47197 (597325), страница 5
Текст из файла (страница 5)
Источники информационной базы ИС, виды показателей и методики для выявления ПС.
В качестве информационной базы используются формы годовой отчетности, а также нормативные значения показателей, определяемые на основе средних значений по отрасли или группе аналогичных предприятий.
Наиболее распространенная форма выявления проблем с использованием технико-экономических показателей – сравнение их фактических величин с числовыми, нормативными или средними значениями и вычисление абсолютных и относительных отклонений.
Показателями, могущие использоваться для выявления проблем, касающихся финансового состояния предприятия и определения степени их критичности на основе анализа финансовых коэффициентов, результатов производственно-коммерческой деятельности и эффективности использования ресурсов могут выступать:
-
коэффициент ликвидности;
-
коэффициент покрытия;
-
коэффициент обеспеченности собственными средствами, %;
-
рентабельность продукции, %;
-
реализация товарной продукции, %;
-
фондоотдача, %;
-
производительность труда, %;
-
износ основных средств, %;
Можно также применять методики выявления ПС, базирующиеся на определенных аналитических соотношениях технико-экономических показателей, в состав которых входят следующие элементы:
-
индекс прибыли;
-
индекс амортизационных отчислений;
-
индекс затрат на заработную плату;
-
индекс оборотных средств;
-
индекс основных производственных фондов;
-
индекс численности работающих.
Выявление проблем осуществляется нахождением отклонения от определенных аналитических зависимостей между этими показателями и дальнейшей их интерпретации.
Например, если отмечается отставание темпа роста прибыли от темпа роста объемов производства, делается заключение об определенных проблемах в сфере маркетинговой деятельности предприятия, в частности, в области ценообразования.
Во многих случаях для определения пороговых значений объемов производства и сбыта, выручки от реализации целесообразно применять методику «анализ безубыточности», а именно расчет точки безубыточности и «запаса прочности» предприятия, выражающего (в процентах) соотношение текущего объема производства и объема, соответствующего точке безубыточности.
Для технико-экономических показателей, характеризующих проблемную ситуацию, которые могут быть представлены статистическими рядами данных, используются базовые статистические методы, например, расчет средних, стандартных отклонений, дисперсий.
На рис. 2.2 показан фрагмент «дерева причин», связанный со снижением объема производства и реализации услуг.
Рис. 2.2. Дерево причин проблемной ситуации «снижение объемов производства и реализации»
Итак, нам стало ясно, что в качестве основных причин возникновения ПС выступают состояния и изменения состояний элементов внутренней и внешней среды организации (ресурсы, структурные подразделения, виды продукции, виды затрат, поставщики, потребители).
Поэтому можно говорить о структуризации проблемы в соответствии не только с причинами ее возникновения, но и с элементами внешней и внутренней среды организации, а также характеризующими их показателями.
-
15. Граф концептуальной модели проблемной ситуации и его толкование
Построение логических правил для выбора действий и правил принятия решений.
После формирования дерева причин производят построение логических правил, используемых для выбора действий и правил принятия решений (ППР).
Первый элемент ППР – таблица условий – описание проблемной ситуации в виде определенной совокупности объектов, их параметров и отношений между ними.
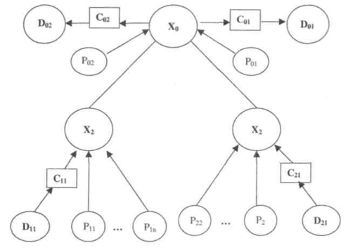
Второй элемент ППР – перечень действий, которые могут быть приняты в той или иной проблемной ситуации. Для комплексного представления результата структуризации проблемы и методов ее решения можно использовать концептуальную модель (рис. 2.3). В соответствии с этой моделью проблема может быть представлена в виде графа с четырьмя видами вершин: X, Р, ДиС
Рис 2.3. Концептуальная модель проблемной ситуации
X – множество проблем.
Р – множество атрибутов описания проблем.
D – множество типовых решений проблем.
С – множество условий, разделяющих проблемы и решения, ориентированные дуги выражают множество отношений, описывающих взаимосвязь проблем.
Логический анализ проблем-причин на низших уровнях иерархии, показывает, что во многих случаях они позволяют сформулировать варианты решения проблем более высокого уровня. В общем случае в качестве вариантов решений можно использовать классы стратегий, предлагаемых в экономической литературе.
-
16. Особенности проектирования интеллектуальной экономической информационной системы
Проектирование ИИС начинается с обследования предметной области. Современные технологии такого обследования базируются на концепции и программных средствах реинжиниринга бизнес-процессов (BPR).
Реинжиниринг бизнес-процессов – это фундаментальное переосмысление и радикальное перепланирование критических бизнес-процессов в процессе внедрения средств информатизации, имеющее целью резко улучшить качество функционирования с точки зрения затрат, качества обслуживания и скорости выполнения.
Бизнес-процесс – это упорядоченное множество операций (видов) деятельности, реализуемых в организационной структуре в соответствии с ее миссией и целями, начинающихся с одной или более входных операций и заканчивающихся созданием продукции, необходимой клиенту.
Процесс – это систематически упорядоченная совокупность работ, заданий (активностей) во времени и в пространстве с указанием начала и конца и точным определением входов и выходов.
Ключевой элемент модели бизнеса – это описание архитектуры компании, т.е. описание ее наиболее важных статических и стабильных структур: отделений, отделов, а также продукции и материалов. Однако просто организационная схема плохо отражает суть функционирования компании, поэтому важны динамические структуры – это процессы и потоки событий. Кроме этого, необходимо описать процессы и потоки событий. Необходимо описать как входные данные, поступающие из внешнего мира, так и действия (операции) процесса, которые производятся над исходными данными, а также потребляемые ресурсы.
Субъект – это все то, что в окружении взаимодействует с бизнесом: клиенты, поставщики, партнеры.
Сценарий – совокупность транзакций в системе, выполняемых для реализации функций бизнеса.
Транзакция – неделимое множество действий, выполняемых или целиком, или не выполняемых вовсе, и в совокупности составляющих единое задание.
Объекты могут соответствовать задачам, видам продукции или сущностям.
Обычно разделяют следующие виды объектов:
-
объект-сущность,
-
управляющие объекты и
-
интерфейсные объекты.
Интерфейсные и управляющие объекты представляют задачи, а не типы ресурсов.
Интерфейсные объекты представляют в бизнесе операции, включающие взаимодействие с окружением бизнеса.
Управляющие объекты участвуют в управлении потоками при обработке продукции.
Объекты-сущности – это продукция и предметы, обрабатываемые бизнесом.
Могут быть выделены следующие разновидности отношений:
-
ссылки – связи, ведущие от одного экземпляра объекта к другому;
-
наследования – связывают два класса.
Агрегат объектов. Отношения включения: «состоит из» и «является частью» – представляют собою варианты отношения ссылки. Они используются для выражения того, что объект состоит из других объектов. Конструкция данного типа называется агрегатом.
Отношения коммуникации. Объекты должны иметь возможность обмениваться данными. Этот тип отношения выражается отношением коммуникации между двумя объектами. Направление отношения показывает направление передачи стимулов. Отношение коммуникации почти всегда является отношением между экземплярами.
Отношения наследования. Отношения наследования – это отношения между классами. При конкретизации последующего класса (потомка) его экземпляр получает все характеристики (атрибуты, операции и отношения), описанные в суперклассе.
Поведение. Изучая сценарии, в которых участвует объект, можно получить представление об обязательствах объекта по отношению к его окружению. Поведение объекта можно разделить на несколько последовательных действий, называемых операциями. Выполнение каждой такой операции инициируется определенным стимулом. Чтобы выполнить операцию, нужно знать определенные входные и выходные данные, называемые параметрами операции. Протокол класса устанавливает связь между посылаемыми объекту стимулами и реализуемыми объектом методами (операциями).
Атрибут. Характеристика объекта моделируется атрибутами объекта. Отношение «атрибут» имеет имя, описывающее роль, которую атрибут играет по отношению к объекту. Отношение также может иметь мощность, указывающую сколько экземпляров атрибута может быть ассоциировано с этим отношением. Отношение «атрибут» обычно связывает экземпляр класса объектов с экземпляром типа атрибут.
Состояния объектов. Объект может получать различные стимулы в зависимости от значения атрибутов и ранее выполненных операций, то есть объект может находиться в различных состояниях. Состояния объекта целесообразно описывать диаграммами состояний и переходов.
Взаимодействие объектов в сценарии. Взаимодействие объектов в сценарии отражает динамику объектной модели. Этот тип представления содержит (помимо объектов) отношения коммуникации, необходимые для выполнения сценария. Один и тот же объект может участвовать в нескольких сценариях, выступая в разных ролях.
Диаграммы взаимодействий. Если необходимо описать, как при выполнении потока событий взаимодействуют объекты модели, строится диаграмма взаимодействий, показывающая, как взаимодействующие объекты реализуют прецедент. При этом идентифицируются стимулы, передаваемые между объектами, и параметры этих стимулов, т.е. идентифицируются протоколы взаимодействия объектов, составляется полный перечень операций. Сценарий обычно содержит несколько вариантов хода событий, изображаемых разными диаграммами. Для больших систем вначале строят упрощенную модель, а затем вводят отношения расширения.
Описание сценария может быть довольно сложным для понимания, если оно содержит слишком много альтернативных, необязательных потоков событий, выполняемых при определенных условиях. Один из способов сделать описание «прозрачнее» – извлечь некоторые его фрагменты и рассматривать их как отдельный сценарий. Говорят, что этот новый сценарий расширяет первоначальный, отношение расширения можно рассматривать как способ структурирования потока событий.
Отношения использования. При описании сценариев можно обнаружить, что некоторые из них имеют общие фрагменты. Чтобы не описывать эти общие фрагменты более одного раза, их описывают в виде самостоятельного сценария. Его затем могут использовать остальные. Отношение использования позволяет избежать лишних описаний, позволяя повторно применять общие фрагменты потока событий. Отношения использования и отношения расширения можно рассматривать как вид наследования.
Подсистемы и сценарии. В большом бизнесе можно выделить много частей (подбизнесов). Подсистема включает функционально близкие объекты и (или) подсистемы.
В чем разница между сценариями и подсистемами? В подсистеме объекты собраны в соответствии с их функциями. Сценарий, наоборот, может выполняться объектами разных подсистем.
-
17. Основные компоненты и существенные черты ИИС
Существенные черты ИИС:
-
наличие знаний,
-
способности логического вывода и
-
особенно системы управления знаниями.
-
Способность производить выводы – принципиальная особенность современных информационных технологий.
Эта способность основывается на знаниях, причем знания различаются по форме, начиная от простых фактов, хранящихся в обычной базе данных, до сложных высказываний о реальном или моделируемом мире. С точки зрения логики, базу данных можно рассматривать как множество фактов, при этом запросы и ограничения целостности являются формулами, которые необходимо интерпретировать, используя семантическое определение истинности.
















