124442 (598601), страница 4
Текст из файла (страница 4)
Регулировочными вентилями по ротаметрам Р установить заданные преподавателем расходы экстрагента и исходной смеси в экстрактор и поддерживать их постоянными в течение всего опыта.
После заполнения полностью колонны и установления четкой линии раздела фаз (в середине второй или третьей секции) приступить к отбору проб через пробники П. После отбора проб изменить расход экстрагента и через 5-10 минут отобрать еще раз пробы через пробники П.
После окончания отбора проб прекратить подачу исходной смеси, закрыть вентиль на линии слива экстракта из колонны и продолжать подачу воды в колонну. Поверхность раздела фаз при этом будет подниматься, и когда она достигнет верха колонны, т.е. весь керосин сольется из экстрактора, необходимо быстро открыть вентиль на линии слива экстракта и прекратить подачу экстрагента.
| |
| 1 – экстрактор; 2, 3 – баки для воды; 4, 5 – баки для керосина; 6, 7 – напорные баки; 8, 9 – насосы; 10 – гребенка; П – пробники; Р – ротаметры. Рисунок 2 – Схема экстракционной установки |
3 Обработка опытных данных
Содержание бензойной кислоты
определяем титрованием отобранных проб 0.1 N раствором NаОН в присутствии индикатора - фенолфталеина.
Нормальность раствора бензойной кислоты определяется по зависимости
Для титрования берется 20-25 мл исследуемой жидкости. Содержание бензойной кислоты в исследуемой жидкости определяется
(кг/м3), где Эк – эквивалент кислоты равный 122.
Затем необходимо пересчитать объемную массовую концентрацию в относительные массовые доли по формулам
,
Можно принять при рабочих концентрациях ρ1 - плотность керосина, ρ2 - плотность воды, кг/м3.
Построить на диаграмме Х – У равновесную и рабочие линии, соответствующие разным соотношениям
. Определить массовый расход первичного растворителя (керосина)
. Определить массовый расход экстрагента (вода)
, где VB, VK, ρ2, ρ1 – объемный расход и плотность воды и керосина. Полученные данные занести в таблицу 2.
Убедится, что при увеличении движущей силы процесса, увеличивается количество переданного из фазы в фазу вещества М, которое определяется из уравнения материального баланса. Сравнить конечные концентрации продуктов и сделать вывод о ходе процесса экстракции, определить степень извлечения бензойной кислоты в обоих
случаях по формуле:
Таблица 2
Опытные и рассчитанные данные
| Параметр | Значения | Среднее значение | |||
| Расход исходной смеси, кг/с | |||||
| Расход экстрагента, кг/с | |||||
| Относительная массовая концентрация бензойной кислоты в керосине
| |||||
| Относительная массовая концентрация бензойной кислоты в воде
| |||||
| Средняя движущая сила процесса | |||||
| Количество переданного из фазы в фазу вещества М | |||||
| Степень извлечения бензойной кислоты | |||||
Лабораторная работа
АБСОРБЦИЯ
Цель работы: практическое ознакомление с работой тарельчатого абсорбера, экспериментальное определение коэффициента массопередачи и сравнение его с рассчитанным теоретически.
Приборы и принадлежности: абсорбционная установка, бюретка для титрования; 0.1 N раствор соляной кислоты; индикатор-фенолфталеин; конические колбы.
Введение
Абсорбцией называют процесс избирательного поглощения газа из смеси газов (или пара из парогазовой смеси) жидким поглотителем. В абсорбционных процессах участвуют две фазы – газовая и жидкая. При абсорбции происходит переход вещества из газовой фазы в жидкую, обратный процесс называется десорбцией, при этом происходит переход вещества из жидкой фазы в газовую. Все процессы массопередачи обратимы, т.е. в зависимости от условий, направление перехода распределяемого вещества может быть различным. Равновесие в процессах абсорбции определяет состояние, которое устанавливается при продолжительном соприкосновении фаз и зависит от состава одной из фаз, температуры, давления и термодинамических свойств компонента и поглотителя [1,2].
Для каждой конкретной системы газ-жидкость при определенной температуре и давлении существует строго определенная зависимость между равновесными концентрациями, т.е. каждому значению Х соответствует строго определенное равновесное значение У* и эту связь можно представить в виде функции
В общем случае эта зависимость находится опытным путем. Для большего числа систем имеются данные в справочной литературе. Для разбавленных растворов хорошо растворимых газов равновесная зависимость
хорошо описывается законом Генри, который имеет вид
, где
- константа фазового равновесия, величина которой зависит от природы газа и жидкости и единиц, в которых выражены концентрации.
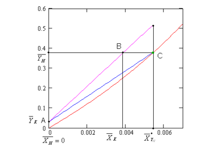
ОС – линия равновесия
; АВ – рабочая линия - прямая,проходящая через точки (YH, XK) и (YK, XH)
Рисунок 1 - Схема процесса абсорбции
Примем расходы фаз по высоте аппарата постоянными и выразим содержание поглощаемого газа в относительных мольных концентрациях. Обозначим: G – расход инертного газа, кмоль/с; YH ,YK -начальная и конечная концентрации компонента в газовой смеси, кмоль/кмоль инертного газа; L – расход абсорбента, кмоль/сек; его концентрации XH и XK, кмоль/кмоль абсорбента.
Уравнение материального баланса абсорбера имеет вид
.
Выделим любое сечение в аппарате (рисунок 1), например, 1-1, в котором имеются рабочие концентрации X и Y. Напишем материальный баланс для верхней части аппарата по распределяемому компоненту
Если исходный абсорбент не содержит распределяемый компонент (XH = 0), то
.
Полученная зависимость называется уравнением рабочей линии.
Это уравнение позволяет нам определить значение рабочей концентрации в любой точке аппарата. Так как G, L – величины постоянные для каждого конкретного случая, то это уравнение прямой линии и для ее построения необходимо всего две точки. Можно взять вверху колонны B (XH, YK) и внизу колонны A (XK, YH).
Разность между рабочей и равновесной концентрациями вещества в данной фазе называется движущей силой массопередачи ΔY=Y – Y*. Она непрерывно меняется по высоте аппарата. В частном случае, когда линия равновесия является прямой,
определяется как средняя логарифмическая величина из движущих сил массопередачи у концов аппарата
,
где ΔУб , ΔУм – большая и меньшая разность рабочих и равновесных концентраций на концах аппарата .
Основное уравнение массопередачи для процесса абсорбции
где М – количество компонента, передаваемое через поверхность контакта фаз, кмоль/с;
- поверхность контакта фаз, м2.
Так как поверхность контакта газа и жидкости зависит от скорости потока, физических свойств фаз и типа аппарата, то обычно расчеты тарельчатых абсорберов проводят по модифицированному уравнению массопередачи, в котором коэффициенты массопередачи относят к единице рабочей площади тарелки
,
где
- коэффициент массопередачи, отнесенный к единице площади тарелки, моль/м2(кмоль/кмоль)с;
F- суммарная рабочая площадь тарелок в абсорбере, м2;
,
где
- рабочая площадь тарелке, м2;
n - число тарелок в абсорбере.
Рабочая площадь провальной тарелки может быть принята равной сечению абсорбера. Зная М – количество поглащенного аммиака (в кмоль/с), и рассчитав F и
можно определить коэффициент массопередачи
.
Коэффициенты массопередачи определяют по уравнениям аддитивности фазовых диффузионных сопротивлений
где βyf. βxf – коэффициенты массоотдачи, отнесённые к единице рабочей площади тарелки, соответственно в газовой и жидкой фазах, кмоль/м2 (кмоль/кмлоь)с.
При абсорбции хорошо растворимых газов
<<
, и в этом случае величиной m/βy
можно пренебречь, т.е.
. Поэтому при абсорбции аммиака водой можно приравнять общий коэффициент массопередачи частному коэффициенту массоотдачи в газовой фазе.
-
Требования безопасности
К работе на установке допускаются студенты, прошедшие в начале семестра инструктаж по технике безопасности в лаборатории
Б-011 и расписавшиеся в журнале инструктажей. Студенты обязаны перед началом работы надеть спецодежду и убрать волосы под косынку. Начинать работу можно только в присутствии учебного мастера и преподавателя, и только с их разрешения. Перед началом работы студенты должны отчитаться перед преподавателем о своей подготовке к работе.
При появлении запаха аммиака во время работы немедленно прекратить его подачу, перекрыв вентиль расхода, а расход воды в абсорбер увеличить до полного удаления запаха. В случае попадания раствора аммиака на кожу или в глаза немедленно обильное промывание широко раскрытого глаза водой или 0.5-1% раствором квасцов, наложить вазелиновое или оливковое масло. Необходимо помнить, что высокая концентрация аммиака в воздухе вызывает обильное слезотечение, боль в глазах, удушье, сильные приступы кашля, ПДК аммиака в воздухе – 20 мг/м3 . При отравлении аммиаком через дыхательные пути необходимо вынести человека на воздух, вдыхание теплых водяных паров, пить теплое молоко с содой. По окончании занятия каждый студент обязан проверить и привести в порядок рабочее место.
-
Описание установки и порядок выполнения работы
Абсорбер представляет собой колонну 1 с внутренним диаметром 0,2м, высотой 1,68м, выполненную из органического стекла (рисунок 2). В колонне установлены 4 тарелки провального типа с отверстиями 3,5мм, долей свободного сечения 20%. В верхней части колонны имеется брызгоотделитель, внутри которого размещены распределитель жидкости и каплеотборник, уменьшающий унос жидкости уходящими газами. Колонна установлена на сборнике 2 диаметром 0.44 и высотой 0.7м. Установка снабжена баллоном с аммиаком 5, системой трубопроводов, арматурой и КИП.
Абсорбент (вода) подается в верхнюю часть колонны 1. Расход воды регулируется вентилями по показаниям ротаметра 10. Воздух к установке подается от компрессора, расположенного в лаборатории Б-03, через коллектор 7. Скорость воздуха замеряется с помощью диафрагмы 8 и соединенного с ней дифманометра 9. Аммиак из баллона 5 дросселируется редукционным вентилем, расход NH3 определяется ротаметром 11. Аммиак поступает в коллектор 7, а затем в смеситель 6; куда подается и воздух, а затем аммиачно-воздушная смесь подается вниз абсорбера 1. Смесь движется снизу вверх, а сверху вниз по тарелкам стекает вода. На тарелках образуется газо-жидкостный слой. Вода поглощает абсорбтив (аммиак) и поступает в сборник 2. Воздух, содержащий газ, выбрасывается в атмосферу. В нижней части абсорбера находится пробоотборник для отбора пробы жидкости, поглотившей аммиак. Концентрация аммиакта в воде определяется титрованием пробы 0.1 HCℓ. Для определения гидравлического сопротивления на 2-х тарелках служит дифманометр 12.
При выполнении работы строго соблюдать очередность подачи. Сначала необходимо подать воду в абсорбер, установить заданный расход и поддерживать его постоянным. Затем подать воздух в колонну, установить и поддерживать постоянную его скорость в колонне и замерить перепад давления на 2-х тарелках. И только потом открыть редукционный вентиль и подать аммиак в абсорбер. Установить расход аммиака не более 10-20 делений по ротаметру, через 3-5 минут отобрать пробу жидкости внизу колонны и прекратить подачу аммиака, затем воздуха и не ранее 10-15 минут закрыть вентили на линии подачи воды в абсорбер.
Все измеренные величины занести в таблицу.
1 – абсорбер; 2 – сборник; 3 – фильтр; 4 – гидрозатвор; 5 – баллон с аммиаком; 6 – смеситель; 7 – коллектор; 8 – диафрагма; 9 – дифманометр; 10,11 – ротаметры; 12 – дифманометр; В – вентили
Рисунок 2 - Схема абсорбционной установки
-
Обработка опытных данных
Таблица 1
Опытные и рассчитанные данные
| Наименование величин | Значение | Среднее значение | |||
| 1 | 2 | 3 | |||
| Расход воды; кмоль/с | |||||
| Скорость воздуха в колонне; м/с | |||||
| Расход воздуха в колонне; кмоль/с | |||||
| Расход аммиака, кмоль/с | |||||
| Перепад давления на 2-х тарелках; Па | |||||
| Концентрация аммиака в исходной смеси | |||||
| Концентрация аммиака в воздухе на выходе из колонны | |||||
| Концентрация аммиака в воде на выходе из колонны | |||||
| Движущая сила массопередачи | |||||
| Коэффициент массопередачи | |||||
| Коэффициент массоотдачи | |||||
Расходы воды, воздуха и аммиака необходимо выразить в мольных единицах. Концентрацию аммиака в воздухе YH определяем исходя из расходов аммиака и воздуха в кмоль NH3/кмоль воздуха.
Конечная концентрация аммиака в воздухе YK рассчитывается из уравнения материального баланса
.
Начальная концентрация аммиака в воде XH=0, так как вода, поступающая в абсорбер, аммиака не содержит аммиак.
Конечная концентрация аммиака в воде XK определяется титрованием отобранной пробы 0.1 н раствором HCℓ. Определив в результате титрования нормальность раствора, выразить концентрацию поглощаемого газа в Cх [кмоль/м3] и пересчитать в относительные мольные единицы по формуле
где Мж, МК – молекулярные массы воды и аммиака, кг/кмоль;
ρж – плотность воды, кг/м3.
Расход воздуха в колонне определяется по уравнению расхода.
Рассчитав концентрации YH, YK, XH, XK, строим рабочую линию по 2 точкам (XH , YK), (XK, YH ).
Линия равновесия определяется по уравнению
, где m=1.825 – найдена экспериментально для водных растворов NH3. Наносим рабочую и равновесную линии на график, определяем
. Зная количество поглощенного аммиака, определяем коэффициент массопередачи Kyf. Коэффициент массоотдачи βyf определяем из критерия Нуссельта диффузионного
,
где Д – коэффициент молекулярной диффузии компонента в газе, м2/с;
ℓ
– характерный линейный размер, в данном случае ℓ =κ - капиллярная константа, м.
где
- поверхностное натяжение на границе газ - жидкость, н/м .
Критерий Нуссельта диффузионный для провальных тарелок рассчитывается по уравнению
,
где критерий Рейнольдса
;
критерий Прандтля
;
критерий Вебера
.
Высота столба жидкости на тарелке hст, рассчитывается из гидравлического сопротивления орошаемой тарелки ΔРт, измеренного U-образным дифференциальным манометром, м.
,
где ΔР сух – сопротивление сухой тарелки, Па;
ΔРσ-сопротивление тарелки, вызываемое силами поверхностного натяжения, Па;
ΔРг-ж - сопротивление газожидкостного слоя на тарелке, Па.
Сопротивление сухой тарелки рассчитывается по уравнению
где ζ – коэффициент сопротивления тарелки (ζ=2.1);
ωо – скорость газа в отверстиях тарелки (ωо =ω/ƒсв),м/с;
ƒсв - свободное сечение тарелки (ƒсв=0.2).
Сопротивление тарелки, вызванное действием сил поверхностного натяжения, определяют по уравнению
где dо – диаметр отверстий тарелки, м.
Сопротивление газожидкостного слоя принимают равным статическому давлению слоя
ΔРг-ж=gρжhст
Определив критерий Нуссельта диффузионный, рассчитывают βyf и сравниваем Kyf и βyf.
Сделать вывод о сопоставимости полученных значений коэффициентов.
Список литературы
-
Дытнерский Ю.И. Процессы и аппараты химической технологии: Учебник для вузов. Изд. 3-е. В 2-х кн. / Ю.И. Дытнерский. – М.: Химия, 2002. –кн.1. - 400 с.: ил. -кн. 2. -368 с.: ил.
-
Павлов К.Ф. Примеры и задачи по курсу процессов и аппаратов химической технологии. 9-е изд., пер. и доп. / К.Ф. Павлов, Н.Г. Романков, А.А. Носков. – Л.: Химия, 1981. - 560 с.
-
Руководство к практическим занятиям в лаборатории процессов и аппаратов химической технологии: Учеб. пособие для вузов. / Под. ред. чл.-корр. АН СССР П.Г. Романкова - 6-е изд., перераб. и доп. – Л: Химия, 1990. - 272 с.: ил.
















