2398 (599671), страница 2
Текст из файла (страница 2)
Что касается ипотеки, то текущий доход по ней представляет собой обслуживание долга. Самоамортизирующиеся ипотеки предусматривают одновременную выплату процента (доход на основную сумму кредита) и амортизацию (возврат основной суммы ипотеки) на протяжении определенного срока. Остаток основной суммы на любой момент времени равен текущей стоимости всех платежей, оставшихся до полной амортизации кредита, дисконтированных по номинальной процентной ставке закладной. Ипотечные кредиты часто погашаются до полного истечения срока амортизации. В этом случае остаток ипотеки выплачивается разовым денежным платежом, и таким образом долг погашается. Номинальная стоимость долгового обязательства равна сумме текущей стоимости периодических денежных выплат и текущей стоимости единовременного денежного платежа при погашении кредита, дисконтированной по номинальной процентной ставке ипотеки.
Текущая стоимость инвестиций в собственный капитал равна сумме потока доходов и выручки от ликвидации (перепродажи), дисконтированных по ставке отдачи на собственный капитал. При определенных условиях ипотечного кредита цена собственного капитала оправдана денежными поступлениями, а также выручкой от перепродажи, которые ожидают получить инвесторы. Поэтому текущая стоимость собственного капитала равна сумме текущей стоимости денежных поступлений и текущей стоимости выручки от перепродажи, дисконтированных по ставке конечной отдачи на собственный капитал, с учетом соответствующих рисков. Таким образом, во внимание принимаются сумма и время получения выгод инвесторами.
Стоимость собственности или ее цена рассчитывается по формуле (1):
Цена = Стоимость собственного капитала + Ипотечный кредит , (1)
Стоимость собственного капитала определяется как сумма двух элементов: денежных поступлений и выручки от перепродажи. Оба элемента дисконтируются по соответствующей ставке отдачи и величины их текущей стоимости рассчитываются с использованием факторов текущей стоимости.
Если ожидается, что прогнозируемые денежные поступления будут носить равномерный характер, то их ежегодная сумма умножается на фактор аннуитета. Реверсия или выручка от перепродажи оценивается с использованием фактора текущей стоимости единицы, поскольку выручка поступает как единовременная сумма.
Формула расчета стоимости собственного капитала (инвестиций в собственный капитал), с учетом вышесказанного - формула (2) - имеет следующий вид:
Стоимость собственного капитала = PWAF * (CF) + PWF * (PS), (2)
где PWAF - фактор текущей стоимости аннуитета по ставке отдачи на собственный капитал,
CF - денежные поступления,
PWF - фактор текущей стоимости реверсии по ставке отдачи на собственный капитал,
PS - выручка при перепродаже.
Для оценки стоимости недвижимости текущий остаток ипотеки следует прибавить к стоимости собственного капитала. Подобным образом оцениваются все доходы. Остаток ипотеки равен текущей стоимости требуемых выплат по обслуживанию долга, дисконтированных по номинальной процентной ставке ипотеки. Таким образом, общая формула для оценки стоимости собственности (3) выглядит следующим образом:
V = PWAF * (CF) + PWF * (PS) + MP, (3)
где V - стоимость собственности (первоначальная),
PWAF - фактор текущей стоимости аннуитета по ставке отдачи на собственный капитал,
CF - денежные поступления,
PWF - фактор текущей стоимости реверсии по ставке отдачи на собственный капитал,
PS - выручка при перепродаже,
MP - текущий остаток основной суммы ипотеки.
Если принять, что
CF = NOI - DS , (4)
где NOI - чистый текущий операционный доход,
DS - обслуживание долга (годовое), и
PS = RP - OS , (5)
где RP - цена перепродажи собственности,
OS - остаток ипотечного долга при перепродаже;
тогда формула 3 примет вид:
V = PWAF * (NOI - DS) + PWF * (RP - OS) + MP, (3*)
Применение традиционной техники предполагает трехэтапный расчет для определенного прогнозного периода. Прогнозный период - это срок, в течение которого собственник рассчитывает удерживать оцениваемый объект.
Таблица 1. Этапы традиционной техники ипотечно-инвестиционного анализа
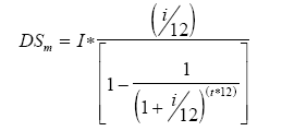
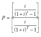
Ежемесячный платеж в погашение ипотечного кредита рассчитывается на основе формулы (6) для расчета взноса на амортизацию единицы (самоамортизируемая ипотека):
где DSm - ежемесячное обслуживание долга,
I - первоначальная сумма ипотечного кредита,
i - годовая ставка процента по кредиту,
t - срок (лет), на который предоставлен ипотечный кредит.
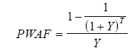
Фактор аннуитета (формула 7) отражает текущую стоимость единичного аннуитета при заданной ставке дисконта:
где Y - ставка отдачи на собственный капитал,
T - период владения собственностью.
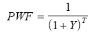
Фактор текущей стоимости реверсии (Формула 8) отражает текущую стоимость единицы за период при заданной ставке дисконта:
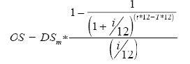
Остаток ипотечного долга при равномерных платежах определяется как настоящая стоимость платежей по обслуживанию долга в течение оставшегося срока амортизации (формула 9):
Цена перепродажи собственности рассчитывается с учетом роста или снижения стоимости собственности в год (d):
RP = P * (1 + d) T , (10)
где RP - цена перепродажи собственности;
P - первоначальная стоимость собственности;
d - рост (снижение) стоимости собственности за год;
T - период владения собственностью.
Итак, традиционная техника ипотечно-инвестиционного анализа - метод оценки в рамках доходного подхода. При проведении ипотечно-инвестиционного анализа должна быть известна либо основная сумма ипотечного кредита, либо коэффициент ипотечной задолженности. В анализе должна быть задана оценочная цена перепродажи или процентное изменение стоимости за прогнозный период.
Данная техника может применяться в случае, если инвестор принимает на себя уже существующий долг или если привлекается новый кредит. Она может быть изменена с тем, чтобы учесть более чем одну закладную и изменения в денежных поступлениях. Если известна цена, то техника может быть использована для оценки ставки отдачи на собственный капитал.
Традиционная техника ипотечно-инвестиционного анализа является гибким методом, способным учесть любые ситуации. Однако в силу принимаемых допущений, объективно полученные оценки являются приближенными.
1.2 Ипотечно-инвестиционный анализ на основе капитализации дохода
Метод капитализации переводит годовой доход в стоимость собственности путем деления годового дохода на соответствующую норму дохода или умножения его на соответствующий коэффициент дохода.
Определение стоимости собственности на базе общего коэффициента капитализации выполняется по формуле (11):
где V - стоимость собственности;
NOI - чистый операционный доход;
k - общий коэффициент капитализации.
Для определения общего коэффициента капитализации в рамках ипотечно-инвестиционного анализа используют:
-
Ипотечно-инвестиционная техника Эллвуда;
-
Метод инвестиционной группы;
-
Метод прямой капитализации.
Глава 2. Методы определения общего коэффициента капитализации в рамках ипотечно-инвестиционного анализа
2.1 Ипотечно-инвестиционная техника Эллвуда
Главная привлекательность техники Эллвуда состоит в том, что она предлагает краткую ипотечно-инвестиционную формулу при известном коэффициенте ипотечной задолженности и оцененном процентном изменении стоимости собственности за прогнозный период. Традиционная техника более применима в тех случаях, когда заданы долларовая сумма кредита и цена перепродажи. Технику Эллвуда легче использовать, когда известны коэффициенты.
Формула (12) Эллвуда для определения коэффициента капитализации выглядит следующим образом:
где k - общая ставка дохода для капитализации чистого операционного дохода в стоимость при заданном ожидаемом изменении стоимости за прогнозный период;
Y - ставка отдачи на собственный капитал;
m - коэффициент ипотечной задолженности (доля кредита в общей стоимости собственности);
C - ипотечный коэффициент Эллвуда;
d - изменение стоимости собственности за прогнозный период:
+ dep - снижение стоимости, увеличивает коэффициент капитализации;
- app - увеличение стоимости, уменьшает коэффициент капитализации;
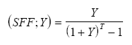
(SFF;Y) - фактор фонда возмещения по ставке отдачи на собственный капитал для прогнозного периода;
Δ - изменение дохода;
J - коэффициент стабилизации дохода. Коэффициент J всегда положителен, поэтому при положительном изменении дохода общий коэффициент капитализации будет скорректирован вниз. При постоянном доходе знаменатель общей формулы будет равен 1, тогда общий коэффициент капитализации будет равен: R = Y - m * C - d * (SFF;Y).
Ипотечный коэффициент Эллвуда рассчитывается по формуле:
C = Y + P * (SFF;Y) - f , (13)
где C - ипотечный коэффициент Эллвуда;
Y - ставка отдачи на собственный капитал;
P - часть текущего остатка кредита, которая будет выплачена за прогнозный период;
(SFF;Y) - фактор фонда возмещения по ставке отдачи на собственный капитал за прогнозный период;
f - ежегодная ипотечная постоянная, рассчитанная на основе ежегодных выплат и текущего (не первоначального) остатка долга.
Часть текущего остатка кредита, которая будет выплачена за прогнозный период - процент выплаты кредита определяется как отношение коэффициента фонда возмещения для всего срока кредита к коэффициенту фонда возмещения за расчетный период (14):
где P - процент выплаты кредита;
i - ставка процента по кредиту;
t - полный срок амортизации кредита;
T - период владения собственностью.
Фактор фонда возмещения рассчитывается по формуле(15):
где Y - ставка отдачи на собственный капитал;
T - период владения собственностью.
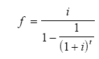
Ежегодная ипотечная постоянная может быть рассчитана на аннуитет-
ной основе, как взнос на амортизацию единицы(16):
где f - ежегодная ипотечная постоянная;
i - ставка процента по кредиту в год;
t - полный срок амортизации кредита.
Техника Эллвуда может быть использована как в случае получения нового финансирования, так и при принятии покупателем уже существующей задолженности.
Техника Эллвуда требует использования тех же допущений, что и традиционная ипотечно-инвестиционная техника, и таким же образом определяется этими допущениями. Последние включают определенные условия финансирования, цену перепродажи или оценочное изменение стоимости, а также прогнозный период.
В технике Эллвуда важнейшим является С-фактор. Он является результатом синтеза других переменных. Пользователи данного метода ипотечно-инвестиционного анализа должны уделять большое внимание выбору допущений, поскольку оценка стоимости полностью определяется последними.
2.2 Метод инвестиционной группы
Общий коэффициент капитализации может быть рассчитан методом инвестиционной группы. В общем виде метод инвестиционной группы принимает во внимание, какая часть выкупного капитала приходится на ипотечный кредит и какая - на собственный капитал. Он взвешивает доли в выкупном капитале по ставке процента и требуемой ставке конечной отдачи на собственный капитал соответственно.
В коэффициент общей капитализации, полученный методом инвестиционной группы, необходимо внести две поправки с тем, чтобы он стал эквивалентен общему коэффициенту капитализации по Эллвуду (до повышения или снижения стоимости собственности). Обе поправки относятся к амортизации кредита.
Поправка 1 состоит в признании того, что выплаты по амортизации ипотеки необходимо производить из чистого ежегодного операционного дохода. Данная поправка уменьшает текущий доход, приходящийся на инвестора в собственный капитал, поэтому она прибавляется к ставке, полученной чистым методом инвестиционной группы. Выплаты по амортизации основной суммы кредита равны превышению ипотечной постоянной над ставкой процента. Точная сумма рассчитывается путем умножения излишка (ипотечная постоянная минус ставка процента по ипотечному кредиту) на коэффициент ипотечной задолженности.
Поправка 2 необходима для того, чтобы учесть будущую дату, когда инвестор в собственный капитал получит выгоду от амортизации ипотечного долга. При перепродаже собственности инвесторы в собственный капитал получают цену перепродажи за вычетом затрат на совершение сделки и невыплаченного остатка долга. Таким образом, сокращение ипотечного долга реализуется при перепродаже как прирост собственного капитала. Поскольку эту выгоду инвестор получит позднее, то следует рассчитать ее эффективную ежегодную ставку с использованием фактора фонда возмещения, затем эта ставка вычитается из коэффициента, полученного чистым методом инвестиционной группы. Эффективная выгода инвесторов в собственный капитал зависит от коэффициента ипотечной задолженности и суммы ипотечного кредита, выплачиваемой за прогнозный период. Расчет эффективной годовой ставки дохода на собственный капитал осуществляется с использованием фактора фонда возмещения по ставке отдачи на собственный капитал.















