175527 (596066), страница 2
Текст из файла (страница 2)
Важным показателем деятельности предприятий является качество продукции. Для отечественных предприятий подход к системе качества определяется наличием двух факторов: с одной стороны, постоянно растут требования заказчиков к качеству продукции, с другой — крайне медленно происходит переоснащение предприятий современной техникой. Проблема обеспечения оптимального уровня качества — одна из форм конкурентной борьбы, завоевания и удержания позиций на рынке. Высокий уровень качества способствует повышению спроса на продукцию и увеличению суммы прибыли не только за счет объема продаж, но и за счет более высоких цен.
Под качеством продукции понимают совокупность свойств продукции, обусловливающих ее пригодность удовлетворять определенные потребности в соответствии с назначением.
Качество — один из основных факторов, способствующих росту реализации и определяющих конкурентоспособность выпускаемой продукции и самого предприятия. Однако повышение качества, как правило, требует дополнительных затрат и увеличения себестоимости единицы продукции.
Различают обобщенные, индивидуальные и косвенные показатели качества продукции. Они характеризуют параметрические, потребительские, технологические, дизайнерские свойства изделия, уровень его стандартизации и унификации, надежность и долговечность.
К обобщающим показателям качества относят:- удельный и качественный вес продукции в общем объеме ее выпуска;- удельный вес продукции, соответствующей мировым стандартам;- удельный вес экспортируемой продукции, в том числе в высокоразвитые промышленные страны;- удельный вес аттестованной продукции.
Индивидуальные (единичные) показатели характеризуют одно из
следующих свойств:
• полезность;
• надежность;
• технологичность;
• эстетичность.
Косвенные показатели — штрафы за некачественную продукцию, удельный вес забракованной продукции, удельный вес зарекламированной продукции, потери от брака и др.
В процессе анализа качества:
• оценивается технический уровень продукции;
• выявляются отклонения технического уровня отдельных изделий по сравнению с базовым уровнем и теоретически возможным;
• анализируется структура выпуска по параметрам, характеризующим качество изготовления и поставки продукции;
• выявляются факторы, сдерживающие рост технического уровня продукции;
• обосновываются возможности повышения качества.
Для оценки выполнения плана по качеству используются следующие методы:
1) определяется средневзвешенный балл качества продукции и путем сравнения фактического и планового его уровня находится процент выполнения плана по качеству (балльный метод);
2) по продукции, качество которой характеризуется сортом или кондицией, рассчитывается доля продукции каждого сорта в общем объеме производства, средний коэффициент сортности, средневзвешенная цена изделия в сопоставимых условиях.
Долю каждого сорта в общем объеме продукции сравнивают с планом, а для изучения динамики качества — с данными прошлых лет.
Анализ обобщающих показателей качества продукции по первому методу представлен в таблице 1.
Таблица 1. Анализ обобщающих показателей качества продукции.
| Показатель | Прошлый год | Отчетный год | |
| план | факт | ||
| Средневзвешенный бал качества продукции | |||
| Удельный вес, % | |||
| Продукции высшей категории качества | |||
| Экспортируемой продукции | |||
| Забракованной продукции | |||
| Зарекламированной продукции | |||
Для обобщающей оценки выполнения плана по качеству продукции используют разные методы. Сущность балльного метода оценки состоит в определении средневзвешенного балла качества продукции, и путем сравнения фактического и планового его уровня находят процент выполнения плана по качеству.
Кроме того, оценка выполнения плана по качеству продукции производится по удельному весу забракованной и зарекламированной продукции.
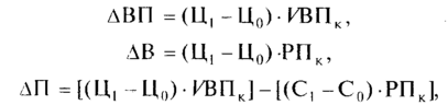
Качество продукции является параметр ом, оказывающим влияние на такие стоимостные показатели работы предприятия, как выпуск продукции (ВП), выручка от реализации (В), прибыль (П).
Изменение качества затрагивает прежде всего изменение цены и себестоимости продукции, поэтому формулы для расчета будут иметь вид:
где Ц0, Ц1 – соответственно цена изделия до и после изменения качества;С0, С1 – себестоимость изделия до и после изменения качества; VВПК - количество произведенной продукции повышенного качества; РПК - количество реализованной продукции повышенного качества.
В стоимостном выражении расчет влияния сортового состава продукций на объем ее производства определяется способом абсолютных разниц (табл. 2): изменение удельного веса по каждому сорту (Удi) умножается на цену соответствующего сорта (Цi), результаты складываются и умножаются на общий фактический выпуск данного вида продукции в натуральном выражении (КВПобш.ф.)5:
Впсорт=(Удi Цi) VВ Побщ.ф. (4)
Таблица 2. Оценка влияния сортового состава на изменение среднего уровня цены изделия.
| Сорт продукции | Цена, руб. | Структура продукции | Изменение средней цены, руб. | ||
| план | факт | +,- | |||
| Первый | |||||
| Второй | |||||
| Всего | |||||
Аналогично определяют изменение среднего уровня себестоимости изделия за счет изменения сортового состава. Расчеты делают по всем видам продукции с установленными сортами, а результаты обобщают.
Косвенным показателем качества продукции является брак.
Он делится на исправимый и неисправимый, внутренний (выявленный на предприятии) и внешний (выявленный у потребителя).
Выпуск брака ведет к росту себестоимости продукции и снижению объема товарной продукции, снижению прибыли и рентабельности.
В процессе анализа изучают динамику брака по абсолютной сумме и по удельному весу в общем объеме выпущенной продукции, определяют потери от брака и потери продукции.
При анализе качества продукции необходимо определить уровень ее качества.
Уровень качества — это относительная характеристика, основанная на сравнении значений показателей качества оцениваемой продукции с соответствующими показателями продукции, принятой в качестве базы для сравнения.
Уровень качества (УК) можно определить по формуле:
УК = q/qБ, (5)
где q, qБ – соответственно численные значения показателя качества оцениваемого образца и базового показателя.
Оценка качества продукции предполагает выполнение соответствия показателей качества продукции требованиям потребителей и выбор, в случае необходимости, направления улучшения его качества.
Качество определяется мерой соответствия товаров, работ, услуг условиям и требованиям: запросов потребителей; стандартов; договоров; контрактов.
Широкое применение в недавнем прошлом получила практика совмещения (сложения, умножения и т.п.) индивидуальных показателей характеристик качества. Каждый из способов совмещения имел итоговое наименование показателя качества — комплексный, групповой, обобщенный, интегральный. Различие при этом в размерности характеристик преодолевалось использованием безразмерных относительных (по отношению к объектам, взятым за базу) их значений. Относительная значимость характеристик учитывалась коэффициентами весомости. Однако характеристики несли с собой в формулах свою физическую сущность и приводили к нелепостям, когда, например, при одинаковых комплексных показателях качества один из сравниваемых автомобилей не мог двигаться, но имел более высокие показатели других характеристик.
В прошлое ушли аналитические попытки сравнения качества объекта с мировым уровнем качества аналогичных объектов или аттестации объектов по уровням качества с присвоением Знака качества. Были попытки объединения показателей качества и количества (кваливал, т.е. значение качества выражалось через влияние на его количество, например степень совершенствования тракторов оценивалась по возможному снижению при этом их количества для выполнения прежней работы).
Дифференциальный метод оценки качества промышленной продукции осуществляется путем сопоставления единичных показателей качества оцениваемых изделий с соответствующими показателями базового образца. При этом находят уровень характеристик каждого i-гo свойства.
или
где Рiоц — значение i-гo показателя свойств оцениваемого изделия; Piбаз — значение i-гo показателя свойств базового образца; n — количество принятых для оценки показателей.
Формулу (6) используют, когда увеличение численного значения показателя характеризует улучшение качества, а при ухудшении — формулу (7).
Итоговый показатель уровня качества продукции определяется как среднее арифметическое значение всех уровней свойств, т. е. по формуле:
(8)
Комплексный метод оценки качества заключается в том, что при расчете итогового показателя качества учитывается значимость (весомость) каждого показателя свойств как оцениваемого, так и базового (эталонного) образца.
Если Ук линейно (пропорционально) зависит от учитываемых Рi то определяют среднее взвешенное арифметическое значение уровня качества оцениваемой продукции:
Ук =
Рiоц /
Рiбаз (9)
где αi— коэффициент весомости каждого из Рi.
В случае, когда Ук нелинейно зависит от единичных показателей Рi, то вычисляют среднее взвешенное геометрическое значение уровня качества по формуле:
Ук =
Piαiоц /
Piαiбаз (10)
Смешанный метод численной оценки качества заключается в том, что вначале для группы не основных свойств, и существенно отличающихся по значимости, определяют обобщенный средневзвешенный показатель (комплексный метод), а потом, вместе с остальными, принимаемыми за равнозначимые, показателями находят итоговое среднее арифметическое значение Ук (дифференциальный метод).
Интегральный метод оценки уровня качества продукции считается экономическим. Интегральный показатель уровня качества это
(11)
Обобщенный интегральный показатель качества оцениваемого, а также базового образца рассчитывают как отношение суммарного полезного эффекта, выраженного в натуральных или денежных единицах измерения, от эксплуатации изделия W к затратам на его создание и эксплуатацию за определенный (или весь) срок службы:
(12)
где W — полезный эффект; Кс — суммарные капиталовложения, включающие цену, оплату за установку, наладку и другие работы; Зс — эксплуатационные расходы.
Экспертный метод общей оценки уровня качества продукции основан на использовании опыта и интуиции специалистов-экспертов. Он применяется тогда, когда нет необходимой количественной информации о свойствах оцениваемого или (и) базового образцов. Оценки выставляются экспертами в баллах, долях или процентах. Итоговый показатель уровня качества определяют как среднеарифметическое значение оценок всех экспертов.
По результатам анализа количественных оценок уровня качества продукции принимаются и реализуются соответствующие управленческие решения.
1.3 Анализ конкурентоспособности
Под конкурентоспособностью понимается совокупность качественных и стоимостных характеристик товара, способствующих созданию превосходства данного товара перед товарами-конкурентами в удовлетворении конкретной потребности покупателя.















