12617 (600651), страница 3
Текст из файла (страница 3)
Рис.1.5. Зависимость второго вириального коэффициента некоторых газов от температуры.
На рис. 1.5 представлена зависимость второго вириального коэффициента от температуры для некоторых газов. При низких температурах B2 < 0, с ростом температуры его значение проходит через ноль, затем становится положительным, достигает максимума и далее очень медленно убывает. При высоких температурах B2 и все последующие вириальные коэффициенты стремятся к нулю. Температура, при которой B2 = 0, называется температурой Бойля TB.
Закон соответственных состояний.
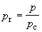
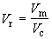
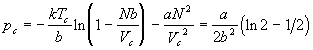
Поскольку критические константы являются характеристическими свойствами газов, их можно использовать для создания соответствующей относительной шкалы, введя безразмерные приведенные переменные: приведенное давлениеpr(π), приведенный объем Vr(φ) и приведенную температуру Tr(τ):
;
;
.
Соответственными называются состояния разных веществ, имеющие одинаковые значения приведенных переменных. Согласно закону соответственных состояний, если для рассматриваемых веществ значения двух приведенных переменных одинаковы, должны совпадать и значения третьей приведенной переменной. Таким образом, уравнения состояния различных веществ, записанные в приведенных переменных, должны совпадать. Это утверждение эквивалентно постулату о существовании общего универсального приведенного уравнения состояния: F(pr, Vr, Tr) = 0
Поскольку это приведенное уравнение не содержит в явном виде индивидуальных постоянных, оно должно быть применимо к любому веществу. Закон соответственных состояний является общим утверждением, не связанным с конкретным видом уравнения состояния. На практике закон соответственных состояний приближенно выполняется для однотипных веществ, что позволяет, например, использовать для реальных газов обобщенные диаграммы сжимаемости.
Рис.1.6. Зависимость фактора сжимаемости некоторых газов от приведенного давления при разных приведенных температурах.
Можно показать, что любое уравнение состояния, содержащее три параметра, можно представить в приведенной форме. Для тех из них, которые содержат три параметра, представлена также и приведенная форма. Отсутствие универсального уравнения F(pr, Vr, Tr) = 0 говорит не о неверности закона о соответственных состояниях, а о недостаточности двух индивидуальных постоянных и R в уравнении состояния.
В настоящее время понятно, почему в уравнениях состояния реальных газов двух индивидуальных параметров в общем случае не хватает, но в первом приближении этого достаточно. Причиной всех отклонений от уравнения состояния идеального газа являются межмолекулярные взаимодействия в газах.
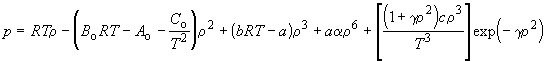
Статистический расчет показывает, что наличие индивидуальных постоянных в уравнении межмолекулярного взаимодействия всегда приводит к появлению индивидуальных постоянных и в уравнении состояния газов. Поэтому в области значений p, V и T, для которых в реальных газах вклад межмолекулярных взаимодействий достаточно велик, в уравнениях состояния появляются индивидуальные постоянные, зависящие от параметров уравнении межмолекулярного взаимодействия. Поэтому в приближенных уравнениях состояния часто оказывается достаточно использовать две индивидуальные постоянные. Если же требуется описать поведение газа с более высокой точностью, необходимо использовать уравнения с бу льшим числом постоянных. Так, например, уравнение Битти – Бриджмена содержит пять постоянных кроме R и считается одним из лучших эмпирических уравнений состояния. В течение некоторого времени оно применялось при составлении справочных таблиц реальных газов. В настоящее время для возможно более точного описания свойств газов используют эмпирическое уравнение Бенедикта – Вебба – Рубина:
Модельные представления о реальных газах.
Рассмотрим две простые модели, которые позволят учесть эти факторы при расчете статистической суммы газа.
Модель решеточного газа
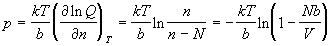
В модели решеточного газа предполагается, что N различимых частиц движутся в объеме V, разделенном на ячейки объемом b, при этом число ячеек n = V / b предполагается намного большим, чем число частиц, т.е. большинство ячеек - пустые (рис. 2.1). В каждой ячейке может находиться не более одной частицы (если в одной ячейке находятся две частицы, то потенциальная энергия принимается равной +Ґ ). Частицы, находящиеся в разных ячейках, не взаимодействуют, т.е. потенциальная энергия равна 0. Фактически, в этой модели объем ячейки - это собственный объем частиц. Найдем уравнение состояния для решеточного газа.
Рис. 2.1. Три из 504 вариантов расположения трех различимых частиц в 9 ячейках.
Из этого уравнения состояния следует то, что
при любых объемах. Это означает, что решеточный газ без взаимодействия ни при каких условиях не проявляет критического поведения и наличие собственного объема, которое можно рассматривать как существование бесконечного отталкивания на малых расстояниях, само по себе не может приводить к конденсации газа.
Модель решеточного газа с взаимодействием
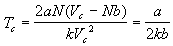
Для того, чтобы оценить роль межчастичного взаимодействия в поведении реальных газов, рассмотрим модель решеточного газа с притяжением, в котором каждая пара частиц взаимодействует друг с другом с одинаковым потенциалом, равным –2a/V, где a - постоянная, V - объем газа.
;
;
Главный вывод, который следует из рассмотрения двух моделей решеточного газа состоит в том, что критические явления в реальном газе могут появляться только в том случае, когда потенциал взаимодействия содержит как отталкивательную часть (на малых, но конечных расстояниях), так и притягивающую часть.
Заключение.
Данная курсовая работа посвящена рассмотрению реальных газов с точки зрения физики и физической химии. В ней рассмотрены принципы описания свойств реальных при высоких давлениях и низких температурах, когда классическое уравнение состояния Клайперона-Менделеева уже не имеет смысла.
Это происходит при увеличение давления, когда расстояние между молекулами начинает сокращаться и они взаимодействуют между собой, что приводит нас к выводу вириальных коэффициэнтов, которые характеризуют потенциалы парных, тройных и т.д. межмолекулярных взаимодействий.
Учет этих взаимодействий позволяет не только точно рассчитывать рассличные характерные свойства газов, но также и их калорические характеристики, например теплоемкость, при учете которой, также необходимо знать размеры молекул атомов и потенциалы межмолекулярных взаимодействий.
Список литературы
1. Савельев «Курс общей физики». Учебное пособие для ВТузов. Молекулярная физика. Первый том.
2. И. И. Новиков «Термодинамика.» 1984.
3. Т.И.Трофимова «Курс общей физики». Молекулярная физика. Лекции.
4. К.В.Глаголев «Физическая термодинамика». Том второй.
5. А.Н.Морозов. МГТУ им. Н.Б.Баумана. 2002г.
6. В.В. Еремин, С.И. Каргов, Н.Е. Кузьменко «Реальные газы.» 1998
7. Р.Кубо «Термодинамика.» 1989.
Для подготовки данной работы были использованы материалы с сайта http://referat.ru/
















