181025 (596489), страница 2
Текст из файла (страница 2)
Прибуток від лізингу - це орендна плата, отримана орендодавцем і зменшена на суму амортизаційних відрахувань на повне відновлення зданих в оренду основних засобів та інших витрат, пов'язаних з цією операцією. [14]
Прибуток для оподаткування визначають відніманням від скоригованого валового доходу валових витрат підприємства та амортизаційних відрахувань, визначених відповідно до порядку, встановленого Законом України "Про оподаткування прибутку підприємств" (за податковим обліком). [5]
Послідовність формування фінансових результатів подано на рис.1.2.
Рис.1.2 Формування фінансових результатів
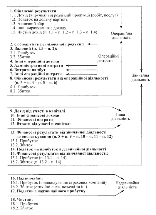
Загальну структурно-логічну схему формування прибутку підприємства відповідно до Положень (стандартів) бухгалтерського обліку наведено на рис.1.3.
Рис.1.3 Структурно-логічна схема формування прибутку підприємства відповідно до Положень (стандартів) бухгалтерського обліку
Аналіз результатів діяльності підприємства включає такі обов'язкові елементи:
1. Горизонтальний аналіз фінансових результатів за звітний період - дослідження змін кожного показника за аналізований період;
2. Вертикальний аналіз - дослідження структури відповідних показників і їх змін;
3. Трендовий аналіз - дослідження у загальному вигляді динаміки зміни показників фінансових результатів за кілька звітних періодів. [26]
У процесі аналізу прибутку необхідно визначити і оцінити основний показник, що характеризує валовий прибуток.
Основним показником, що характеризує валовий прибуток, є коефіцієнт валового прибутку, який визначається за такою формулою:
= Валовий прибуток × 100 /Обсяг реалізованої продукції.
Коефіцієнт валового прибутку характеризує рівень, за якого підприємство може збільшити прибуток, знижуючи накладні витрати. Так, якщо коефіцієнт валового прибутку 50 %, це означає, що продажна ціна у два рази більша, ніж виробництва.
Коефіцієнт валового прибутку може змінюватись з таких причин:
1) збільшення або зменшення обсягу продажу;
2) збільшення або зменшення собівартості реалізованої продукції (наприклад, у результаті збільшення торгових знижок, інфляції, економії матеріалів тощо);
3) підвищення або зниження цін збуту (наприклад, у результаті інфляції, конкуренції, зміни розміру знижок тощо);
4) зміна класифікації витрат (непорівнянність) та інших.
Після аналізу загальної суми валового прибутку необхідно ознайомитися з порядком визначення валового прибутку на одиницю продукції. При зростанні обсягу реалізації продукції на одиницю виручка збільшується на однакову чи постійну суму, а змінні витрати також зростають на постійну величину.
Отже, різниця між продажною ціною та змінними витратами на кожну одиницю продукції також має бути сталою величиною. Ця різниця між продажною ціною та змінними витратами і буде валовим прибутком на одиницю продукції.
У зв'язку з трансформацією бухгалтерського обліку замість поняття "балансовий прибуток" використовують інше поняття - загальний прибуток, який характеризує позитивний фінансовий результат усіх видів господарської діяльності підприємства.
На основі цих даних визначаються загальна сума прибутку підприємства, що переноситься до ф. № 2 "Звіт про фінансові результати", а також сума нерозподіленого прибутку (непокритого збитку), що переноситься до ф. № 1 "Баланс". Форма № 1 "Баланс" і ф. № 2 "Звіт про фінансові результати" - це основні джерела аналізу фінансових результатів.
Аналіз загальної суми прибутку підприємства здійснюють за таким алгоритмом: спочатку розраховують темп зростання прибутку за звітний рік порівняно з минулим роком, а потім цей показник - з даними плану (прогнозу) прибутку за звітний період. Такий аналіз доповнюють вивченням складових частин загальної суми прибутку, напрямів розвитку їх у звітному періоді, аналізом структури прибутку за звітний період.
Досконале вивчення та аналіз загальної суми прибутку на підприємстві здійснюють при використанні моделі економічного аналізу, яка основана на даних фінансової звітності і будується у формі таблиці.
За даними моделі аналізу загальної суми прибутку можуть бути три варіанти аналітичних висновків:
I. Загальна оцінка виконання плану прибутку.
II. Зміни окремих складових частин прибутку і вплив цієї зміни на загальну суму прибутку.
III. Зміна темпів зростання загальної суми прибутку через вплив окремих складових частий.
Аналіз фінансових результатів здійснюється на основі даних форми № 2 "Звіт про фінансові результати". [8]
У процесі аналізу фінансових результатів необхідно:
1) проаналізувати рівень і динаміку фінансових результатів;
2) оцінити темпи зростання прибутку в цілому та окремих його складових;
3) виявити чинники, що впливають на зміни прибутку, та визначити рівень їх впливу;
4) оцінити рівень рентабельності підприємства;
5) виявити резерви збільшення прибутку;
6) проаналізувати розподіл прибутку та оцінити його раціональність. [9]
1.2 Економічна суть майна підприємства, його структура і класифікація
Для здійснення господарської діяльності кожне підприємство повинно мати певне майно, яке належить йому на правах власності чи володіння. Усе майно, яке належить підприємству і яке відображено в його балансі, називають активами.
Активи - це економічні ресурси підприємства у формі сукупних майнових цінностей, які використовуються в господарській діяльності з метою отримання прибутку; це ресурси, контрольовані підприємством у результаті минулих подій, використання яких, як очікується, приведе до збільшення економічних вигід у майбутньому. [36]
Згідно з національною обліковою теорією головним критерієм відображення певних цінностей в активі балансу є право власності па них без будь-якого посилання на можливість одержувати економічні вигоди від використання активу в майбутньому. Право власності маг три форми свого прояву - право володіння, право користування і право розпорядження. Визначальним є право розпорядження. На практиці при складанні балансу згідно з Інструкцією про порядок заповнення форм річного бухгалтерського звіту підприємства право власності на майно реалізується не в усіх притаманних йому формах. Так, за статтею "Основні засоби" орендні підприємства відображають як власні, так і взяті в оренду цілісні майнові комплекси державних підприємств або їх структурних підрозділів, а також взяті у фінансову оренду основні засоби. Звичайно, орендні підприємства мають право володіти та користуватися орендованим майном, але не мають права вільно розпоряджатися ним. Проте навіть це неповне право дає суб'єктам власності можливість реалізувати її економічну суть - здійснювати привласнення результатів, пов'язаних з використанням майна. Водночас, Комітет з Міжнародних стандартів бухгалтерського обліку зазначає, що право власності не є суттєвим при визнанні активу в балансі. Головним с те, що підприємство контролює вигоди, отримані від використання цього майна, та переймає ризики, пов'язані з активом.
Безумовно, щоб підприємство нормально функціонувало, необхідна наявність певних засобів і джерел. Основні виробничі засоби, що складаються з будівель, споруд, машин, обладнання та інших засобів праці, які беруть участь у процесі виробництва, є найголовнішою основою діяльності підприємства. Без їх наявності навряд чи могло б що-небудь здійснитися. Природно, що для нормального функціонування кожного підприємства необхідні не тільки основні засоби, а п оборотні засоби, які являють собою передусім грошові засоби, які використовуються підприємством для придбання оборотних засобів і засобів обігу (рис 1.4). [22]
Рис.1.4 Схема структури активів підприємства
Маючи чітке уявлення про кожний елемент основних засобів у виробничому процесі, про їх фізичний та моральний знос, про чинники, які впливають на використання основних засобів, можна знайти методи, за допомогою яких підвищується ефективність використання основних засобів і виробничих потужностей підприємства, які забезпечують зниження витрат виробництва і, звичайно, зростання продуктивності праці.
Формування активів будь-якого підприємства пов'язане з трьома етапами його розвитку на різних стадіях життєвого циклу:
1. Створення нового підприємства. Це найбільш відповідальний та складний етап формування активів (процес першочергового їх формування), особливо при створенні великих підприємств. Сформовані на цьому етапі активи здебільшого визначають потребу в стартовому капіталі, умови генерування прибутку, швидкість обороту цих активів, рівень їх ліквідності.
2. Розширення, реконструкція та модернізація діючого підприємства. Цей етап формування активів можна розглядати як постійний процес його розвитку в розрізі основних стадій його життєвого циклу. Розширення та оновлення складу активів діючого підприємства здійснюється згідно зі стратегічними задачами його розвитку з урахуванням можливостей формування інвестиційних ресурсів.
3. Формування нових структурних одиниць діючого підприємства (дочірніх підприємств, філіалів та ін.). Цей процес може відбуватися шляхом формування нових структурних майнових комплексів (на базі нового їх будівництва) або придбання готової сукупності активів у формі цілісного майнового комплексу (варіантами такого придбання є приватизація діючого державного підприємства, купівля збанкрутілого підприємства). Другий та третій етапи формування активів являють собою форми інвестиційної діяльності діючого підприємства. [9]
Для забезпечення ефективної діяльності підприємства в майбутньому періоді процес формування його активів повинен носити цілеспрямований характер. Основною метою формування активів підприємства є виявлення та задоволення потреби в окремих їх видах для забезпечення операційного процесу, а також оптимізація їх складу для забезпечення умов ефективної господарської діяльності.
З урахуванням цієї мети, процес формування активів підприємства будується на основі таких принципів:
1. Врахування перспектив розвитку операційної діяльності та форм ЇЇ диверсифікації. Формування активів підприємства при його створенні підпорядковано насамперед задачам розвитку його операційної діяльності. При цьому слід мати на увазі, що на первинних стадіях життєвого циклу підприємства об'єм операційної діяльності зростає доволі високими темпами (за умови правильного вибору підприємством своєї ринкової позиції). Тому сформовані па первинній стадії активи підприємства повинні мати певний резервний потенціал, який би забезпечував можливості приросту продукції та диверсифікації операційної діяльності в майбутньому періоді.
2. Забезпечення співвідношення обсягу та структури сформованих актиній, обсягу га структури виробництва і збуту продукції. Таке співвідношення повинно забезпечуватись у процесі розробки бізнес-плану створення нового підприємства через визначення потреби в окремих видах активів.
3. Забезпечення оптимального складу активів з позицій ефективності господарської діяльності. Така оптимізація складу активів підприємства направлена, з одного боку, на забезпечення наступного повного корисного використання окремих їх видів, а з іншого - на підвищення сукупної потенційної їх здатності генерувати операційний прибуток. [37]
Процес цієї оптимізації здійснюється за трьома наступними етапами. На першому етапі оптимізується співвідношення сукупних розмірів необоротних та оборотних активів підприємства, які використовуються в процесі його операційної діяльності.
На другому етапі оптимізується співвідношення активної та пасивної частини необоротних активів. До активної частини необоротних активів виносять машини, механізми та устаткування, які безпосередньо задіяні у виробничому технологічному процесі. До пасивної частини необоротних операційних активів відносять будівлі та приміщення; машини та устаткування, які використовуються в процесі управління операційною діяльністю; нематеріальні активи, які обслуговують операційний процес.
На третьому етапі оптимізується співвідношення трьох основних видів оборотних активів: - суми запасів товарно-матеріальних цінностей: суми дебіторської заборгованості; суми грошових активів. [31]
Оптимізація складу необоротних та оборотних активів потребує врахування галузевих особливостей операційної діяльності, середньої тривалості операційного циклу на підприємстві, а також оцінки позиційних та негативних особливостей функціонування цих видів активів.
Отже, з урахуванням усіх розглянутих вище особливостей формування активів можна виділиш основні завдання, які ставить перед собою підприємство в процесі управління активами: як отримати найбільший прибуток при найменшому ризику; як забезпечити правильну структуру активів; як своєчасне отримати кошти; як збільшити продаж; як вести правильну інвестиційну стратегію; як розробити методику оптимального залучення фінансових ресурсів.
Активи підприємства розподіляються за різними класифікаційними ознаками (рис.1.5). [26]
Рис.1.5 Класифікація активів підприємства за основними ознаками
За формою функціонування виділяють:















