10904 (600462), страница 2
Текст из файла (страница 2)
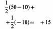
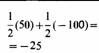
Легко понять, что ястреб смог бы внедриться в популяцию, образованную целиком из голубей. Хотя голуби в среднем получают в конфликтах друг с другом + 15, вторгнувшийся ястреб имел бы выигрыш + 50 в каждом столкновении с голубем и таким образом получил бы преимущество. В популяции из одних ястребов средний результат составляет - 25 очков, поэтому голубь смог бы легко захватить ее, так как голубь получает в состязании с ястребом 0, что лучше чем — 25. Итак, мы видим, что ни популяция, состоящая только из голубей, ни популяция, состоящая только из ястребов, не могут устоять против вторжения и ни одна из этих стратегий не является примером ЭСС. Однако возможно, что смешанная популяция из ястребов и голубей могла бы дать устойчивую ситуацию, если бы их соотношение достигало определенной величины. Пусть доля ястребов будет h, а доля голубей -. Средний результат для голубя можно подсчитать из вероятности встречи ястреба или другого голубя и итога каждого типа конфликта:
D = 0h + 15.
Точно так же средний результат для ястреба будет
H = -25h + 50.
Если D равно H, то равновесие будет устойчивым; и тогда h = 7/12, а = = 5/12. Поэтому ЭСС будет наблюдаться
Таблица 1. Соревнование между ястребами и голубями
Результат подсчитывается следующим образом: победителю +50, раненому —100, проигравшему 0, за демонстрацию силы —10
Сетка средних результатов для нападающего показана внизу.
| Нападающий | Противник | |
| Ястреб | Голубь | |
| Ястреб | | |
| Голубь | | |
Когда «ястреб» встречается с «ястребом», мы предполагаем, что в половине случаев он побеждает, а в половине случаев получает ранение. «Ястреб» всегда побеждает «голубя». «Голубь» всегда немедленно отступает перед «ястребом». Когда «голубь» встречается с «голубем», мы допускаем, что всегда имеют место демонстрации и один из двух побеждает.
В том случае, когда 7/12 популяции составят ястребы и 5/12 - голуби. Другая возможность состоит в том, что особи ведут себя как ястребы в 7/12 состязаний и как голуби в 5/12, причем стратегия для каждого случая выбирается наугад. Это называется смешанной стратегией. В этом случае равновесие достигается только тогда, когда стратегия голубя используется в 5/12 всех конфликтов, а ястреба - в 7/12. Каждая стратегия благоприятна, если она относительно редка. Тогда ее представительство в популяции возрастает, пока снова не будет достигнута точка равновесия. И ни вторжение ястребов, ни вторжение голубей не может нарушить эту ЭСС.
Еще одна стратегия, возможная в данном случае, - это так называемая стратегия хозяина, в которой каждая особь ведет себя как ястреб, являясь хозяином территории, и как голубь, вторгаясь на чужую территорию.
Допустим, что каждая особь будет хозяином в половине конфликтов и пришельцем в другой половине; тогда результаты будут такими, как показано в табл. 2. Если популяция образована целиком из «хозяев», то средний итог конфликта будет + 25, т. е. больше, чем могли бы получить вторгшиеся голуби или ястребы, которые имели бы соответственно + 7,5 и + 12,5 в конфликте с хозяином. Таким образом, стратегия хозяина - это ЭСС. Очевидно, что эта стабильная стратегия является стратегией положения, т. е. предполагает жесткое сопротивление пришельцу и отступление перед хозяином.
Эти примеры, впервые предложенные Мэйнардом Смитом, сильно упрощают ситуацию, встречающуюся в природе. Тем не менее они представляют значительное продвижение в развитии эволюционной теории; стало ясно, что такой последовательный подход к сложной ситуации в принципе может решить давно поставленные проблемы. Основные принципы ЭСС, возможно, следует разрабатывать применительно к конкретной природной ситуации, но это справедливо для любого достаточно общего закона науки.
Фактически стратегии хозяина, голубя и ястреба можно наблюдать в природе. Например, самцы пятнистой древесницы конкурируют за брачную территорию. Конфликты у них непродолжительны, и владелец территории всегда побеждает. В этом примере стратегия хозяина используется всеми членами популяции. Стратегия голубя часто обнаруживается у животных. обладающих потенциально опасным оружием. Например, у орикса очень острые прямые рога, которыми можно нанести смертельные раны. Их можно использовать в защите против хищников, но в схватках друг с другом рога используются чисто ритуальным образом и самец никогда не бьет ими противника в бок. Точно так же у гремучих змей конфликты носят ритуальный характер для демонстрации силы, когда каждая змея пытается прижать противника к земле. Они не используют против соперников ядовитые зубы. Стратегия ястреба не универсальна в животном мире, но она может проявляться в конфликтах за ценные ресурсы, такие, как возможность спариваться. У видов, у которых самки труднодоступны или про-
Таблица 2. Конфликты между «ястребами», «голубями» и «хозяевами».
Результат подсчитывается, как и в табл. 1: победителю +50, раненому — 100, проигравшему 0, за демонстрацию —10.
Сетка средних результатов для нападающего показана внизу
| Нападающий | Противник | ||
| Ястреб | Голубь | Хозяин | |
| Ястреб | -25 | + 50 | + 12,5 |
| Голубь | 0 | + 15 | + 7,5 |
| Хозяин | -12.5 | + 32.5 | + 25 |
Обратите внимание на то, что. когда «хозяин» встречает либо «ястреба», либо «голубя», мы предполагаем, что он побеждает в половине случаев, так как играет роль «ястреба», и проигрывает в половине случаев, т.е. играет роль «голубя». Его результаты, следовательно.-это среднее из двух верхних строчек сетки. Если «хозяин» встречает «хозяина», то в половине случаев он побеждает, а в половине случаев, как пришелец, проигрывает. В этом случае за демонстрации или ранение очки не вычитаются.
Продолжительность жизни очень невелика, можно ожидать конфликтов со смертельным исходом, потому что результатом этого может быть единственный за всю жизнь шанс внести свой вклад в генофонд будущих поколений. Например, самцы осагаонид вступают в смертельные схватки за возможность оплодотворить самок внутри соцветия инжира. У самцов мощные челюсти, и они могут перекусывать других ос пополам. Гамильтон обнаружил одно соцветие, в котором было 15 самок, 42 самца, погибших или погибающих от ран, и 12 самцов без каких бы то ни было повреждений. У овцебыков до 10% взрослых самцов за год могут погибать в результате схваток из-за самок. Серьезные ранения могут получать самцы благородных оленей, однако лишь после довольно продолжительной схватки.
3. Стратегия роющей осы
Самцы большой золотой роющей осы откладывают яйца в подземные норки, куда они перед этим закладывают длиннорогих кузнечиков, служащих пищей для личинок. Джейн Брокман тщательно изучила поведение самок этих ос. Она почти непрерывно проводила записи гнездовой активности 68 индивидуально покрашенных самок на трех различных участках на протяжении шести сезонов размножения. Брокман обнаружила, что самки либо сами роют норку, либо занимают уже готовую. Чтобы вырыть норку, самке требуется в среднем 100 мин. Затем она приносит в эту норку парализованных кузнечиков, откладывает одно яйцо и запечатывает норку. После этого цикл повторяется. Может случиться так, что ее норку займет другая оса, которая также обеспечивает питанием будущую личинку. Обе осы могут снабжать одну и ту же норку, не имея в это время другой вырытой норки. Поскольку обе осы тратят большую часть времени на охоту, встретиться они могут нескоро. Когда же они наконец встретятся, они вступают в схватку, и одна оса обычно изгоняется. В конечном счете только одна оса откладывает яйцо в подготовленную ячейку.
Для самки осы возможны две стратегии. Она может выкопать собственную норку, но при этом существует небольшой риск, что другая оса попытается ее занять, или она может занять уже готовую норку, не тратя сил на ее выкапывание, но подвергаясь риску быть изгнанной хозяйкой. Наилучшая стратегия будет зависеть от того, какая стратегия принята большинством других самок ос в окрестности. С одной стороны, если почти все другие самки устраивают собственные гнезда, то лучше принять стратегию занимания гнезда, так как в окрестностях будет множество норок, используемых малым количеством ос. С другой стороны, если большинство других ос пользуется стратегией вселения, то конкуренция будет весьма сильна, и в этом случае лучше выкопать собственную норку. Следовательно, ЭСС лежит между этими двумя крайностями.
Можно измерить успех этих двух стратегий числом яиц, отложенных в данный период времени. Роющие осы используют смешанную стратегию, поэтому следует сравнивать не успех отдельных особей, а результаты решений «вселяться» или «копать». На основе допущения, что эти альтернативные решения и составляют смешанную ЭСС, можно предположить, что число отложенных за единицу времени яиц будет одинаковым, независимо от решения осы - вселяться в уже готовую норку или копать собственную. Данные проведенных наблюдений позволяют сказать, что успех одинаков при всех возможных последствиях этих двух решений. Подсчет числа отложенных яиц не выявил каких-либо значительных различий между этими двумя стратегиями. Такое заключение подтверждает гипотезу, что «вселение» и «выкапывание» суть компоненты смешанной ЭСС.
Как мы уже знаем, если две самки занимают одну норку, схватка между ними обычно бывает неизбежна. Они становятся «на дыбы», наносят удары раскрытыми жвалами и борются друг с другом. Схватка продолжается от 2 до 16 мин и кончается, когда побежденная оса покидает поле боя. В 18 из 23 наблюдавшихся случаев побежденная оса не возвращалась к гнезду, тогда как в 5 случаях она возвращалась много часов спустя. Наградой победителю служит возможность использования норы, но ее ценность зависит от количества кузнечиков, лежащих там. Норка, в которой находятся четыре кузнечика, готова для откладывания в нее яиц, и за нее стоит сражаться. Норка, в которой нет кузнечиков, все же стоит некоторых усилий, так как победитель сберегает энергию, необходимую для выкапывания новой норки. Исходя из этого, можно было бы ожидать, что каждая оса сражается с такой силой, которая зависит от награды за победу. Не стоит очень настойчиво сражаться за пустую норку, поскольку усилия и риск в сумме превышают усилия и риск, которые потребовались бы для выкапывания новой норки.
Рис. 2. Смешенная стратегия самки роющей осы.
На рисунке 2 показаны последствия решений копать новую норку или вселиться в уже готовую. Выкопанную норку иногда приходится оставить, или же в ней может обосноваться другая оса. При вселении в уже готовую норку оса может столкнуться с другой осой или же к ней может вселиться другая оса.
Проблема заключается в том, что ситуация одинакова для обеих ос. Если обе осы знают, сколько кузнечиков лежит в норке, то можно ожидать, что они будут сражаться с одинаковой силой. Будет ли такая ситуация эволюционно стабильной? Доукинс и Брокман считают, что не будет. Если норка стоящая, обе осы будут сражаться в течение долгого времени, но и уступят примерно в одно время, причем победитель определится случайным образом. За менее стоящую норку схватка будет короче, но обе ее участницы все же будут нести соответствующие затраты. Такая ситуация может иметь место в игровой стратегии: «В половине случаев эти встречи закончатся тотчас же без схватки; в оставшейся половине они будут продолжаться в течение какого-то времени, пока одна из соперниц не отступит». В популяции, где преобладают «разумные» осы, сражающиеся в соответствии с общей ценностью норки, игрок окажется в выигрыше, поскольку будет побеждать в среднем в половине схваток, но ничем не будет платить за проигранные встречи. Однако чисто игровая стратегия, по-видимому, не будет ЭСС.















