11148 (600497), страница 6
Текст из файла (страница 6)
8.5 Терапевтические эффекты ганглиозидов
Ганглиозиды in vivo обладают уникальными свойствами: при введении в организм подкожно, внутримышечно или интраперитонеально они относительно длительное время сохраняются в кровяном русле, лишены токсичности, в небольших количествах проникают через гемато-энцефалический барьер и активно встраиваются в нейрональные мембраны. Они способствуют репарации поврежденных аксонов, обладают выраженными терапевтическими эффектами при травмах головного и спинного мозга.
В настоящее время наиболее изучена молекулярная и биологическая роль в этих процессах моносиалоганглиозида GM1, который при введении in vivo:
а) восстанавливает нейрохимические параметры дофаминер-гических нейронов после нарушения нигростриатной системы, усиливает захват дофамина и активность ирозингидроксилазы;
б) восстанавливает нейрохимические характеристики при частичной холинергической и глутаматергической деафферен-тации гиппокампа, увеличивает активность холинацетилтрансферазы и ацетилхолинэстеразы;
в) восстанавливает высокоаффинный захват холина в коре больших полушарий после нарушений ядер переднего мозга;
г) нормализует дисбаланс между активностью дофамин- и серотонинергических нейронов, вызванный введением апомор-фина;
д) оказывает рост-стимулирующий эффект и защитное действие против вторичной дегенерации серотонин- и норадре-нергических нейронов, вызванной нейротоксинами;
е) уменьшает церебральный отек и восстанавливает ионный баланс после травмы;
ж) способствует регенерации зрительного нерва после перерезки.
С другой стороны, введение антител к GM] вызывает у развивающихся животных нарушение дендритной арборизации и поведения, ухудшение обучаемости, появление эпилептиформ-ной активности.
Моносиалоганглиозид GM1 хорошо внедряется в мембраны, причем особенно хорошо встраивается молекула GMI, имеющая в своем составе С 2о-эритросфингозин. Возможно, это объясняется его более высокой способностью к мицеллообразованию. Он образует дископодобные мицеллы с М^ЗОО кД, имеющие гидродинамический диаметр около 60 нм.
Интересно, что мицеллы из моносиалоганглиозида GMI по-тенциируют действие ионофора грамицидина D. Ганглиозид-ные мицеллы с заключенными в них молекулами грамицидина включаются в модельную мембрану из фосфатидилсерина и изменяют ее проводимость для ионов калия. После добавления мицелл с ионофором увеличивается время открытия ионных каналов и изменяется их амплитуда.
■ Таким образом, ганглиозидные мицеллы могут участвовать в ионтранспортном процессе в мембране, «маркируя» входы в селективные ионные каналы,
О механизмах и функциональной последовательности действия ганглиозидов известно мало. Встраивание экзогенных ганглиозидов, приводящее к перестройке мембранных ансамблей, изменяет ряд внутриклеточных процессов. Вызванная ганглиозидами дифференциация сопровождается изменением активности Na5K-ATOa3bi, увеличением внутриклеточного уровня цАМФ, уменьшением включения меченого тимидина в ДНК и значительным удлинением фазы G( клеточного цикла. Внедрение ганглиозидов вызывает немедленную перестройку мик-рофиламентной и микротубулиновой системы клеток.
Включение в мембрану экзогенных ганглиозидов усиливает аксональный ток гликозилированных белков и липидов, увеличивает количество гликопротеинов с терминальной манно-зой. Внедрение моносиалоганглиозида GM1 увеличивает в мембране количество эндогенных моносиалоганглиозидов и изменяет активность гликозилтрансфераз: усиливается активность эктофукозилтрансферазы при неизменности активностей сиалил-и галактозилтрансфераз. Внедрение в мембрану трисиалоганг-лиозида GTlb вызывает противоположный эффект.
Недавно выявлено влияние индивидуальных ганглиозидов на фосфорилирование гистона Hj и тубулина, причем в отношении фосфорилирования гистона были особенно эффективны GOJb > GDl* > GTia > GD3> а тубулина – Gxlb > GTla > GQlb > GDla. Показано, что тетрасиалоганглиозид Gglb проявляет зависимое от концентрации влияние на активность Са+ – фос-фолипид-, Са +-кальмодулин-, цАМФ- и цГМФ-активируемых протеиякиназ
8.6 Межклеточное гликозирование ганглиозидов
Своеобразный процесс межклеточного гликозилирования поверхностных гликолипидов и гликопротеинов осуществляется ферментами мембран. Полагают, что гликозилтрансферазы одной клеточной поверхности удлиняют, надстраивают олигосахаридные цепочки гликолипидов и гликопротеинов соседней, противоположной поверхности. Важная регу-ляторная роль в этом процессе принадлежит ионам кальция. Са*+ препятствует образованию субстрат-ферментного комплекса между ганглиозидами и гликозилгрансферазами, а вытеснение его другими ионами способствует межклеточному гликозилированию.
Контактное гликозилирование, как предполагаемый механизм модификации клеточной поверхности в нейрональных мембранах, может быть особенно значимым в образовании синапсов. Вероятно, при этом происходит некая «подгонка» контактирующих мембран.
Роль гликозилирования в синаптической области согласуется с концепцией об участии сиалогликомакромолекул в синаптической передаче и формировании памяти. Полагают, что вхождение сиалогликомакромолекул в контактные зоны является важным звеном молекулярных механизмов в проторении определенных нейрональных путей. Возможно, именно ганглиозиды способствуют образованию ансамблей нейронов, устойчиво связанных друг с другом. Возникновение таких ансамблей исключительно важно для хранения и передачи информации.
8.7 Электрогенность ганглиозидов и ее модификация
Необычайная молекулярная вариабельность ганглиозидов сочетается с лабильной электрогенностью. Для каждой молекулы ганглиозидов характерен свой отрицательный заряд, обусловленный карбоксильной группой сиаловой кислоты. На 1 г ткани мозга приходится не менее 1,3 – Ю анионных групп ганглиозидов. Число анионных групп и, следовательно, уровень отрицательного заряда могут быть объектом регуляции. В этом процессе особая роль принадлежит ферментам – нейрамнни-дазам и сиалилтрансферазам. Они определяют число молекул N-ацетнлнейраминовой кислоты, присутствующих в ганглиозидах, и через цикл сиалирования – десиалирования – отрицательный заряд поверхности.
Сиалилтрансферазы и нейраминидазы находятся на поверхности синаптических мембран там же, где и субстраты, и являются внутренними компонентами синаптической области. В синаптосомалъных мембранах содержится около половиньг ганглиозидов, нейраминидаз и сиалилтрансфераз. Иначе говоря, эти мембраны содержат в 5–6 раз больше ганглиозидов и в 6,5 раз больше нейраминидаз, чем другие плазматические мембраны мозга.
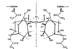
Существенное влияние на поверхностный заряд ганглиозидов в мембране оказывает конформация нейраминовой кислоты и ближайших радикалов. Отщеплению нейраминовой кислоты препятствует соседний N-ацетилгалактозамин. В силу этого гли-козидный кислород нейраминовой кислоты вместе с другими атомами, включающими и карбоксильный кислород N-аиетил-галактозамина, лежит как бы в «кислородной клетке»:
Такая конфигурация атомов вокруг гликозидной связи защищает ее от действия фермента и способствует сохранению отрицательного заряда молекулы. Иная картина наблюдается с ганглиозидами, лишенными N-ацетилгалактозамина: GT3, GD3,
GM3> GM4
Нейраминовая кислота недоступна ферментам, когда карбоксильные группы близлежащих ганглиозидов соединены с Са+:
В этом случае исключено не только устранение N-ацетил-нейраминовой кислоты, но и присоединение дополнительного числа ее молекул сиалилтрансферазами.
8.8 Лактонные формы ганглиозидов
Между карбоксильной группой N-апетилнейраминовой кислоты и ее гидроксильными группами могут возникать внутримолекулярные взаимодействия, приводящие к образованию лак-тонов – внутренних сложных эфиров.
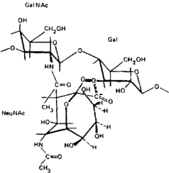
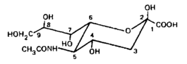
В создании лактонов могут участвовать гидроксилы, расположенные'у 4, 7, 8 и 9-го атомов углерода нейраминовой кислоты. Лактоны могут возникать и с участием гидроксильных групп соседней галактозы, приводя к образованию 6-членного кольца:
Молекулы нейраминовой кислоты, находящиеся в димерной связи, также образуют лактоны, по структуре аналогичные лактонам коломиновой кислоты, в которой карбоксильная группа одной молекулы связана с гидроксилом 7-го или 9-го атома углерода соседней нейраминовой кислоты.
Лактоны были обнаружены в ганглиозидах мозга. В нейтральной или слабокислой среде терминальная молекула нейраминовой кислоты полисиалоганглиозидов спонтанно образует лак-тон, а в более кислой среде этот процесс затрагивает и другие молекулы нейраминовой кислоты. Установлено, что ионы кальция предотвращают образование лактонов в терминальных молекулах нейраминовой кислоты,
ш Ганглиозиды, имеющие нейраминовую кислоту в лактон-ной форме, обладают иными физико-химическими свойствами, они не заряжены, нейтральны. Поэтому образование лактонов является процессом, изменяющим заряд молекулы, и в более общем виде является примером модификации структуры отдельного компонента ганглиозидов, приводящей к изменению информационной емкости всей сложной молекулы.
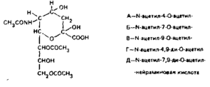
8.9 О-ацетилирование ганглиозидов – один из возможных механизмов изменения их структуры
В структуре нейраминовой кислоты очень важна боковая по-лиеидроксильиая группировка, уникальная среди олигосахарид-ных компонентов поверхности:
Эта полигидроксильная группировка может быть дополнительно ацетилирована и, возможно, метилирована. В природе известно несколько производных О-ацетилнейраминовых кислот, в которых ацетилированы гидроксилы у 4, 7, 8 и 9-го атомов углерода:
Пока неизвестно, осуществляется ли модификация ганглиозидов ацетилированием ферментативно и что является источником ацетила.
Появление дополнительных ацетильных групп изменяет структуру и конформацию нейраминовой кислоты и ее внутри-и межмолекулярные взаимодействия. Оно делает ее менее доступной сиалилтрансферазам и резко меняет способность ганглиозидов связывать металлы. Увеличивается структурное разнообразие индивидуальных ганглиозидов. Участки поверхности, занятые ацетилированными ганглиозидами, будут иметь иные архитектурные и опознавательно-информационные свойства.
В настоящее время считают, что N-ацетилнейраминовая кислота выполняет антиадгезывную роль в гликоконъюгатах поверхности, маскируя специальные рецепторные стороны. Баланс между сиало- и асиалоганглиозидами определяет адгезию и узнавание клеток. Специфическое присоединение нейраминовой кислоты к рецепторам является одним из механизмов, с помощью которого клетка модулирует свой потенциал узнавания и изменяет свое поведение.
■ Таким образом, ганглиозиды вносят существенный вклад в функции нейрональных мембран. Ганглиозиды несут многочисленные отрицательные заряды, образуя поверхностный анионный слой с выраженным сродством к катионам. Все структурные изменения ганглиозидов за счет гликозилирования, ре-и десиалирования, ацетилирования, образования лактонов и взаимодействия с ионами, гликопротеинами, фосфолипидами и белками влияют, прежде всего, на их заряд и затрагивают электрогенную природу мембран. Сочетание необычайной структурной пластичности с лабильной электрогенностью и способностью к узнаванию других молекул делает эти уникальные соединения участниками проведения нервного импульса в нейронах и регуляции этого процесса.
8.10 Иммунологические свойства ганглиозидов
Антитела специфически реагируют с олигосахаридной частью ганглиозидов независимо от того, прикреплена ли она к липидам, белку, нуклеиновой кислоте. В последнее время начинает вырисовываться и роль церамидной части в антигенных свойствах ганглиозидов.
Введенные интрацеребрально антиганглиозидные антитела нарушают функции ЦНС, причем эти изменения были следствием нарушения синаптических контактов. Особенно полезными в такого рода исследованиях оказались анти-СМ1 антитела, поскольку четко доказаны рецепторные функции GM1 и его большая экспонированность и доступность антителам на поверхности клетки в экстраклеточном пространстве. Введение анти-G^ji антител ингибирует обучение путем блокирования стадии консолидации, задерживает развитие молодых животных, блокирует обезболивание морфином и седативное действие резерпина, нарушает некоторые холинергические функции в гипоталамусе.
Как уже упоминалось выше, ганглиозиды могут обеспечивать некоторые сигнальные механизмы, регулирующие последовательность процессов развития ЦНС. Это подтвердилось при исследовании поведенческих, морфологических и химических изменений при введении aHTH-GM1 антител новорожденным животным. У молодых животных наблюдался дефицит в обучаемости, потеря пирамидных клеток, тонких корешков дендри-тов и миелина, а в соматосенсорном кортексе на 30% снижалось содержание ганглиозидов, галактозилцерамида и РНК. Точное выяснение дифференциального участия индивидуальных ганглиозидов в этих процессах может оказаться важнейшим ключом к синаптическим механизмам.
















