150985 (598901), страница 2
Текст из файла (страница 2)
,
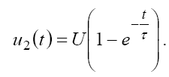
де..τ = RC – постійна часу ланцюга.
Тривалість перехідного процесу, як і при зарядці, теоретично рівна нескінченності, а практично розрядка вважається закінченою при t = (4÷5) τ.
Використовуючи різні варіанти з'єднання активного опору R і реактивних компонентів (L і C) будуються диференціюючи і інтегруючі ланцюги, які знаходять широке застосування для формування різного роду імпульсних сигналів у вимірювальній, цифровій і біомедичній апаратурі.
Диференціюючи ланцюги
Диференціюючими звуться електричні ланцюги, в якому вихідна величина пропорційна похідною від вхідної величини. Простими ланцюгами що диференціюють можуть служити ланцюги, до складу яких входить резистор з конденсатором, або резистор з котушкою індуктивності.
У ланцюгу, до складу яких входить резистор з конденсатором
Приймаючи uc(t) за вхідну величину, а струм ic(t) - за вихідну, одержимо ланцюг що диференціює.
У ланцюгу, до складу яких входить резистор з котушкою індуктивності
Приймаючи iL(t) за вхідну величину, а uL(t) - за вихідну, одержимо ланцюг що диференціює.
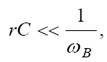
Використовувати струм як вхідну або вихідну величину практично скрутно, оскільки в першому випадку необхідно мати стабільне джерело струму, а в другому для його вимірювання необхідно включити послідовно додатковий опір, який робить вплив на перехідній процес в ланцюзі. Отже, вхідною і вихідною величинами доцільно вибирати напруги, при цьому використовуються rC-и rL-ланцюги
На практиці широкого поширення набув rC-ланцюг.
Умова, при якій rC-ланцюг виконує операцію диференціювання, витікає з рівняння
u1(t) = uс(t) + ur(t).
Якщо прийняти
ur(t) << uс(t),
то
uс(t) ≈ u1(t).
При не синусоїдальній формі напруги u1(t) умова диференціювання повинна бути виконана для всіх гармонійних складових вхідного сигналу. При цьому умовою диференціювання є
де ωВ – частота найвищої гармоніки, якої не можна нехтувати.
Наприклад, крива напруги прямокутної форми визначається за допомогою ряду
Найвищою розрахунковою частотою звичайно вважають частоту 11-й гармоніки. Тому
Ідеальне диференціювання прямокутного імпульсу показане на рис.1.12 а, и б. Амплітуда вихідного сигналу u2(t) нескінченно велика.
Графік напруги u2(t) на вході та виході реального ланцюга що диференціює показаний рис. 1.13.
Рисунок 1.13 – Графік напруги реального ланцюга що диференціює
Напруга u2(t) є імпульсами експоненціальної форми з полярністю, що чергується. За тривалість вихідного імпульсу приймають час, рівний потрійному значенню постійного часу ланцюга tu вих ≈ 3τ. Амплітуда імпульсів рівна величині вхідної напруги.
Порівняння тимчасових діаграм реального і ідеального ланцюга що диференціює показує, що при зменшенні τ тривалість імпульсів u2(t) скорочується і крива u2(t) прагне формою до похідної вхідної напруги. Диференціюючи ланцюги називаються також, ланцюгами що укорочують, оскільки тривалість вихідних імпульсів значно менша, ніж вхідних.
Інтегруючи ланцюги
Інтегруючим називається електричний ланцюг, в якому вихідна величина пропорційна інтегралу від вхідної величини (мал. 1.14). Широке застосування на практиці одержав інтегруючий rC-ланцюг.
Напруга на виході ланцюга
Якщо напруга на конденсаторі складає малу частину від напруги на опорі, то струм i(t) в ланцюзі буде пропорційний вхідній напрузі:
отже,
Отже, при виконанні умови
uc << ur або u1 ≈ ur
ланцюг rC є інтегруючим.
При не синусоїдальному сигналі умова повинна виконуватися для гармонійної складової найменшої частоти ωH, тобто частоти повторення вхідного сигналу. На практиці не обходжений виконати умову
Як приклад розглядається вихідна напруга інтегруючого rC-ланцюга при дії на вхід прямокутного імпульсу (рис. 1.15, а).
Вихідна напруга на місткості в інтервалі часу від t1 до t2 змінюється згідно із законом
Максимальна напруга на виході
За умови, що постійна часу τ ланцюги більше тривалості вхідного імпульсу, вихідна напруга на ділянці 2 1 t t − змінюється майже по лінійному закону, тобто вихідна напруга є інтегралом вхідної напруги прямокутної форми.
Слід зазначити, що чим більше τ, тим точніше виконується операція інтеграції (закон лінійності), але вихідна напруга по величині значно менше за вхідну (рис. 1.15, в).
Час t u вих вимірюється на рівні 0,1U m вих, як це показано на рис. 1.15, б.
3.4 Порядок виконання роботи
1. Запустити на комп'ютері програму Electronics Workbench.
2. Зібрати в програмі Electronics Workbench схему відповідно до рис.1
Об’єктом дослідження є ланцюг, який утворюються із джерела напруги U, конденсатора С1, котушки індуктивності L1 та резисторів R1, R2. Перемикачі (ключі) К1, К2, К3 і К4 забезпечують комутацію схеми на той чи інший досліджуваний реактивний двополюсник і дають можливість організувати спостереження осцилограм і вимірювання струмів та напруг на різних ділянках ланцюга.
3. Підключити до досліджуваного ланцюга за допомогою ключа К1 генератор прямокутних імпульсів (зміна положення ключа здійснюється натисненням клавіші «G» на клавіатурі).
4. Для дослідження RC-ланцюга за допомогою ключа К2 (натисненням клавіші 1 на клавіатурі) під’єднується конденсатор С1. Ключ К3 встановлюється (натисненням клавіші I на клавіатурі) у положення, що забезпечує режим спостереження і вимірювання параметрів вхідного сигналу, який подається на ланцюг. Ключ К4 встановлюється у нижнє (за схемою) положення для забезпечення режимів спостереження і вимірювання параметрів струму ланцюга. Зміна положення ключа К4 здійснюється натисненням клавіші «О» на клавіатурі.
Включити схему за допомогою перемикача, або, натиснувши на клавіатурі Ctrl+G. Дочекатися появи зображення на екрані віртуального осцилографа і замалювати осцилограми вхідної напруги і струму конденсатора. Вимкнути схему, натиснувши на клавіатурі Ctrl+Т.
Визначити параметри змальованих сигналів (амплітуду, тривалість, період). За осцилограмами визначити тривалість перехідного процесу у досліджуваному ланцюзі і розрахувати постійну часу досліджуваного ланцюга. Приклад осцилограми (на екрані віртуального осцилографа) приведено на рис. 1.17.
5. Перевести ключ К4 у верхнє (за схемою) положення, що дає можливість спостерігати осцилограми напруги на конденсаторі С1 досліджуваного ланцюга.
Включити схему і, дочекавшись появи зображення на екрані віртуального осцилографа, замалювати осцилограми вхідної напруги і напруги на конденсаторі С1.
Визначити параметри змальованих сигналів (амплітуду, тривалість, період). За осцилограмами визначити тривалість перехідного процесу у досліджуваному ланцюзі і розрахувати постійну часу досліджуваного ланцюга. Приклад осцилограми приведено на рис. 1.18.
6. Для дослідження RL-ланцюга встановити ключ К2 у положення, що забезпечує це дослідження, а ключ К4 - у нижнє (за схемою) положення, яке забезпечує вимір струмів схеми.
Включити схему і, дочекавшись появи зображення на екрані віртуального осцилографа, замалювати осцилограми вхідної напруги і струму котушки.
Визначити параметри змальованих сигналів (амплітуду, тривалість, період). За осцилограмами визначити тривалість перехідного процесу у досліджуваному ланцюзі і розрахувати постійну часу досліджуваного ланцюга. Приклад осцилограми приведено на рис. 1.19.
7. Перевести ключ К4 у верхнє по схемі положення, що дає можливість спостерігати осцилограми напруги на котушці індуктивності L1 досліджуваного ланцюга.
Включити схему і, дочекавшись появи зображення на екрані віртуального осцилографа, замалювати осцилограми вхідної напруги і напруги котушки досліджуваного ланцюга. За осцилограмами визначити тривалість перехідного процесу у досліджуваному ланцюзі і розрахувати постійну часу досліджуваного ланцюга. Приклад осцилограми приведено на рис. 1.20.
3.5 Зміст звіту
До звіту заносять:
- тему та мету роботи;
- принципову схему електричного кола, яке аналізується;
- епюри струмів і напруг на окремих ділянках ланцюга досліджуваних схем;
- розрахунки тривалості перехідних процесів;
- висновки по роботі.
3.6 Контрольні питання
1. Які елементи ланцюгів називають реактивними?
2. Від яких параметрів ланцюга залежить швидкість зміни струму в ланцюги і напруги на окремих її ділянках?
3. Фізичне поняття тривалості часу перехідного процесу у ланцюзі з реактивними елементами.
4. Фізичне поняття «постійної часу ланцюга» з реактивними елементами.
5. Визначення постійної часу rL - ланцюга і вплив величини опору на тривалість перехідного процесу.
6. Визначення постійної часу ланцюга графічно і аналітично.
7. Диференціюючи ланцюги і фізичний сенс процесів, що відбуваються в них.
8. Інтегруючи ланцюги і фізичний сенс процесів, що відбуваються в них.
9. 5. Визначення постійної часу rС - ланцюга і вплив величини опору на тривалість перехідного процесу.
10. Визначити умову, при якій rC-ланцюг є диференціюючим.
11. Визначити умову, при якій rC-ланцюг є інтегруючим. Вибір r і С інтегруючого ланцюга.
12. сформулюйте закони комутації.
Лабораторна робота № 2
дослідження перехідних процесів в лінійних ланцюгах другого порядку
1.1 Мета роботи:
експериментальне дослідження перехідного процесу в ланцюзі з послідовним з'єднанням RLC- елементів при включенні її в ланцюг постійного струму.
1.2 Зміст роботи:
для заданого електричного кола (рис.2.1):
- встановити задані (за варіантами) параметри елементів;
- скласти характеристичне рівняння та знайти його коріння;
- по результатам рішення визначити вид перехідного процесу в досліджуваному ланцюзі;
- провести необхідні вимірювання величин струмів та напруги (табл. 2.2);
- зарисувати епюри струмів та напруги на елементах досліджуваного ланцюга;
1.3 Теоретичні відомості:
аналізу перехідного процесу електричного кола другого порядку.
При всіх змінах в електричному ланцюзі: включенні, виключенні, короткому замиканні, коливаннях величини якого-небудь параметра і т.п. - в ній виникають перехідні процеси, які не можуть протікати миттєво, оскільки неможлива миттєва зміна енергії, яка запасена в електромагнітному полі ланцюга. Таким чином, перехідний процес обумовлений невідповідністю величини запасеної енергії в магнітному полі котушки і електричному полі конденсатора її значенню для нового стану ланцюга.
При перехідних процесах можуть виникати великі перенапруження, надструми, електромагнітні коливання, які можуть порушити роботу пристрою аж до виходу його з ладу. У інших випадках, перехідні процеси знаходять корисне практичне застосування (у різних електронних генераторах). Все це обумовлює необхідність вивчення методів аналізу нестаціонарних режимів роботи ланцюга.
Основні методи аналізу перехідних процесів в лінійних ланцюгах:
-
Класичний метод, що полягає в безпосередній інтеграції диференціальних рівнянь, які характеризують електромагнітний стан ланцюга.
-
Операторний метод, що полягає в рішенні системи рівнянь, алгебри, щодо зображень шуканих змінних з подальшим переходом від знайдених зображень до оригіналів.
-
Частотний метод, що заснований на перетворенні Фур'є і знаходить широке застосування при рішенні задач синтезу.
-
Метод розрахунку за допомогою інтеграла Дюамеля, використовуваний при складній формі кривої збуджуючої дії.
-
Метод змінних стану, що є впорядкованим способом визначення електромагнітного стану ланцюга на основі рішення системи диференційних рівнянь першого порядку, записаних в нормальній формі (формі Коші).
Оскільки короткий виклад всіх вище перелічених методів скрутно, нижче приведено короткий опис тільки класичного методу аналізу.
Класичний метод розрахунку
Класичний метод розрахунку перехідних процесів полягає в безпосередній інтеграції диференціальних рівнянь, які характеризують зміни струмів і напружень на ділянках ланцюга в перехідному процесі.
У загальному випадку при використанні класичного методу розрахунку складаються рівняння електромагнітного стану ланцюга по законах Ома і Кірхгофа для миттєвих значень напружень і струмів, зв'язаних між собою на окремих елементах ланцюга співвідношеннями:
для резистора (ідеальний активний опір)
(2.1)
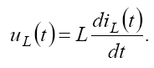
для котушки індуктивності (ідеальна індуктивність)
(2.2)
для конденсатора (ідеальна місткість)
Для послідовного ланцюга, що містить лінійні резистор R, котушку індуктивності L і конденсатор С, при її підключенні до джерела з постійною напругою u (рис. 1.1) можна записати
(2.4)
Диференціюючи цей вираз одержимо лінійне диференціальне рівняння другого порядку
. (2.5)
Порядок даного рівняння рівний числу незалежних накопичувачів енергії в ланцюзі. Під ними розуміються котушки індуктивності і конденсатори в спрощеній схемі, яка одержується з початкової шляхом об'єднання індуктивностей і відповідно ємностей елементів, з'єднання між якими є послідовними або паралельними.
У загальному випадку порядок диференціального рівняння визначається співвідношенням
(2.6)
де
и
- відповідно число котушок індуктивності і конденсаторів після вказаного спрощення початкової схеми;
- число вузлів, в яких сходяться тільки гілки, що містять котушки індуктивності (відповідно до першого закону Кірхгофа струм через будь-яку котушку індуктивності в цьому випадку визначається струмами через решту котушок);
- число контурів схеми, гілки яких містять тільки конденсатори (відповідно до другого закону Кірхгофа напруга на будь-якому з конденсаторів в цьому випадку визначається напругою на інших).
Наявність індуктивних зв'язків на порядок диференціального рівняння не впливає.
У рішенні рівняння (2.5) класичним методом примушена складова струму відсутня а форма запису вільної складової струму залежить від виду коріння характеристичного рівняння яке виходить шляхом заміни
на р2 ,
- на р і р0 = 1.
LP2+RP+1/C=0 (2.7)
коріння цього характеристичного рівняння визначається як
Р1,2=
(2.8)
Позначивши
Одержимо
Р1,2=
(2.9)
Залежно від співвідношення и 0 можливі три випадки:
а) > 0 , т.е.
(аперіодичний процес).
У площині комплексного змінного коріння характеристичного рівняння лежить на речовинній осі
Напруга на елементах UR=Ri=
(еp1t-еp2t),
UL=L
=
(P1еp1t-P2еp2t),
UC=E-UR-UL=E[1+ (P2еp1--P1еp2t)].
Графіки залежностей UR, UL, UC від часу приведені (рис.2.3).
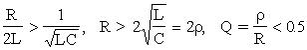
б) , R = 2, Q = 0.5 (критичний режим),
Р1,2 =-, i(t)=
.
Форма кривих залежностей струму і напруги на R, L, C від часу аналогічна аперіодичному режиму, умова Q=0.5 є граничною умовою існування в ланцюзі аперіодичних процесів;
Коріння характеристичного рівняння комплексно-зв'язане (рис.2.4).
Струм в ланцюзі є затухаючим гармонійним коливанням, амплітуда якого зменшується в часі по експоненціальному закону (рис.2.5).
Напруга на елементах ланцюга
Швидкість зменшення амплітуди коливань оцінюють величиною декременту загасання
Δ = eδTсв
де Тсв - період вільних коливань,
і логарифмічним декрементом загасання
θ = ln Δ = δ Tсв = Tсв / τсв .
при визначенні декремента загасання по експериментально одержаній осцилограмі струму його зручно знаходити як відношення амплітуд першого і другого періодів затухаючих коливань
Δ = Im1 / Im2,
як показано на рис 2.7,
1.4 Порядок виконання роботи:
-
Зібрати (на екрані монітору ПК) у програмі Electronics Workbench за допомогою стандартизованих елементів (табл. 2.1), схему заданого електричного кола (рис 2.8).
2. Включити зібрану схему за допомогою перемикача, або натиснувши на клавіатурі ПК кнопки Ctrl+G.
3. Натиснути клавішу «Пробел». на екрані віртуального осцилографа повинні з'явитися імпульс вхідної дії і сигнал реакції схеми на цю дію.
4. Вимкнути схему за допомогою того ж перемикача, або натиснувши на клавіатурі ПК Ctrl+Т.
5. за допомогою шкал віртуального осцилографа визначити амплітудні і часові характеристики перехідного процесу того, що протікає в схемі. Зарисувати одержані епюри напружень. Одержані дані занести в таблицю 1.2
Таблиця 2.1 – Початкові значення за варіантами
| №. варіанта | L, мГ | С, мкФ | R, Ом |
| 1 | 10 | 0,47 | 22 |
| 2 | 10 | 1 | 22 |
| 3 | 40 | 0,1 | 100 |
| 4 | 40 | 0,22 | 100 |
| 5 | 40 | 0,47 | 100 |
| 6 | 40 | 1 | 100 |
| 7 | 100 | 0,1 | 220 |
| 8 | 100 | 0,22 | 220 |
| 9 | 140 | 0,1 | 150 |
| 10 | 200 | 0,1 | 220 |
Таблиця 2.2 – Числові дані характеристик електричного кола
| Розрахункові дані | Експериментальні дані | ||||||||||
| Величина | Р1 | Р2 | f0 | δ | Tсв | Q | Im1 | Im2 | Tсв | δ | Q |
| Дані замірів: | |||||||||||
6. Показати на комплексній площині розташування коріння характеристичного рівняння. Зробити висновок про характер перехідного процесу.
7. розрахувати коефіцієнт загасання δ, частоту вільних коливань, а також постійну інтегрування А = Е / (ωСВL)
1.5 Зміст звіту
До звіту заносять:
- тему і мету роботи;
- принципову схему електричного кола, яке аналізується;
- теоретичний розрахунок параметрів електричного кола, яке аналізується
- результати вимірювання струмів та напруг на окремих ділянках досліджуваного кола;
- результати розрахунку параметрів перехідного процесу;
- епюри вхідної дії і перехідного процесу;
- висновки по роботі.
1.6 Контрольні питання
1. як складається характеристичне рівняння?
2. які види перехідних процесів можливі в RLC - ланцюгах залежно від виду коріння характеристичного рівняння.
3. як визначаються начальне умови для досліджуваної схемі?
4. Що характеризує декремент затухання і як він визначається?
5. як по значенню комплексного кореня визначити постійну часу обгинання?
6. як по значенню комплексного кореня визначити період вільних коливань?
Лабораторна робота №3
ДОСЛІДЖЕННЯ нелінійних ланцюгів ПОСТІЙНОГО СТРУМУ
2.1 Мета роботи: Експериментальне дослідження розподілу струмів і напружень в нелінійному електричному ланцюзі (ЕЛ) постійного струму. Визначення струмів і напружень в нелінійному ЕЛ графоаналітичними методами.
2.2 Зміст роботи:
Для заданого електричного кола (рис.3.1):
- встановити задані параметри джерела живлення електричного кола;
- провести необхідні вимірювання величин струмів та напруги;
- розрахувати параметри кола постійного струму з нелінійними елементами;
- оцінити похибки вимірювань та зробити висновки щодо режимів роботи лінії. При оцінці похибок вимірювань вважати межею вимірювань Iмах = 1А (для амперметрів), Vмах = 10 В (для вольтметрів), а за клас точності прийняти для всіх приладів δ = 0,1.
2.3 Теоретичні відомості:
ЕЛ звуться нелінійними, якщо в ланцюзі є хоч би один нелінійний елемент (НЕ). У таких елементів вольт-амперна характеристика (ВАХ) (I = f (U)) є нелінійною функцією, оскільки опір цього елементу залежить від величини і напряму струму, що протікає через нього, або від величини і знаку напруги, прикладеної до нього. Нелінійні елементи описуються нелінійними характеристиками, які не мають строгого аналітичного виразу, визначаються експериментально і задаються табличний або графіками.
Нелінійні елементи можна розділити на двох - і багатополюсні. Останні містять три (різні напівпровідникові і електронні тріоди) і більш (магнітні підсилювачі, багатообмоточні трансформатори, тетроди, пентоди і ін.) полюсів, за допомогою яких вони під'єднуються до електричного ланцюга. Характерною особливістю багатополюсних елементів є те, що в загальному випадку їх властивості визначаються сімейством характеристик, що представляють залежності вихідних характеристик від вхідних змінних і навпаки: вхідні характеристики будують для ряду фіксованих значень одного з вихідних параметрів, вихідні - для ряду фіксованих значень одного з вхідних.
За іншою ознакою класифікації нелінійні елементи можна розділити на інерційні і неінерційні. Інерційними називаються елементи, характеристики яких залежать від швидкості зміни змінних. Для таких елементів статичні характеристики, що визначають залежність між діючими значеннями змінних, відрізняються від динамічних характеристик, що встановлюють взаємозв'язок між миттєвими значеннями змінних. Неінерційними називаються елементи, характеристики яких не залежать від швидкості зміни змінних. Для таких елементів статичні і динамічні характеристики співпадають.
Залежно від виду характеристик розрізняють нелінійні елементи з симетричними і несиметричними характеристиками. Симетричною називається характеристика, не залежна від напряму визначальних її величин, тобто що має симетрію відносно почала системи координат:
. Для несиметричної характеристики ця умова не виконується, тобто
. Наявність у нелінійного елементу симетричної характеристики дозволяє у цілому ряді випадків спростити аналіз схеми, здійснюючи його в межах одного квадранта.
У сучасних засобах автоматики, радіотехніки і обчислювальної техніки широке застосування знаходять НЕ (діоди, транзистори, тиристори і т.д.), які мають різні по формі ВАХ.
Параметри нелінійних елементів
Залежно від умов роботи нелінійного елемента і характеру завдання розрізняють статичний, диференціальний і динамічний опори.
Якщо нелінійний елемент є неінерційним, то він характеризується першими двома з перерахованих параметрів.
Статичний опір рівний відношенню напруги на резистивному елементі до струму який протікає через нього.
.
Під диференціальним опором розуміється відношення нескінченно малого приросту напруги до відповідного приросту струму
.
Слід зазначити, що у некерованого нелінійного елемента завжди
, а
може приймати і негативні значення.
У разі інерційного нелінійного резистора вводиться поняття динамічного опору
визначуваного по динамічній ВАХ. Залежно від швидкості зміни змінної, наприклад струму, може мінятися не тільки величина, але і знак
Методи розрахунку простих нелінійних ЕЛ
При розрахунку нелінійних ЕЛ застосовуються графоаналітичні методи, засновані на застосуванні законів Кірхгофа і використанні заданих ВАХ елементів які використовуються ланцюзі. Перш за все, розглянемо ЕЛ, що складається з двох послідовно сполучених нелінійних резисторів НС1 и НС2 (рис. 3.2). ВАХ резисторів 1 и 2 приведені на рис. 3.3.
До ланцюга підведена напруга U, і вона дорівнює сумі падінь напруг на НС1 і НС2:
U (I) = U1 (I) + U2 (I). (2.1)
По всьому ланцюгу протікає один і той же струм I, оскільки НС1 і НС2 сполучені між собою послідовно. Для визначення струму в ЭЦ потрібно побудувати результуючу ВАХ ланцюга. Для побудови цієї характеристики слід підсумовувати абсциси кривих 1 і 2 (аг = ав + аб), відповідні одним і тим же значенням струму (рис. 2.3). Далі, задаючись довільним значенням струму можна побудувати ВАХ всього ланцюга (рис. 3.3, крива 3). Потім, користуючись цією ВАХ, можна знайти струм всього ланцюга і напруги на резисторах НС1 и НС2. Для цього відкладемо на осі абсцис відрізок ОР і проведемо з точки р пряму (паралельну осі ординат або перпендикулярну осі абсцис) до перетину з кривою 3. Так одержимо відрізок nр = ко= I. (сила струму всього ланцюга). Для знайденого струму по ВАХ 1 і ВАХ 2 знаходимо напруги U1 і U2:
U1 = кd; U2 = кс.
При паралельному з'єднанні двох НЕ (рис. 2.4) струм в нерозгалуженій частині ЭЛ рівний сумі струмів окремих гілок.
Тому при побудові результуючої ВАХ всього ланцюга слід підсумовувати ординати графіків 1 і 2 (рис. 3.5), відповідні одним і тим же значенням напруги, оскільки до цього НЕ прикладена одна і та ж напруга, яка дорівнює напрузі зовнішньої мережі, тобто джерела живлення.
Наприклад, для довільного значення напруги U = oа знаходимо ординату аг крапки для результуючої кривої 3:
аг = ав + аб.
Далі, задаючись довільним значенням напруги, можна побудувати ВАХ всього ланцюга, рис. 2.5, (кривая 3). Потім, користуючись ВАХ, можна при будь-якому значенні прикладеної напруги U (відрізок ор) знайти величину загального струму I (рn = ок). Це напруга U також визначає значення струмів I1 і I2 у окремих гілках.
У разі змішаного з'єднання НЕ (рис. 3.5).
У разі змішаного з'єднання НЭ (рис. 3.6), розрахунок ланцюга проводять в наступному порядку:
-
Паралельно з’єднані НЕ (НС1 і НС2) замінюють одним еквівалентним нелінійним опором НС з ВАХ 4 (рис. 3.7), яка одержана шляхом підсумовування кривих 1 і 2 по напрузі, тобто так само, як і у разі паралельних з'єднань двох НЕ.
-
Для отримання послідовного ланцюга будують результуючу ВАХ 5 шляхом підсумовування кривих 3 і 4 по струму, тобто так само, як і при послідовному з'єднанні двох нелінійних НЕ.
-
По результуючій ВАХ 5 визначають для заданого значення загальної напруги величину струму I3 у нерозгалуженій частині ланцюга.
-
Струм I3 визначає напругу U3 і Uаб, а напруга Uаб, дозволяє по графіках 1 і 2 визначити струми I1 і I2 у гілках НС1 і НС2.
2.4 Порядок виконання роботи
1. Зібрати у програмі Electronics Workbench схему для дослідження режимів роботи ланцюга, що містить нелінійні елементи (відповідно до рис. 2.1). Нелінійні елементи що входять в досліджуваний ланцюг і величину резистора R1 вибираються згідно варіантам таблиці 2.1. номер варіанту для конкретного студента визначає викладач який проводить лабораторні роботи.
Таблиця 3.1 – параметри досліджуваного ланцюга
| № варианта | Номера нелинейных элементов | Номинал резистора R1, Ом | |
| NE1 | NE2 | ||
| 1 | NE1 | NE4 | 150 |
| 2 | NE2 | NE5 | 5 |
| 3 | NE3 | NE5 | 100 |
| 4 | NE9 | NE7 | 100 |
| 5 | NE10 | NE8 | 100 |
| 6 | NE1 | NE8 | 150 |
| 7 | NE2 | NE7 | 150 |
| 8 | NE3 | NE6 | 150 |
| 9 | NE9 | NE5 | 150 |
| 10 | NE10 | NE4 | 15 |
2. у окремому вікні зібрати схему для дослідження ВАХ нелінійних елементів тих, що входять в досліджуваний ланцюг (рис 3.8). Встановити напругу джерела Е1 рівним 0,1В.
3. Включити схему, за допомогою перемикача, або натиснувши на клавіатурі Ctrl+G. Дочекатися стабільних показань вимірювальних приладів і записати показання вимірювальних приладів у таблицю 3.2. Вимкнути схему, натиснувши на клавіатурі Ctrl+Т.
таблиця 3.2 – результати вимірів окремих точок ВАХ НЕ
| Напряжение источника Е1, В | Нелинейный элемент NE1 | Нелинейный элемент NE2 | |||
| Показания вольтметра V1, В | Показания амперметра A1, А | Показания вольтметра V1, В | Показания амперметра A1, А | ||
| 0,1 | |||||
| 1 | |||||
| 2 | |||||
| 3 | |||||
| 4 | |||||
| 5 | |||||
| 6 | |||||
| 7 | |||||
| 8 | |||||
| 9 | |||||
| 10 | |||||
4. змінюючи напругу джерела Е1 ступенями через 1В, до величини 10В, зняти крапки ВАХ використовуваних НЕ. Результати вимірювань занести в таблицю 3.2.
5. Побудувати ВАХ використовуваних НЕ на одному графіку. На тому ж графіку побудувати ВАХ резистора R1.
6. Розрахувати (теоретично) і побудувати загальну ВАХ досліджуваного ланцюга на тому ж графіку де будувалися ВАХ окремих елементів. Дані розрахунків занести в таблицю 2.3.
7. повернутися у вікно програми Electronics Workbench де построєна досліджувана схема. Встановити напругу джерела Е1 рівним 0,1В.
8. Включити схему за допомогою перемикача, або натиснувши на клавіатурі Ctrl+G. Дочекатися стабільних показань вимірювальних приладів і записати показання вимірювальних приладів у таблицю 3.3. Вимкнути схему, натиснувши на клавіатурі Ctrl+Ті.
9. Послідовно збільшувати величину напруги джерела Е1 до 10В, шагом 1В, фіксуючи при цьому показання вимірювальних приладів і заносячи їх в таблицю 3.3.
10. за наслідками вимірювань побудувати ВАХ досліджуваного ланцюга і порівняти її з розрахованою.
Таблиця 3.3 – Результати досліджень робочого режиму
| Напруга джерела Е1, В | Розрахункові дані | Експериментальні дані | ||||||
| Свідчення вольтметра V1, В | Свідчення амперметра A1, А | Свідчення амперметра A2, А | Свідчення амперметра A3, А | Свідчення вольтметра V1, В | Свідчення амперметра A1, А | Свідчення амперметра A2, А | Свідчення амперметра A2, А | |
| 0,1 | | | | | | | | |
| 1 | ||||||||
| 2 | ||||||||
| 3 | ||||||||
| 4 | ||||||||
| 5 | ||||||||
| 6 | ||||||||
| 7 | ||||||||
| 8 | ||||||||
| 9 | ||||||||
| 10 | ||||||||
2.5 Зміст звіту
До звіту заносять:
- тему та мету роботи;
- принципову схему електричного кола, яке аналізується;
- результати вимірювання струмів та напруг на окремих ділянках досліджуваного кола;
- результати розрахунку (з урахуваням похибок) ВАХ нелінійних елементів і ланцюга в цілому;
- графіки ВАХ нелінійних елементів і ланцюга в цілому:
- висновки по роботі.
2.6 Контрольні питання
-
Які елементи і ланцюги називаються нелінійними?
-
чи відноситься резистор до нелінійних елементів?
-
Нарисуйте вигляд ВАХ напівпровідникового діода.
-
Нарисуйте вигляд ВАХ лампи розжарювання.
-
Намалюйте вигляд ВАХ напівпровідникового стабілітрона.
-
Які етапи необхідно виконати, щоб графічно розрахувати нелінійний ланцюг із змішаним з'єднанням НЕ?
Лабораторна робота №4
ДОСЛІДЖЕННЯ ЛАНЦЮГІВ, ЩО МІСТЯТЬ несиметричні нелінійні ЕЛЕМЕНТИ
3.1. Мета роботи:
Дослідження ланцюгів, що містять несиметричні нелінійні елементи, у колах з синусоїдальними сигналами. Експериментальне підтвердження здатності нелінійних елементів випрямляти змінний електричний струм. Проведення порівняльного аналізу різних схем випрямлячів.
3.2 Зміст роботи:
- провести дослідження характеристик різних схем випрямлячів, відповідно до порядку виконання роботи;
- побудувати необхідні осцилограми струмів і напруг, провести розрахунок вказаних величин;
- зробити висновки за результатами роботи.
3.3 Теоретичні відомості
Аналіз нелінійних ланцюгів при періодичних діях проводиться з урахуванням динамічних параметрів нелінійних елементів. У випадку якщо при цьому ставиться завдання визначити форму або гармонійний склад реакції ланцюга, то використовуються характеристики елементів для миттєвих значень.
При порівняно невисоких частотах змінних струмів і напруг динамічні характеристики нелінійних елементів практично співпадають з їх статичними характеристиками. Для випрямляння змінного електричного струму використовуються нелінійні без інерційні елементи з різко вираженою несиметричною вольт-амперною характеристикою (ВАХ) щодо початку координат. Такі елементи, які проводять струм тільки в одному напрямі, називаються електричними вентилями. До вентилів відносяться напівпровідникові і вакуумні діоди, тиристори, газонаповнені прилади і т.д. Вентилі діляться на керовані (тиристори, тиратрони) і некеровані (діоди, діністори).
На рис 4.1 представлена ВАХ діода i(U) при дії на нього гармонійної напруги U(ωt)
На рис 4.1 видна характерна реакція нелінійного елементу (діода) на вхідну дію. Струм, що протікає в ланцюзі нелінійного елементу (діода) виявляється несинусоїдальним, причому його спектр містить постійну складову, основну (з частотою ωt), а також вищі гармоніки.
Явно видно (рис 4.1) що амплітуда позитивної півхвилі струму в ланцюзі діода значно більше, ніж негативна. Різниця цих амплітуд тим більше, чим більше амплітуда сигналу джерела напруги живлячого ланцюг діода. Часто відмінність величин амплітуд струмів позитивної і негативної півхвиль тих, що протікають через діод настільки велика, що струмом негативної півхвилі можна нехтувати. В цьому випадку ВАХ реального діода можна замінити характеристикою реального вентиля (показана пунктиром на рис 4.1). Опір ідеального вентиля для позитивній півхвилі напруги, що живить ланцюг дорівнює нулю, а для негативної півхвилі напруги - нескінченно велик.
Пристрої з електричними вентилями, призначені для перетворення змінної напруги в постійне, називаються випрямлячами. Про якість судять по величині коефіцієнта пульсацій КП. Коефіцієнт пульсацій є відношення величини діючого значення змінної складової
на виході випрямляча до його постійної складової.
(4.1)
Чим менша величина коефіцієнта пульсацій, тим краще якість випрямляння.
Всі випрямляючі схеми можна розділити за основними ознаками:
-
по числу фаз первинної обмотки трансформатора - на однофазні і 3х - фазні;
-
по числу імпульсів струму у вторинній обмотці трансформатора за період - на одне і двонапівперіодні;
-
некеровані і керовані.
Для спрощення аналізу випрямляча заздалегідь розглядатимемо його роботу на чисто активне навантаження, вважаючи трансформатор і вентилі ідеальними. Це означає, що втрати в трансформаторі відсутні, а вентилі мають ідеальну вольт-амперну характеристику. Для правильного вибору трансформатора і вентилів необхідне знання параметрів, якими характеризується робота кожного з елементів випрямної схеми. Заданими є: середні значення випрямленої (вихідної) напруги U0 і струму I0 та необхідний коефіцієнт пульсацій Кп.
Лабораторна робота № 5
Исследование полупроводниковых диодов
5.1 Мета роботи:
вивчити основні властивості, характеристики і параметри напівпровідникових діодів, експериментально досліджувати їх вольт-амперні характеристики (ВАХ).
5.2 Зміст роботи
Для заданого електричного кола (рис. 5.1):
- встановити задані параметри джерела живлення електричного кола;
- провести необхідні вимірювання величин струмів та напруги;
- оцінити похибки вимірювань та зробити висновки щодо режимів роботи ланцюга. При оцінці похибок вимірювань вважати межею вимірювань Iмах = 15мА (для амперметрів), Vмах = 20 В (для вольтметрів); а за клас точності прийняти для всіх приладів δ = 0,1.
5.3 Теоретичні відомості
Основним елементом більшості напівпровідникових приладів є електронно-дірковий перехід (р-n перехід), що є перехідним шаром між двома областями напівпровідника, одна з яких має електронну електропровідність, а інша - діркову.
Розглянемо докладніше процес утворення p-n переходу. Рівноважним називають такий стан переходу, коли відсутня зовнішня напруга. Нагадаємо, що в р- області є два види основних носіїв заряду: нерухомі негативно заряджені іони атомів акцепторної домішки і вільні позитивно заряджені дірки; а в n-області є також два види основних носіїв заряду: нерухомі позитивно заряджені іони атомів акцепторної домішки і вільні негативно заряджені електрони.
До зіткнення p і n областей електрони дірки і іони домішок розподілені рівномірно. При контакті на межі p і n областей виникає градієнт концентрації вільних носіїв заряду і дифузія. Під дією дифузії електрони з n-області переходить в p-область і рекомбінують там з дірками. Дірки з р-області переходять в n-область і рекомбінують там з електронами. В результаті такого руху вільних носіїв заряду в прикордонній області їх концентрація убуває майже до нуля і в теж час в р-області утворюється негативний просторовий заряд іонів акцепторної домішки, а в n-області позитивний просторовий заряд іонів донорної домішки. Між цими зарядами виникає контактна різниця потенціалів φк і електричне поле Ек , яке перешкоджає дифузії вільних носіїв заряду з глибини р- і n-областей через р-n-перехід. Таким чином область, об'єднана вільними носіями заряду з своїм електричним полем і називається р-n-переходом.
P-n-перехід характеризується двома основними параметрами:
1. Висота потенційного бар'єру. Вона рівна контактній різниці потенціалів φк . Це різниця потенціалів в переході, обумовлена градієнтом концентрації носіїв заряду. Це енергія, якою повинен володіти вільний заряд, щоб подолати потенційний бар'єр:
де k – постійна Больцмана; е – заряд електрона; Т – температура; Nа і NД – концентрації акцепторів і донорів в дірковій і електронній областях відповідно; рр і рn – концентрації дірок в р- і n-областях відповідно; ni – власна концентрація носіїв заряду в нелегованому напівпровіднику, т=кТ/е - температурний потенціал. При температурі Т=270С т=0.025В, для германієвого переходу к=0,4В, для кремнієвого переходу к=0,8В.
2. Ширина p-n-переходу (рис.5.2) – це прикордонна область, збіднена носіями заряду, яка розташовується в p і n областях: lp-n = lp + ln:
, звідси
,
де ε – відносна діелектрична проникність матеріалу напівпровідника; ε0 — діелектрична постійна вільного простору.
Товщина електронно-діркових переходів має порядок (0,1-10)мкм. Якщо
, то
і p-n-перехід називається симетричним, якщо
, то
і p-n-перехід називається несиметричним, причому він в основному розташовується у області напівпровідника з меншою концентрацією домішки.
У рівноважному стані (без зовнішньої напруги) через р-n перехід рухаються два стрічні потоки зарядів (протікають два струми). Це дрейфовий струм не основних носіїв заряду і дифузійний струм, який пов'язаний з основними носіями заряду. Оскільки зовнішня напруга відсутня, і струму в зовнішньому ланцюзі немає, то дрейфовий струм, і дифузійний струм взаємно врівноважуються і результуючий струм рівний нулю
Iдр + Iдиф = 0.
Це співвідношення називають умову динамічної рівноваги процесів дифузії і дрейфу в ізольованому (рівноважному) p-n-переході.
Поверхня, по якій контактують p і n області називається металургійною межею. Реально вона має кінцеву товщину - δм . Якщо δм<< lp-n , то p-n-перехід називають різким. Якщо δм>>lp-n , тоб p-n-перехід називають плавним.
Р-n перехід при зовнішній напрузі, прикладеній до нього
Зовнішня напруга порушує динамічну рівновагу струмів в p-n-переході. P-n-перехід переходить в нерівноважний стан. Залежно від полярності напруги прикладеного до областей в p-n-переходу можливо два режими роботи.
-
Прямий зсув p-n переходу. Р-n перехід вважається зміщеним в прямому напрямі, якщо позитивний полюс джерела живлення приєднаний до р- області, а негативний до n-області (рис.5.3)
При прямому зсуві, напруги к і U направлені назустріч один одному, результуюча напруга на p-n-переході убуває до величини к - U . Це призводить до того, що напруженість електричного поля убуває і поновлюється процес дифузії основних носіїв заряду. Крім того, пряме зсуві зменшує ширину p-n переходу, оскільки lp-n≈(к – U)1/2. Струм дифузії, струм основних носіїв заряду, стає багато більше дрейфового. Через p-n-перехід протікає прямий струм
Iр-n=Iпр=Iдиф+Iдр Iдиф .
При протіканні прямого струму основні носії заряду р- області переходять в n-область, де стають не основними. Дифузійний процес введення основних носіїв заряду в область, де вони стають не основними, називається інжекцією, а прямий струм - дифузійним струмом або струмом інжекції. Для компенсації не основних носіїв заряду тих, що накопичуються в p і n-областях в зовнішньому ланцюзі виникає електронний струм від джерела напруги, тобто принцип електронейтральності зберігається.
При збільшенні U струм різко зростає,
- температурний потенціал, і може досягати великих величин оскільки пов'язаний з основними носіями концентрація яких велика.
2) Зворотний зсув, виникає, коли до р-області прикладений мінус, а до n-області плюс, зовнішнього джерела напруги (рис.1.3).
Така зовнішня напруга U включена послідовно з к . Вона збільшує висоту потенційного бар'єру до величини к + U ; напруженість електричного поля зростає; ширина p-n переходу зростає, оскільки lp-n≈(к + U)1/2 ; процес дифузії повністю припиняється і через p-n перехід протікає дрейфовий струм, струм неосновних носіїв заряду. Такий струм p-n-переходу називають зворотним, а оскільки він пов'язаний з неосновними носіями заряду, які виникають за рахунок термогенерації то його називають тепловим струмом і позначають - I0 , т.е.
Iр-n=Iобр=Iдиф+Iдр Iдр= I0.
Цей струм малий по величині оскільки пов'язаний з неосновними носіями заряду, концентрація яких мала. Таким чином, p-n переходу володіє односторонньою провідністю.
При зворотному зсуві концентрація неосновних носіїв заряду на межі переходу дещо знижується в порівнянні з рівноважною. Це приводить до дифузії неосновних носіїв заряду з глибини p і n-областей до межі p-n переходу. Досягнувши її неосновні носії потрапляють в сильне електричне поле і переносяться через p-n перехід, де стають основними носіями заряду. Дифузія неосновних носіїв заряду до межі p-n переходу і дрейф через нього в область, де вони стають основними носіями заряду, називається екстракцією. Екстракція і створює зворотний струм p-n переходу - це струм неосновних носіїв заряду.
Величина зворотного струму сильно залежить: від температури навколишнього середовища, матеріалу напівпровідника і площі p-n переходу.
Температурна залежність зворотного струму визначається виразом
,
де
- номінальна температура,
- фактична температура,
- температура подвоєння теплового струму
.
Тепловий струм кремнієвого переходу багато менше теплового струму переходу на основі германію
(на 3-4 порядка). Це пов'язано з к матеріалу.
Із збільшенням площі переходу зростає його об'єм, а отже зростає число неосновних носіїв тих, що з'являються в результаті термогенерациі і теплового струму.
Отже, головна властивість p-n-переходу - це його одностороння провідність. Його ВАХ приведена рис.5.5.
Напівпровідникові діоди
Напівпровідниковий прилад з одним р-n-переходом, що має два омічні висновки, називають напівпровідниковим діодом (рис.5.5). Одна з областей р-n-структури (р+),
Статична вольт-амперна характеристика (ВАХ) напівпровідникового діода зображена рис.5.5. Тут же пунктиром показана теоретична ВАХ електронно-діркового переходу, визначувана співвідношенням
I=I0(еU/(mт)-1),
де Iо — зворотний струм насичення (струм екстракції, обумовлений неосновними носіями заряду; значення його дуже мало); U - напруга на p-n-переході; т = kT/e — температурний потенціал (k — постійна Больцмана, Т - температура, е - заряд електрона); m — поправочний коефіцієнт: m = 1 для германієвих р-n переходів і m = 2 для кремнієвих p-n-переходів при малому струмі).
Кремнієві діоди мають істотно менше значення зворотного струму в порівнянні з германієвими, унаслідок нижчої концентрації неосновних носіїв заряду. Зворотна гілка ВАХ у кремнієвих діодів при даному масштабі практично зливається з віссю абсцис. Пряма гілка ВАХ у кремнієвих діодів розташована значно правішим, ніж у германієвих.
Якщо через германієвий діод протікає постійний струм, при зміні температури падіння напруги на діоді змінюється приблизно на 2,5 мВ/°С:
dU/dT= -2,5 В/°С.
Для діодів в інтегральному виконанні dU/dT складає від —1,5 мВ/°С в нормальному режимі до —2 мВ/°С у режимі мікрострумів.
Максимально допустиме збільшення зворотного струму діода визначає максимально допустиму температуру діода, яка складає 80 – 100 °С для германієвих діодів і 150 – 200 °С для кремнієвих.
Мінімально допустима температура діода лежить в межах -(60 – 70)°С.
Диференціальним опором діода називають відношення приросту напруги на діоді до викликаного їм приросту струму:
rДИФ = dU/dI
Звідси витікає, що для p-n-переходу rДИФ т/I.
Побой діода. При зворотній напрузі діода більш певного критичного значення спостерігається різке зростання зворотного струму (рис. 5.6). Це явище називають пробоєм діода.
Пробій діода виникає або в результаті дії сильного електричного поля в р-n переході (рис.5.6, крива 1 і 2). Такий пробій називається електричним. Він може бути тунельним - крива 2 або лавинним - крива 1. Або пробій виникає в результаті розігрівання p-n-переходу при протіканні струму великого значення і при недостатньому теплоотводі, що не забезпечує стійкість теплового режиму переходу (рис. 1.5, крива 3). Такий пробій називається тепловим пробоєм. Електричний пробій обернемо, тобто він не приводить до пошкодження діода, і при зниженні зворотної напруги властивості діода зберігаються. Тепловий пробій є необоротним. Нормальна робота діода як елемент односторонньою провідністю можлива лише в режимах, коли зворотна напруга не перевищує пробивного значення Uо6р mах .
Значення допустимої зворотної напруги встановлюється з урахуванням виключення можливості електричного пробою і складає (0,5 - 0,8) Uпроб .
Місткості діода. Прийнято говорити про загальну місткість діода Сд , зміряної між виведеннями діода при заданій напрузі зсуву і частоті. Загальна місткість діода рівна сумі бар'єрної місткості С6 , дифузійної місткості Сдиф і місткості корпусу приладу Ск (рис.5.7).
Бар'єрна (зарядна) місткість обумовлена об'ємним зарядом іонів домішок, що некомпенсується, зосередженими по обидві сторони від межі р-n-переходу.
Модельним аналогом бар'єрної місткості може служити місткість плоского конденсатора, обкладаннями якого є р- і n-області, а діелектриком служить р-n перехід, що практично не має рухомих зарядів. Значення бар'єрної місткості коливається від десятків до сотень пікофарад; зміна цієї місткості при зміні напруги може досягати десятиразової величини.
Дифузійна місткість. Зміну величини об'ємного заряду не рівноважних електронів і дірок, викликану зміною прямого струму, можна розглядати як наслідок наявності так званої дифузійної місткості, яка включена паралельно бар'єрній місткості.
Значення дифузійної місткості можуть мати порядок від сотень до тисяч пікофарад. Тому при прямій напрузі місткість р-n переходу визначається переважно дифузійною місткістю, а при зворотній напрузі - бар'єрною місткістю.
Схема заміщення напівпровідникового діода зображена рис. 5.6. Тут Сд – загальна місткість діода, залежна від режиму; Rп – опір переходу, значення якого визначають за допомогою статичної ВАХ діода (Rп = U/I); rб – розподілений електричний опір бази діода і відводів.
Іноді схему заміщення доповнюють місткістю між виведеннями діода СВ , місткостями Свх і Свых (показані пунктиром) і індуктивністю виведень LВ.
ТИПИ НАПІВПРОВІДНИКОВИХ ДІОДІВ
Випрямні діоди використовують для випрямляння змінних струмів частотою 50 Гц - 100 кГц. У них використовується головна властивість p-n-переходу - одностороння провідність. Головна особливість випрямних діодів великі площі p-n-переходу, оскільки вони розраховані на випрямляння великих по величині струмів. Основні параметри випрямних діодів даються стосовно їх роботи в однонапівперіодному випрямлячі з активним навантаженням (без конденсатора, що згладжує пульсації).
Середня пряма напруга Uпр..ср — середня за період пряма напруга на діоді при протіканні через нього максимально допустимого випрямленого струму.
Середній зворотний струм Iобр. ср — середній за період зворотний струм, вимірюваний при максимальній зворотній напрузі.
Максимально допустима зворотна напруга Uобр. mах (Uобр. и mах) – найбільша постійна (або імпульсне) зворотна напруга, при якій діод може тривало і надійно працювати.
Максимально допустимий випрямлений струм Iвп. ср mах — середній за період струм через діод (постійна складова), при якому забезпечується його надійна тривала робота.
Перевищення максимально допустимих величин веде до різкого скорочення терміну служби або пробою діода.
Максимальна частота fтах — найбільша частота напруги, що підводиться, при якій випрямляч на даному діоді працює достатньо ефективно, а нагрів діода не перевищує допустимої величини.
У випрямному пристрої енергія змінного струму перетвориться в енергію постійного струму за рахунок односторонньої провідності діодів.
Випрямлена напруга звичайно використовується як напруга живлення електронних схем.
Високочастотні (універсальні) і імпульсні діоди застосовують для випрямляння струмів, модуляції і детектування сигналів з частотами до декількох сотень мегагерц. Імпульсні діоди використовують як ключові елементи в пристроях з мікросекундною і наносекундною тривалістю імпульсів. Їх основні параметри:
Максимально допустимі зворотні напруги Uобр. mах (Uобр. и mах) – постійні (імпульсні) зворотні напруги, перевищення яких приводить до його негайного пошкодження.
Постійна пряма напруга Uпр – падіння напруги на діоді при протіканні через нього постійного прямого струму Iпр .
Постійний зворотний струм Iобр — струм через діод при постійній зворотній напрузі (Uобр мах). Чим менше за Iобр, тим більш якісний діод.
Місткість діода Сд — місткість між висновками при заданій напрузі. При збільшенні зворотної напруги (по модулю) місткість Сд зменшується.
При коротких імпульсах необхідно враховувати інерційність процесів включення і виключення діода. Воно характеризується:
1) Час встановлення прямої напруги на діоді (tуст ) – час, за який напруга на діоді при включенні прямого струму досягає свого стаціонарного значення із заданою точністю.
Цей час зв'язаний із швидкістю дифузії і полягає в зменшенні опору області бази за рахунок накопичення в ній неосновних носіїв заряду інжектіруємих емітером. Спочатку воно високо, оскільки мала концентрація носіїв заряду. Після подачі прямої напруги концентрація неосновних носіїв заряду в базі збільшується, це знижує прямий опір діода.
2) Час відновлення зворотного опору діода (tвосст.), визначається, як час, протягом якого зворотний струм діода після перемикання полярності прикладеної напруги з прямого на зворотне досягає свого стаціонарного значення із заданою точністю (рис.5.8) , звичайно 10% від максимального зворотного струму.
Цей час пов'язаний з розсмоктуванням з бази неосновних носіїв заряду накопичених при протіканні прямого струму. Воно складається з двох складових tвосст.= t1.+ t2., де t1. – час розсмоктування, за яке концентрація неосновних носіїв заряду на межі р-п переходу звертається в нуль; t2. – час розряду дифузійної місткості, зв'язаний розсмоктуванням неосновних зарядів в об'ме бази діода.
В цілому час відновлення цей час виключення діода.
Там, де потрібен малий час перемикання, використовують діоди Шотки. Вони мають перехід метал - напівпровідник, який володіє випрямним ефектом. Накопичення заряду в переході цього типа виражене слабо. Тому час перемикання може бути зменшений до значення близько 100 пс. Іншою особливістю цих діодів є мала (в порівнянні із звичайними кремнієвими діодами) пряма напруга, що становить близько 0,3 В.
Стабілітрони призначені для стабілізації напруги на навантаженні при зміні живлячої напруги або опору навантаження, для фіксації рівня напруги і т.д.
Для стабілітронів робочим є ділянка електричного пробою ВАХ у області зворотної напруги (рис. 5.9).
На цій ділянці напруга на діоді залишається практично постійною при зміні струму через діод.
Основні параметри стабілітрона:
номінальна напруга стабілізації Uст ном — напруга на стабілітроні в робочому режимі (при заданому струмі стабілізації);
мінімальний струм стабілізації Iст.min — найменше значення струму стабілізації, при якому режим пробою стійкий;
максимально допустимий струм стабілізації Iст.max — найбільший струм стабілізації, при якому нагрів стабілітронів не виходить за допустимі межі.
Диференціальний опір гст — відношення приросту напруги стабілізації що викликає приріст струму стабілізації: гст= Uст /Iст.
До параметрів стабілітронів також відносять максимально допустимий прямий струм Imax, максимально допустимий імпульсний струм Iпр.и max , максимально допустиму потужність Р max .
Варікап - напівпровідниковий діод, призначений для застосування як елемент з електрично-керованою місткістю. При збільшенні зворотної напруги місткість варікапа зменшується згідно із законом
де С(u) — місткість діода; С0 — місткість діода при нульовій зворотній напрузі; φк — контактна різниця потенціалів; — коефіцієнт, залежний типу варікапа (= 1/2÷1/З); U – зворотна напруга на варікапі. Варікап, призначений для множення частоти сигналу, називають варактором.
До основних параметрів варікапу відносять:
1. загальна місткість варікапа Св - місткість, зміряна при певній зворотній напрузі (вимірюється при U = 5В і складає десятки - сотні пФ);
2. коефіцієнт перекриття по місткості Кп = Св max/Св min — відношення місткостей варікапа при двох крайніх значеннях зворотної напруги (Кп=5-8 раз);
3. добротність варікапа Q=Хс/rп де Xc – реактивний опір варікапа; rп – опір активних втрат;
4. Iобр — постійний струм, що протікає через варікап у зворотному напрямі при заданій зворотній напрузі.
Тунельний діод має ВАХ (рис. 5.10.), яка містить ділянку з негативним диференціальним опором. Це дозволяє використовувати такий діод в підсилювачах і генераторах електричних коливань, а також в імпульсних пристроях.
Якість діода визначають протяжність і крутизна «падаючої» ділянки ВАХ. Частотні властивості діода, що працює при малих рівнях сигналу на ділянці з негативним диференціальним опором, визначаються параметрами елементів еквівалентної схеми (рис. 5.10). Активна складова повного опору має негативний знак аж до частоти fR=((rдиф/Rп)-1)1/2/(2rдифC) . Посилення і генерування коливань можливо на частотах, що не перевищують fR .
Основні параметри тунельного діода наступні:
-
піковий струм Iп — прямий струм в точці максимуму ВАХ;
-
струм западини IВ — прямий струм в точці мінімуму його характеристики;
-
напруга піку Uп — пряма напруга, відповідна струму піку;
-
напруга западини UВ — пряма напруга, відповідна струму западини;
-
напруга розчину Up — пряма напруга, більша напруги западини, при якій струм рівний піковому.
5.4 Порядок виконання роботи
1. Підготувати для роботи стенд для зняття вольт-амперних характеристик (ВАХ) напівпровідникових приладів.
2. Встановити перемикач вибору досліджуваного діода в положення «Внешний».
3. Подключить одержаний у викладача напівпровідниковий діод до клем «Внешний» стенда.
4. встановити ручки регуляторів напруги стенду в крайнє ліве положення. Перемикач полярності включення діода в положення «Прямое». Включити стенд і змінюючи напругу на діоді зняти дані прямої гілки ВАХ досліджуваного діода. Результати вимірювання занести таблицю 5.1.
5. побудувати ВАХ прямої гілки діода. Розрахувати параметри діода (омічний опір, диференціальний опір).
таблиця 5.1 – Экспериментальные данные роботы № 5
| Зміряні дані | Розрахункові дані | Примітки | ||
| Величина прямої напруги Uпр, В | Величина прямого струму Iпр, мA | Омічний опір діода R0, Ом | Диференціальний опір діода Rдифф, Ом | |
| 0,1 | ||||
| 0,2 | ||||
| 0,3 | ||||
| 0,4 | ||||
| 0,5 | ||||
| 0,6 | ||||
| 0,7 | ||||
| 0,8 | ||||
| 0,9 | ||||
| 1,0 | ||||
6. встановити ручки регуляторів напруг стенду в крайнє ліве положення. Перемикач полярності включення діода в положення «Обратное». Включити стенд і змінюючи напругу на діоді зняти дані зворотної гілки ВАХ досліджуваного діода. Результати вимірювання занести таблицю 5.2.
таблиця 5.2 – Экспериментальные данные роботы № 4
| Зміряні дані | Розрахункові дані | Примітки | ||
| Величина зворотної напруги Uпр, В | Величина зворотного струму Iпр, мA | Омічний опір діода R0, Ом | Диференціальний опір діода Rдифф, Ом | |
| 1 | ||||
| 2 | ||||
| 3 | ||||
| 4 | ||||
| 5 | ||||
| 6 | ||||
| 7 | ||||
7. побудувати ВАХ прямої гілки діода. Розрахувати параметри діода (омічний опір, диференціальний опір).
8. встановити ручки регуляторів напруги стенду в крайнє ліве положення. Вимкнути живлення стенду.
5.5 Зміст звіту
До звіту заносять:
- тему і мету роботи;
- результати вимірювання струму і напруг на окремих ділянках ланцюгів досліджуваної схеми;
- розрахунки характеристик и параметрів діода;
- висновки.
5.6 Контрольні питання
-
Як виникає р-n перехід при ідеальному контакті напівпровідників з різним типом електропровідності.
-
Намалювати схему і пояснити спосіб зняття ВАХ діодів за допомогою амперметра і вольтметра.
-
Намалювати схему і пояснити спосіб зняття ВАХ діодів за допомогою осцилографа.
-
Пояснити роботу р-n переходу при прямому і зворотному включенні.
-
Чим відрізняються ВАХ ідеального р-n переходу і реального діода.
-
Дати визначення диференціального опору діода і пояснити графічно спосіб його визначення.
-
Записати рівняння ВАХ випрямного діода, графік ВАХ і його пояснення.
-
Намалювати ВАХ стабілітрона і визначити робочу ділянку ВАХ при стабілізації напруги.
-
Чому величина бар'єрної місткості залежить від прикладеної напруги?
-
Яка фізична природа дифузійної місткості р-п переходу?
-
Перерахувати основні параметри діодів.
Лабораторна робота № 6
Дослідження характеристик ліній з розподіленими параметрами
6.1 Мета роботи:
одержати навики дослідження ліній з розподіленими параметрами в різних режимах роботи.
6.2 Зміст роботи:
провести необхідні дослідження з використанням вимірювальної лінії для визначення характеристик лінії з розподіленими параметрами.
6.3 Короткі теоретичні відомості:
У попередніх лабораторних роботах розглядалися електричні ланцюги, геометричні розміри яких, а також вхідних в них елементів не грали ролі, тобто електричні і магнітні поля були локалізовані відповідно в межах конденсатора і котушки індуктивності, а втрати потужності — в резисторі. Проте на практиці часто доводиться мати справу з ланцюгами (лінії електропередачі, передачі інформації і т.д.), де електромагнітне поле і втрати рівномірно або нерівномірно розподілені уздовж всього ланцюга. В результаті напруги і струми на різних ділянках навіть нерозгалуженого ланцюга відрізняються один від одного, тобто є функціями двох незалежних змінних: часу t і просторової координати x. Такі ланцюги називаються ланцюгами з розподіленими параметрами. Сенс даної назви полягає в тому, що у ланцюгів даного класу кожен нескінченно малий елемент їх довжини характеризується опором, індуктивністю, а між дротами — відповідно ємністю і провідністю. Тобто — якщо довжина лінії (ланцюги) і довжина хвилі сигналу, який передається по цьому ланцюгу, приблизно рівні, то вважається, що така лінія має розподілені параметри і називається довгою лінією.
Для дослідження процесів в ланцюзі з розподіленими параметрами (інша назва — довга лінія) введемо додаткову умову про рівномірність розподілу уздовж лінії її параметрів: індуктивності, опору, ємності і провідності. Таку лінію називають однорідною. До таких ліній відносяться: двопровідна лінія (використовується в діапазоні частот до 30МГц), коаксіальна і полозкова лінії (використовуються в діапазоні частот до 300МГц), тракти передачі з хвилеводів (використовується в діапазоні частот більш 300МГц).
Основними параметрами ліній передачі — коаксіального кабелю, полозкової лінії, хвилеводу, є: розподілені індуктивність, ємність, опір і провідність. Проте вимірювати погонні параметри незручно, та і не представляє практичного інтересу при експлуатації. Характеризувати тракт з погляду розповсюдження по ньому електромагнітної енергії можна по вторинних параметрах. До ним відносяться:
-
Хвилевий опір
, (6.1)
де R, L, С, G — розподілені опір, індуктивність, ємність і провідність лінії.
Н
а надвисоких частотах (НВЧ) R <<ωL і G<<ωС, тому хвилевий опір активно і дорівнює ZB = √L/C.
Хвилевий опір ZB, Ом, коаксіальної лінії може бути обчислений за формулою:
(6.2)
де ε — диэлектрическая проницаемость диэлектрика; D і d — діаметри зовнішнього і внутрішнього провідників.
Для основної хвилі прямокутного хвилеводу ZB = 377 (λВ/λ0), де λв— довжина хвилі в хвилеводі; λ0— довжина хвилі у вільному просторі:
(6.3)
де λкр — критична довжина хвилі, яка рівна для коливань типу Н10 подвоєному значенню розміру широкої стінки хвилеводу (λкр = 2а).
-
Коефіцієнт розповсюдження
γ=δ+jβ (6.4)
де δ — коефіцієнт загасання, що визначає втрати енергії в лінії на одиницю довжини; β — коефіцієнт фази, що визначає довжину хвилі в лінії і фазову швидкість розповсюдження (коефіцієнт β = 2π/λ, часто називають хвилевим числом).
Якщо лінія навантажена на неузгоджений опір, тобто ZH≠ ZB, то частина енергії, що розповсюджується в лінії, відображається від навантаження і в тракті НВЧ виникає як падаюча, так і відбита хвилі.
Коефіцієнт віддзеркалення на навантаженні (в кінці лінії):
(6.5)
де Епад — напруженість падаючої хвилі на навантаженні; Еотр — напруженість відбитої від навантаження хвилі; φ — фазове зрушення між Еотр і Ецад на навантаженні.
Оскільки вся картина тих хвиль, що виникають в лінії без втрат, цілком визначається узгодженістю навантаження, то
р = (ZH — p)/(ZH + р). (8.6)
На рис. 6.1, а—ж, показано розподіл напруженості поля уздовж лінії для різних співвідношень ZB і ZH (режими роботи лінії).
В точках максимуму Uпад і Uотр співпадають по фазі, в точках мінімуму вони протилежні:
Emax = │Eпад│+│Eотр │ ; Emin = │Eпад │—│Eотр│. (6.7)
Коефіцієнтом хвилі, яка біжить Kбв називають відношення
Kбв=Emin/Emax, (6.8)
а величина, зворотна Кбв називається коефіцієнтом стоячої хвилі
Кст = 1/Кбв = Еmax/Еmin (6.9)
Ці коефіцієнти однозначно пов'язані з модулем коефіцієнта віддзеркалення:
(6.10)
У довільній точці лінії, віддаленої від початку відліку на відстані l=х, відношення напруженості відбитої хвилі до падаючої дорівнює:
тобто повний опір в будь—якому перетині лінії, віддаленому від початку відліку на відстані l = х, визначається співвідношенням
(6.12)
Якщо повний опір в якому—небудь перетині лінії відомий, то за допомогою цього співвідношення можна знайти повний опір в будь—якому іншому перетині лінії. Важливо також відзначити, що в точках мінімуму і максимуму напруженості електричного поля опір лінії чисто активний:
(6.13)
Аналогічно Zmin == KбвZв
Вона є відрізком хвилеводу 1, посередині широкої стінки, якого прорізає щілина 2, в яку занурений зонд 3. Зонд можна розглядати як штирьову приймальну антену, в активному опорі якої наводиться ЕРС від коливань, що розповсюджуються по лінії. Зонд є внутрішнім провідником відрізка короткозамкнутої коаксіальної лінії — камери зонда 4. Вона є резонатором, що настроюється на частоту коливань в лінії. Зонд має комплексний опір Z3, а вхідний опір короткозамкнутого відрізка коаксіальної лінії визначається відомим виразом:
ZВХ = jZB tgβl, (6.14)
де ZBХ — хвилевий опір; l — довжина відрізка; β = 2π/λ — коефіцієнт фази.
Таким чином, ZBX може бути будь—яким реактивним +∞ до — ∞, залежно від довжини, яка змінюється короткозамикателем 5.
При настройці камери зонда в резонанс з частотою коливань, що розповсюджуються в тракті, напруженість електромагнітного поля в камері в Q раз перевищить ЕРС, що наводиться в зонді, а добротність коаксіальних резонаторів достатньо велика (Q > 10 000). Коливання, що виникають в коаксіальному резонаторі камери зонда, поступають в другий коаксіальний резонатор — секцію детектора 6, яка також може настроюватися короткозамикателем 7, і через петлю зв'язку — до детектора 8.
Зонд з елементами настройки і детекторною секцією конструктивно об'єднуються у вимірювальну головку, яка може переміщатися уздовж лінії. За допомогою шкали 9 проводять відлік положення зонда.
Амплітуда ЕДС, наведеної в зонді, пропорційна амплітуді напруженості електричного поля в точці занурення зонда. Точна залежність струму в детекторі вимірювальної лінії від напруженості поля звичайно встановлюється експериментально. Це називається калібруванням детектора вимірювальної лінії. Приблизно можна вважати, що детектор працює на початковій ділянці своєї вольт—амперної характеристики і струм пропорційний квадрату напруженості поля в лінії.
Вимірювання довжини хвилі. Вимірювання довжини хвилі зводиться до визначення відстані між двома сусідніми мінімумами напруженості електричного поля короткозамкнутої вимірювальної лінії. Ця відстань рівна l1 — l2 = λВ/2 і, отже, λв = 2(l1— l2).
Знаючи геометричні розміри хвилеводу, можна визначити λ0 і дізнатися частоту генератора, що живить лінію:
f = c/λ0, (6.15)
де с — швидкість світла у вакуумі, яка рівна 2,998 • 108 м/с ≈3 • 108м/с.
Джерелом погрішності вимірювань є помилки при визначенні положення мінімуму за шкалою вимірювальної лінії, втрати на випромінювання і загасання в лінії, наявність неоднорідностей в тракті, вплив температури і вологості повітря.
Вимірювання КСВ. Переміщаючи головку вимірювальної лінії, можна за свідченнями індикатора (приладу постійного струму) виявити картину розподілу напруженості поля уздовж вимірювальної лінії. Враховуючи квадратичність детектора,
(8.16)
де Amin і Amax — свідчення індикатора в мінімумі і максимумі напруженості поля.
Слід відмітити, що у такий спосіб можна вимірювати лише невеликі значення КСВ. При Kст = 5 значною мірою виявляється вплив провідності зонда на напруженість поля в максимумі, і необхідно застосовувати інші, складніші методи визначення КСВ.
Вимірювання комплексного опору навантаження. Схема з'єднань приладів зображена на рис. 6.3, а.
Після настройки генератора і вимірювальної лінії на необхідну частоту, досліджуване навантаження відключають, і кінець лінії замикають (ставлять «заглушку»). Переміщаючи вимірювальну головку уздовж лінії, відзначають положення вузлів (мінімумів) напруженості поля і визначають λв. Після цього підключають до лінії досліджуване навантаження ZH. Характер розподілу поля в лінії змінюється (рис. 8.3, б). Якщо при короткому замиканні напруженість поля у вузлі була рівна нулю, то тепер з'являються значення Еmах і Ет1п. Визначають КСВ, як було показано вище.
Потім, взявши за опорне положення будь—якого з вузлів при короткому замиканні (умовний кінець лінії), визначають за шкалою вимірювальної лінії зсув Δl найближчого мінімуму напруженості поля щодо цього вузла. Опір навантаження може бути розрахований по формулі
(6.17)
де ZB — хвилевий опір; Kст — коефіцієнт стоячої хвилі; βΔl — фазовий кут.
6.4 Порядок виконання роботи:
1.Для виконання дослідження режимів робіт довгої лінії необхідно підготувати до роботи відповідно до керівництва по експлуатації вимірювальну лінію Р386 і генератор високочастотних сигналів Г4—144.
2. Встановити на виході генератора Г4—144 параметри сигналу живить лінію по варіанту вимірювань (табл. 6.1) який визначає викладач, що проводить лабораторні роботи.
Таблиця 6.1 Варіанти завдань
| № варіанту | Частота напруги того, що живить лінію, МГц |
| 1 | 550 |
| 2 | 600 |
| 3 | 650 |
| 4 | 700 |
| 5 | 750 |
| 6 | 550 |
| 7 | 600 |
| 8 | 650 |
| 9 | 700 |
| 10 | 750 |
-
З'єднати вихідний роз’єднувач генератора Г4—144 вхідним роз’єднувачем вимірювальної лінії Р386 за допомогою коаксіального кабелю. вимірювальну головку зонда з'єднати з мілівольтметром. До вихідного роз’єднувача вимірювальної лінії підключити навантаження з хвилевим опором ρ = 50 Ом.
-
Збільшуючи встановити вихідну потужність генератора так, щоб свідчення мілівольтметра приєднаного до вимірювальної голови зонда знаходилися в межах 50 – 100mV.
-
регулюваннями, що знаходяться на зонді вимірювальної лінії добитися максимальних свідчень мілівольтметра.
-
Змінюючи положення зонда щодо горизонтальної осі лінії (зонд пересувати уздовж вимірювальної лінії) знайти таке його місцеположення, де свідчення мілівольтметра будуть максимальні. Якщо свідчення мілівольтметра перевищують 100 mV необхідно понизити вихідну потужність генератора Г1—144.
-
за допомогою лінійки, яка знаходиться на вимірювальній лінії Р386 визначити відстань до зонда l1 від кінця лінії. Свідчення мілівольтметра U1 і відстань до зонда l1 від кінця лінії занести в таблицю 8.2.
-
Змінюючи положення зонда щодо горизонтальної осі лінії (зонд пересувати уздовж вимірювальної лінії) знайти таке його місцеположення, де свідчення мілівольтметра будуть мінімальними. за допомогою лінійки, яка знаходиться на вимірювальній лінії Р386 визначити відстань до зонда l2 від кінця лінії. Свідчення мілівольтметра U2 і відстань до зонда l2 від кінця лінії занести в таблицю 6.2.
Таблиця 6.2. – результати вимірювань параметрів роботи довгої лінії.
| Rн, Ом | Зміряні значення | Розраховані значення | ||||||||
| U1, mV | l1, мм | U2, mV | l2, мм | λ/4, мм | λ, мм | КБВ | КСВ | f, МГц | ||
| 50 | ||||||||||
| ∞ | ||||||||||
-
розрахувати наступні параметри роботи лінії: коефіцієнт хвилі (КБВ), що біжить, коефіцієнт стоячої хвилі (КСВ), довжину хвилі сигналу в лінії (λ), частоту сигналу в лінії (f).
-
від'єднати опір навантаження від вихідного роз'єднувача вимірювальної лінії і не змінюючи вихідної потужності генератора Г4—144 повторити дії п. 6 – 9.
6.5 Зміст звіту
у звіт вносять:
— тему і мету роботи;
— результати вимірювання напруги зонда і його положення від кінця вимірювальної лінії ;
— результати розрахунків параметрів роботи довгої лінії при різних опорах навантаження;
















