями та економічними елементами.
ІІ розділ звіту про фінансові результати наведений в таблиці 1.
Таблиця 1.
Розділ ІІ звіту про фінансові результати
ІІ. Елементи операційних витрат
| Найменування показника | Код рядка | За звітний період | За попередній період |
| Матеріальні витрати | 230 | ||
| Витрати на оплату праці | 240 | ||
| Відрахування на соціальні заходи | 250 | ||
| Амортизація | 260 | ||
| Інші операційні витрати | 270 | ||
| Разом | 280 |
ІІІ розділ звіту про фінансові результати містить розрахунок показників рибутковості акцій (табл. 2).
Таблиця 2.
Розділ ІІІ звіту про фінансові результати
ІІ. Розрахунок показників прибутковості акцій
| Найменування показника | Код рядка | За звітний період | За попередній період |
| Середньорічна кількість простих акцій | 300 | ||
| Скоригована середньорічна кількість простих акцій | 310 | ||
| Чистий прибуток, що припадає на одну просту акцію | 320 | ||
| Скоригований чистий прибуток, що припадає на одну просту акцію | 330 | ||
| Дивіденди на одну просту акцію | 340 |
Показники прибутку на акцію (ПНА) використовуються для оцінки минулих результатів операційної діяльності підприємства з метою формування висновку щодо його потенціалу і прийняття рішень про інвестиції. Його економічний зміст полягає в розкритті ефективності (прибутковості) використання підприємством ресурсів, наданих власниками його звичайних акцій [9, 103].
Потенційні прості акції – це фінансовий інструмент або інший контракт, за яким в майбутньому його власнику надається право на прості акції.
До них відносяться:
- облігації, які можна конвертувати у звичайні акції;
- варанти на акції;
- опціони на акції;
- акції, які можуть бути придбані за спеціальними програмами для працівників;
- контракти, учасники яких матимуть право на отримання простих акцій в залежності від виконання вимог, передбачених цими контрактами.
У примітках до звіту про фінансові результати надають більш детальну інформацію про доходи (рис. 3).
Рис. 3. Вимоги до розкриття інформації про доходи у примітках до звіту про фінансові результати
Проаналізуємо звіт про фінансові результати на умовному прикладі сільськогосподарського кооперативу «Україна» (табл. 3). Цей аналіз дає змогу проаналізувати, які фактори вплинули в звітному періоді на валовий прибуток підприємства на фінансовий результат від операційної діяльності підприємства та на фінансовий результат від звичайної діяльності до оподаткування. Із даних таблиці видно, що підприємство не мало надзвичайних доходів і витрат, і його кінцевий фінансовий результат є результатом звичайної діяльності [9, 204].
Таблиця 3.
Формування чистого прибутку підприємства. (тис. грн.)
| № п/п | Показники | За звітний період | За минулий період | Відхилення | % до минулого року |
| 1 | Дохід (виручка) від реалізації продукції | 6218,23 | 4427,23 | 1791,0 | 40,45 |
| 2 | ПДВ | 1036,37 | 737,83 | 298,54 | 40,45 |
| 3 | Акцизний збір | ||||
| 4 | Інші відрахування з доходу | ||||
| 5 | Чистий дохід(виручка) від реалізації (1 – 2 – 3 – 4) | 5181,86 | 3689,4 | 1492,46 | 40,45 |
| 6 | Собівартість реалізованої продукції | 3857,9 | 2735,0 | 1122,9 | 41,0 |
| 7 | Валовий прибуток (5 – 6) | 1323,96 | 954,14 | 369,82 | 38,75 |
| 8 | Інші операційні доходи | 140,9 | 98,73 | 42,17 | 42,7 |
| 9 | Адміністративні витрати | 354,76 | 291,47 | 63,29 | 21,7 |
| 10 | Витрати на постачання | 71,0 | 59,0 | 12,0 | 24,5 |
| 11 | Інші операційні витрати | 14,0 | 17,4 | -3,4 | -12,4 |
| 12 | Фінансовий результат від операційної діяльності (7 + 8 – 9 – 10 – 11) | 1 025,1 | 685,4 | 339,7 | 49,6 |
| 13 | Дохід від участі в капіталі | ||||
| 14 | Інші фінансові доходи | 283,7 | 306,8 | -23,1 | -7,5 |
| 15 | Інші доходи | 168,9 | 163,7 | 5,2 | 3,2 |
| 16 | Фінансові витрати | 26,8 | 27,3 | -0,5 | -1,8 |
| 17 | Витрати від участі в капіталі | ||||
| 18 | Інші витрати | ||||
| 19 | Фінансовий результат від звичайної діяльності до оподаткування (12 + 13 + 14 + 15 – 16 – 17 – 18) | 1 450,9 | 1 128,6 | 322,3 | 28,6 |
| 20 | Податок на прибуток від звичайної діяльності | 435,3 | 338,6 | 96,7 | 28,6 |
| 21 | Фінансовий результат від звичайної діяльності після оподаткування (19 – 20) | 1 015,6 | 790,0 | 225,6 | 28,6 |
| 22 | Надзвичайні доходи | ||||
| 23 | Надзвичайні витрати | ||||
| 24 | Податок з надзвичайного прибутку | ||||
| 25 | Чистий прибуток підприємства (поз.21+ 22 – 23 – 24) | 1 015,6 | 790,0 | 225,6 | 28,6 |
Наведені дані свідчать, що у сільськогосподарського кооперативу «Україна», наявні істотні резерви збільшення чистого прибутку. Про це свідчить хоча б той факт, що дохід (виручка) від реалізації продукції підприємства в звітному періоді порівняно із минулим періодом зріс на 40,45%, тоді як чистий прибуток підприємства збільшився лише на 28,6%. Отже, темп зростання чистого прибутку був нижче у 1,4 раза. Основною причиною цього є зростання у звітному порівняно із минулим періодом у 1,4 раза собівартості реалізованої продукції, а також зростання адміністративних витрат, витрат на постачання, зниження інших фінансових доходів.
Доцільно здійснювати як горизонтальний, так і вертикальний аналіз фінансових результатів роботи підприємства. Горизонтальний (або трендовий) аналіз результативності грунтується на вивченні динаміки окремих її показників у часі. В процесі використання такого аналізу визначаються загальні тенденції зміни рівня показників [8, 94].
















