175860 (596112), страница 8
Текст из файла (страница 8)
У Додатку В наведені декларації по прибутку ЗАТ “Новий Стиль – Україна” за 2005 –2006 роки. В табл. 2.1 наведені основні дані по фінансовим показникам діяльності ЗАТ “Новий Стиль Україна” у 2005 –2006 роках.
Таблиця 2.1
Основні показники діяльності ЗАТ “Новий Стиль – Україна” у 2005 –2006 роках [54]
2.2 Основні характеристики діяльності цеха оснастки допоміжного виробництва ЗАТ “Новий стильУкраїна”
На рис. 2.1 наведена структура та чисельний склад персоналу цеху оснастки (інструментальний цех) допоміжного виробництва ЗАТ “Новий стиль Україна”. Аналіз чисельного складу персоналу цеху у 2006 році наведений у табл.2.2 [54].
Таблиця 2.2
Штатний склад інструментального цеху (2006 рік)
| Адміністрація: | 13 | шт.од |
| управлінський склад | 2 | шт.од |
| фахівці | 7 | шт.од |
| обслуговуючий персонал | 4 | шт.од |
| Основні робітники: | 0 | шт.од |
| Допоміжні робітники: | 40 | шт.од |
| УСЬОГО: | 53 | шт.од |
В табл.2.3 наведені тарифні ставки оплати праці персоналу в інструментальному цеху (цех оснастки) допоміжного виробництва ЗАТ “Новий стиль Україна” у 2 півріччі 2006 року.
В табл. 2.4 наведений состав основного металообробного обладнання інструментального цеху ЗАТ “Новий стильУкраїна”.
В табл. 2.5 наведений плановий бюджет витрат функціонування інструментального цеху (цеху оснастки) ЗАТ “Новий стильУкраїна” на 2 півріччя 2006 року
В табл. 2.6 наведені закази та вартість планових ремонтів технологічного обладнання основних цехів інструментальним цехом оснастки допоміжного виробництва на 2 півріччя 2006 року.
В табл. 2.7 наведені закази на розробку та створення нової технологічної оснастки для основних цехів інструментальним цехом допоміжного виробництва на 2 півріччя 2006 року.
Рис. 2.1. Структура та чисельний склад персоналу цеху оснастки
ЗАТ “Новий стиль Україна” [54]
Таблиця 2.3
Тарифні ставки оплати праці в цеху оснастки
Таблиця 2.4
Состав основного металообробного обладнання інструментального цеху ЗАТ “Новий стильУкраїна”
Таблиця 2.5
Таблиця 2.6
З
акази та вартість планових ремонтів технологічного обладнання основних цехів інструментальним цехом оснастки допоміжного виробництва на 2 півріччя 2006 року
Таблиця 2.7
З
акази на розробку та створення нової технологічної оснастки для основних цехів інструментальним цехом допоміжного виробництва на 2 півріччя 2006 року
Продовження табл.2.7
Рис.2.2. Планова структура витрат інструментального цеху допоміжного виробництва ЗАТ “Новий стиль Україна” у 2005 році
Рис.2.3. Планова структура витрат інструментального цеху допоміжного виробництва ЗАТ “Новий стиль Україна” у 2006 році
Р
ис.2.4. Порівняльні обсяги планових статей витрат інструментального цеху допоміжного виробництва
ЗАТ “Новий стиль Україна” у 2005 та 2006 роках
Таблиця 2.8
П
оказники формування заказу на попереджувально ремонтні роботи інструментального цеху ЗАТ “Новий Стиль” по підприманню працездатності інструмента та оснастки в основних цехах за липень 2006 року
Таблиця 2.9
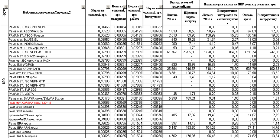
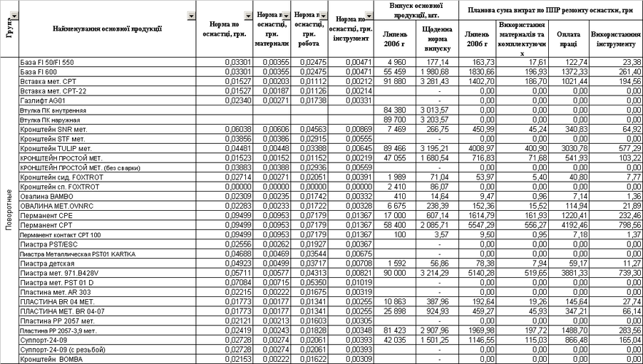
Ф
ормування переліку необхідної оснастки для виготовлення “Рама металева VENUS хромована” крісла керівника та основні вартісні показники врахування оснастки в вартості основного виробу ЗАТ “Новий СтильУкраїна”
Таблиця 2.10
Ф
ормування переліку необхідної оснастки для виготовлення “Рама металева VENUS чорна” крісла керівника та основні вартісні показники врахування оснастки в вартості основного виробу ЗАТ “Новий СтильУкраїна”
Таблиця 2.11
Ф
ормування переліку необхідної оснастки для виготовлення “Рама металева SYLWIA хром” крісла керівника та основні вартісні показники врахування оснастки в вартості основного виробу ЗАТ “Новий СтильУкраїна”
Таблиця 2.12
Ф
ормування переліку необхідної оснастки для виготовлення “Рама металева ASCONA” крісла керівника та основні вартісні показники врахування оснастки в вартості основного виробу ЗАТ “Новий СтильУкраїна”
Таблиця 2.13
Формування переліку необхідної оснастки для виготовлення “Рама BLUES,INDEX BL” крісла керівника та основні вартісні показники врахування оснастки в вартості основного виробу ЗАТ “Новий СтильУкраїна”
Р
ис.2.5. Нормування витрат при виготовленні комплектів оснастки для вироблення основної продукції на
ЗАТ “Новий Стиль – Україна”
2.3 Аналіз ефективності діяльності інструментального цеху оснастки допоміжного виробництва ЗАТ “Новий стиль Україна”
Аналіз ефективності діяльності інструментального цеху оснастки допоміжного виробництва ЗАТ “Новий стиль – Україна” проведемо по даним аналізу причин та суттєвості відхилень фактичних показників витрат від спланованого бюджету витрат цеху у 2005 році. При цьому враховується, що бюджет витрат за 2005 рік скорегований по фактичному обсягу запланованих робіт інструментального цеху (виготовлення нової оснастки та інструменту, а також ремонт та відновлення експлуатуємої оснастки та інструменту для основного виробництва).
В табл.2.14 – 2.44 та на рис.2.6 – 2.20 наведений помісячний аналіз рівня фактичних та плановобюджетних витрат і інструментальному цеху на протязі 2005 року. При цьому таблиці розбиті на 1е та 2е півріччя 2005 року, оскільки за результатами аналізу рівня та причин суттєвих відхилень фактичних показників від плановобюджетних за 1е півріччя, було прийняте рішення про корегування бюджетного плану витрат для інструментального цеху на друге півріччя 2005 року.
Окрім цього, за результатами аналізу 1го півріччя 2005 року була виявлена відсутність окремого обліку витрат інструментального цеху по статтям бюджетування витрат:
-
оренда приміщення та обладнання (необхідно зробити розподіл договорів оренди по підприємству);
-
облік фактично використаної електроенергії для роботи цеху ( необхідне встановлення окремих пристроїв обліку);
-
облік фактично використаного газу для отоплення цеху ( необхідне встановлення окремих пристроїв обліку);
-
відсутність окремого обліку амортизації основних засобів цеху (необхідно зробити розподіл основних засобів по підприємству та окремий облік);
Аналіз бюджетного кошторису фактичних та планових витрат по інструментальному цеху також виявив ряд необлікованих операцій при побудові схеми бюджетування, а саме:
відсутній бюджет планових норм витрат на допоміжні матеріали, які застосовуються в інструментальному цеху для виконання робіт;
відсутній бюджет планових норм витрат на технічне обслуговування та ремонти власного обладнання інструментального цеху для підтримки його працездатності;
відсутній бюджет планових норм витрат на технічне обслуговування та ремонти обладнання в цехах основного виробництва, яке виконується робітниками інструментального допоміжного цеху для підтримки працездатності обладнання основних цехів;
відсутній бюджет витрат на транспортні операції по закупці основних матеріалів виробництва в допоміжному інструментальному цеху, які є специфічними і не використовуються в основному виробництві;
відсутній бюджет витрат на утримання цехового та міжцехового транспорту та витрат на його експлуатацію і ремонт.
Станом на кінець 2005 року всі ці види витрат включалися до загального бюджету витрат ЗАТ “Новий стиль – Україна” за зведеними статтями “Витрати на утримання допоміжного виробництва (за фактом)”, тому бюджетний план в нижченаведених таблицях аналізу (табл.2.14 –2.44) аналізується з певними умовностями.
Так, наприклад, при відсутності пристроїв обліку є плановий рівень витрат на використання електроенергіїї та газу, а фактичний рівень враховується як “нульовий”, тобто виникає “псевдоекономія” по деяким статтям бюджету витрат цеху.
Таблиця 2.14
Відхилення фактичних витрат від помісячного нормативного бюджету по інструментальному цеху допоміжного виробництва ЗАТ “Новий Стиль Україна” у 2005 році (програмний комплекс “ФормСтиль”)
| № п/п | Найменування статті | Відхилення в грн. по місяцях(+ перевищення бюджету) | |||||
Січень | Лютий | Березень | Квітень | Травень | Червень | ||
| 1 | Фонд оплати праці, у тому числі: | 7 358,66 | 7 785,50 | 12 367,98 | 6 582,16 | 6 648,69 | 8 316,13 |
| 1.1. | витрати на оплату праці основних виробничих і допоміжних робітників з податками на фонд оплати праці. | 7 309,91 | 7 770,70 | 11 430,39 | 2 652,74 | 6 498,21 | 10 510,03 |
| 1.2. | витрати на оплату праці адміністрації з податками на фонд оплати праці. | 48,75 | 14,81 | 937,60 | 3 929,42 | 150,48 | 2 193,90 |
| 2 | Матеріальні витрати, у тому числі: | 4 344,66 | 13 141,95 | 9 468,26 | 8 625,75 | 2 059,29 | 4 191,52 |
| 2.1. | витрати основних матеріалів | 4 344,66 | 13 141,95 | 9 468,26 | 8 625,75 | 2 059,29 | 4 191,52 |
| 2.2. | витрати допоміжних матеріалів |
|
|
|
|
|
|
| 2.3. | інші прямі витрати |
|
|
|
|
|
|
| 3 | Амортизація |
|
|
|
|
|
|
| 4 | Транспортні витрати по закупівлі основних матеріалів |
|
|
|
|
|
|
| 5 | Технічне обслуговування, ремонти | 677,08 | 1 517,73 | 935,08 | 2 742,98 | 696,76 | 1 603,36 |
| 6 | Енергія, у тому числі: | 3 443,91 | 2 736,84 | 2 450,70 | 1 971,16 | 1 126,42 | 1 090,08 |
| 6.1. | електроенергія | 1 126,42 | 1 017,41 | 1 126,42 | 1 090,08 | 1 126,42 | 1 090,08 |
| 6.2. | газ, вугілля | 2 317,49 | 1 719,43 | 1 324,28 | 881,07 | ||
| 7 | Інструмент | 2 407,91 | 4 668,29 | 1 926,23 | 1 668,20 | 1 926,55 | 5 930,25 |
| 8 | Охорона праці | 190,98 | 315,94 | 421,12 | 258,94 | 106,04 | 1 437,81 |
| 9 | Транспортні витрати |
|
|
|
|
|
|
| 10 | Оренда | 13 481,51 | 13 481,51 | 13 481,51 | 13 481,51 | 13 481,51 | 13 481,51 |
| 11 | Інші | 891,20 | 734,53 | 5 322,60 | 4 713,13 | 2 049,52 | 1 857,38 |
|
| РАЗОМ | 7 606,88 | 1 058,33 | 8 786,44 | 201,76 | 6 825,72 | 10 017,13 |
Продовження табл. 2.14
| № п/п | Найменування статті | Месяц | Разом За рік | |||||
Липень | Серпень | Вересень | Жовтень | Листопад | Грудень | | ||
| 1 | Фонд оплати праці, у тому числі: | 4 894,97 | 2 759,33 | 5 631,46 | 2 960,81 | 5 439,12 | 11 937,00 | 71 418,90 |
| 1.1. | витрати на оплату праці основних виробничих і допоміжних робітників з податками на фонд оплати праці. | 5 472,31 | 3 758,52 | 5 535,89 | 59,70 | 2 323,49 | 7 274,05 | 59 404,76 |
| 1.2. | витрати на оплату праці адміністрації з податками на фонд оплати праці. | 577,34 | 999,19 | 95,58 | 3 020,51 | 3 115,63 | 4 662,95 | 12 014,14 |
| 2 | Матеріальні витрати, у тому числі: | 6 303,37 | 6 716,46 | 3 778,64 | 486,44 | 1 698,72 | 1 108,40 | 60 950,58 |
| 2.1. | витрати основних матеріалів | 6 303,37 | 6 716,46 | 3 778,64 | 486,44 | 1 698,72 | 1 108,40 | 60 950,58 |
| 2.2. | витрати допоміжних матеріалів |
|
|
|
|
|
|
|
| 2.3. | інші прямі витрати |
|
|
|
|
|
|
|
| 3 | Амортизація |
|
|
|
|
|
|
|
| 4 | Транспортні витрати по закупівлі основних матеріалів |
|
|
|
|
|
|
|
| 5 | Технічне обслуговування, ремонти | 1 333,18 | 1 325,38 | 967,63 | 744,73 | 1 618,63 | 1 485,43 | 15 647,98 |
| 6 | Енергія, у тому числі: | 1 126,42 | 1 126,42 | 590,04 | 502,30 | 699,62 | 811,58 | 12 468,41 |
| 6.1. | електроенергія | 1 126,42 | 1 126,42 | 590,04 | 678,95 | 937,68 | 1 190,64 | 5 432,37 |
| 6.2. | газ, вугілля | 176,65 | 238,06 | 379,06 | 7 036,04 | |||
| 7 | Інструмент | 3 288,43 | 4 960,77 | 517,54 | 2 874,99 | 888,60 | 1 167,90 | 15 638,73 |
| 8 | Охорона праці | 268,44 | 268,44 | 266,94 | 250,69 | 64,94 | 222,82 | 355,28 |
| 9 | Транспортні витрати |
|
|
|
|
|
|
|
| 10 | Оренда | 13 481,51 | 3 852,56 | 5 092,01 | 5 554,55 | 5 330,12 | 7 544,27 | 66 997,07 |
| 11 | Інші | 812,59 | 2 151,22 | 1 726,36 | 606,20 | 480,49 | 914,72 | 14 446,14 |
|
| РАЗОМ | 7 487,05 | 17 720,11 | 4 838,55 | 5 267,01 | 12 853,10 | 19 439,83 | 35 708,15 |
Таблиця 2.15















