165747 (599149), страница 2
Текст из файла (страница 2)
Задача 5. Определите массовую долю вещества в растворе, полученном в результате сливания 120 г 16%-ного раствора с 60 г 20%-ного раствора.
Строим отрезок, соответствующий первому раствору, и находим массу растворённого в нём вещества (рис. 5). Из точки, обозначающей массу первого раствора, проводим вспомогательную ось у для построения отрезка (обозначен пунктиром), характеризующего второй раствор, и нахождения с его помощью массы растворённого в нём вещества. После проведения указанных операций на оси масс
имеются два отрезка, соответствующие массам исходных растворов. Так как начало второго отрезка совпадает с концом первого, то их общая длина соответствует массе третьего раствора. Соединив точку пересечения перпендикуляров, проходящих через точки 100% и 180 г (на графике она уже получена при построении отрезка для второго раствора), с началом основной системы координат, получаем отрезок для третьего раствора (обозначен серой линией ).
Кроме этого, на оси х отложены два отрезка, соответствующие массам растворённых в исходных растворах веществ. Переместим отрезок, равный массе растворённого во втором растворе вещества, из вспомогательной системы координат в основную, отложив его от конца отрезка, равного массе растворённого вещества в первом растворе. Полученный суммарный отрезок соответствует массе растворённого вещества в третьем растворе. Остаётся восстановить из его конечной точки перпендикуляр на отрезок, характеризующий третий раствор, а из полученной точки пересечения провести перпендикуляр на ось процентов. Найденная на ней точка даёт искомый ответ задачи. О т в е т: 17%.
Конечно, данный способ решения не может рассматриваться как замена алгебраического метода решения, но он позволяет разнообразить деятельность учащихся, сделать её более интересной. Каждый ученик может выбрать тот метод решения, который ему наиболее понятен, что повышает эффективность образовательного процесса.
2. Урок – практикум «Графический метод решения химических задач»
-
Показать различные способы решения задач с учетом возрастных особенностей учащихся, их математической подготовки.
-
Развивать мышление учащихся.
-
Научить выбирать рациональный способ решения предложенной задачи.
Математика:
-
Ознакомить учащихся с основными приемами и методами рассуждений.
-
Сформировать умение применять знания по построению графиков линейной функции к решению химических задач.
Ход урока
Учитель химии
Сегодня на уроке мы рассмотрим решения химических задач графическим методом, для чего нужно будет применить знания по построению графиков линейной функции, а этот материал вам знаком из курса математики. Поэтому урок мы проведем вместе с учителем математики.
Задача 1. Вычислить массу сульфита натрия, необходимого для реакции с серной кислотой, чтобы получить 16 г оксида серы (IV).
Проанализируем условие задачи. Указаны три вещества, участвующих в химическом процессе: сульфит натрия взаимодействует с серной кислотой, при этом получается оксид серы.
Вспомним, что при взаимодействии соли с кислотой получается новая соль Na
SO
и сернистая кислота.
Эта кислота по прочности какая? — Непрочная и легко разлагается на воду и SO
.
Учитель математики
В ходе решения задачи данным способом выполнили следующие последовательные действия:
-
Установили пропорциональную зависимость между величинами.
-
Составили пропорцию.
-
Решили полученную пропорцию.
Учитель химии.
Второй способ — это использование величины “количества вещества” и её единицы “моль”.
Массу SO
переводим в количество вещества, используя формулу
=
.
По уравнению реакции 1 моль Na
SO
образует 1 моль SO
, значит для получения
0,25 моль SO
потребуется 0,25 моль Na
SO
, тогда m(Na
SO
)=
=0,25·126=31,5 г
Учитель математики
Математической основой рассмотренных способов решения задач по уравнению реакции является пропорциональная зависимость между известными величинами и искомыми.
Зависимость одной переменной от другой называют функциональной зависимостью или функцией, значения которой можно изобразить графически. Построение графиков функций вам известно из курса алгебры.
В данной задаче зависимость переменной m(Na
SO
) от переменной m(SO
) является функцией, т.к. каждому значению m(SO
) соответствует единственное значение m(Na
SO
).
Зависимость между пропорциональными переменными выражается формулой y=kx линейной функции. Для нашего примера это m(Na
SO
)=k m(SO
) .
Коэффициент пропорциональности – отношение величины молярной массы Na
SO
к величине молярной массы SO
, т.е. k=126:64=1,97.
Для построения графика прямой пропорциональности составляем таблицу значений функции m(Na
SO
)=k m(SO
) .
Любая прямая определяется двумя своими точками. В качестве одной из таких точек целесообразно брать начало координат, а вторая точки определяется по соответствующим величинам, найденным по формулу вещества.
| m(SO | 0 | 64 |
| m(Na | 0 | 126 |
Изобразим зависимость m(Na
SO
) от m(SO
) графически.
Учитель химии
По уравнению реакции:
m(SO
)= 1 моль·64 г/моль=64 г
m(Na
SO
)=1 моль·126 г/моль=126 г
Учитель математики
Для решения задачи (см. рис.) на оси абсцисс отмечаем точку, соответствующую числу 16, проводим прямую, параллельную оси ординат, до пересечения с графиком прямой пропорциональности. Из точки пересечения проводим перпендикуляр к оси ординат и получаем точку, которая указывает величину массы сульфита натрия, равную 31,5 г.
Для нахождения более точных значений графики рисуют или в более крупном масштабе, или на миллиметровой бумаге.
Учитель химии
Подобные графические способы химических расчетов широко используются на предприятиях химической промышленности при контроле технологического процесса и анализе готового продукта в химических лабораториях. При химическом анализе сырья и готового продукта используют графики функциональной зависимости для определенной химической реакции.
При решении задач на уроках химии графики практически не применяются из-за неимения дополнительного времени, хотя в 8 классе при изучении темы “Понятие растворимости” можно строить графики растворимости по данным проведенного эксперимента; применять кривые растворимости при нахождении массы растворенного вещества или массы растворителя и при решении других задач.
Графический способ решения задач оказывается более рациональным при решении задач на смеси, смешивание растворов и др.
Задача 2. При растворении в кислоте 2,33 г смеси железа и цинка было получено 896 мл водорода (при н.у.). Вычислите массу каждого из металлов, содержащихся в смеси.
Проанализируем условие задачи. В задаче говорится о взаимодействии смеси металлов с кислотой. Значит, одновременно идут две реакции: цинка с кислотой и железа с кислотой. При этом образуются соответствующие соли, и выделяется водород, суммарный объем которого 0,896 л.
Учитель математики
Решим данное уравнение умножив все его части на произведение 56·65:
65·22,4x + 56·22,4· (2,33-x) = 0,896·56·65
1456x + 2922,752 - 1254,4x = 3261,44
201,6x = 338,688
x = 1,68 г (Fe)
m(Zn) = 2,33 – 1,68 = 0,65 г
Ответ: m(Fe) = 1,68 г
m(Zn) = 0,65 г.
Для построения функциональной прямой нужно подсчитать объем водорода (H
) , выделяемый из кислоты каждым металлом, взятым массой 2,33 г.
Учитель химии
Для расчета целесообразно использовать формулу:
;
Отсюда
;
Так как
, то
. Тогда получаем
— линейная функция, где
зависит от
.
Определяем объем водорода, вытесненный цинком:
л.
Определяем объем водорода, вытесненный железом:
л.
Учитель математики
Строим график прямой пропорциональной зависимости согласно таблице.
По оси абсцисс в начале координат точка 0 соответствует нулевому значению массы цинка и 2,33 г массы железа, а точка 2,33 соответствует нулевому значению массы железа и 2,33 г массы цинка. Соединив точки с координатами (0; 0,803) и (2,33; 0,932) получаем часть прямой, которая отражает зависимость выделившегося объема водорода от соотношения масс металлов в 2,33 г смеси.
Проведем горизонтальную прямую соответствующую значению выделенного водорода в задаче: 0,896 г и получим точку пересечения двух прямых с координатами (0,896; 0,65). Значит масса цинка 0,65 г, а масса железа 2,33 – 0,65 = 1,68 г.
Ответ: в смеси было 0,65 г Zn и 1,68 г Fe.
Учитель химии
Графический способ удобен и доступен для решения задач на вывод формул веществ.
Отношение индексов элементов в формуле можно найти графически.
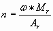
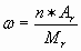
Зная, что массовая доля элемента в веществе определяется по формуле
—
линейная зависимость, можно найти значение
.
Отношение массовой доли элемента к его относительной атомной массе представляет собой прямую.
Задача 3. Наиболее распространенный в природе фтороапатит содержит 42,23% оксида фосфора, 50,03% оксида кальция и 7,74% фторида кальция. Напишите состав этого минерала в виде формул двух солей.















