162391 (595369), страница 5
Текст из файла (страница 5)
Коэффициент котировки акции. Рассчитывается отношением рыночной цены акции к ее учетной (книжной) цене. Книжная цена характеризует долю собственного капитала, приходящегося на одну акцию. Она складывается из номинальной стоимости (т.е. стоимости, проставленной на бланке акции, по которой она учтена в акционерном капитале), доли эмиссионной прибыли (накопленной разницы между рыночной ценой акций в момент их продажи и их номинальной стоимостью) и доли накопленной и вложенной в развитие фирмы прибыли. Значение коэффициента котировки больше единицы означает, что потенциальные акционеры, приобретая акцию, готовы дать за нее цену, превышающую бухгалтерскую оценку реального капитала, приходящегося на акцию на данный момент.
В процессе анализа могут использоваться жестко детерминированные факторные модели, позволяющие идентифицировать и дать сравнительную характеристику основных факторов, повлиявших на изменение того или иного показателя.
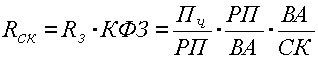
В основе приведенной системы действует следующая жестко детерминированная факторная зависимость:
,
где КФЗ - коэффициент финансовой зависимости, ВА - сумма активов предприятия, СК - собственный капитал.
Из представленной модели видно, что рентабельность собственного капитала зависит от трех факторов: рентабельности хозяйственной деятельности, ресурсоотдачи и структуры авансированного капитала. Значимость выделенных факторов объясняется тем, что они в определенном смысле обобщают все стороны финансово-хозяйственной деятельности предприятия, в частности бухгалтерскую отчетность: первый фактор обобщает форму №2 «Отчет о прибылях и убытках», второй - актив баланса, третий - пассив баланса.
Итак, рассмотренное множество методик анализа финансового состояния позволяет сделать вывод о том, что различные подходы применимы в разных ситуациях, т.е. в зависимости от цели и назначения анализа.
ГЛАВА 2. Анализ финансового положения ООО "Компакт"
2.1 Характеристика финансово-хозяйственной деятельности ООО «Компакт»
ООО «Компакт» является обществом с ограниченной ответственностью, юридический адрес которого: Россия, г. Барнаул. Дата государственной регистрации: 18 марта 2004г.
Основной государственный регистрационный номер 1044637028138. Отраслевая принадлежность - сельхозмашиностроение. Предприятие специализируется на выпуске запчастей к тракторам. Продукция, производимая ООО «Компакт», широко применяется в сельхозмашиностроении. Однако, в связи с недостаточным финансированием отрасли и неплатежеспособностью сельхозтоваропроизводителей перспектива устойчивого спроса на продукцию ООО проблематична.
Уставный капитал общества равен 25441580 рублей и составляется из номинальной стоимости долей его учредителей. Участниками общества являются:
ООО «Трактор» - 25,2 % уставного капитала
ООО «Мотор» - 23,58% уставного капитала
ООО «Обь» - 9,43 % уставного капитала
ООО «Машиностроитель» -8,53% уставного капитала
ОАО «Завод
Топливной аппаратуры» - 6,29 % уставного капитала
Группы компаний
«Алатйагромаш» - 0,03% уставного капитала
ООО «Гарантстрой» - 0,01% уставного капитала
ООО «Альфа» - 26,93% уставного капитала
Деятельность общества регулируется действующим законодательством, а также совокупностью подзаконных актов, регулирующих учредительную, функциональную, реорганизационную и ликвидационную деятельность общества.
Основными видами деятельности общества являются: производство и реализация запасных частей и принадлежностей к автомобилям и сельскохозяйственной технике, посредническая, внешнеэкономическая и другие. Общество является многопрофильным и, помимо основных, занимается торговлей, строительством, посредничеством и т.д.
Органами управления и контроля общества являются: общее собрание участников, совет директоров, генеральный директор, ревизионная комиссия (ревизор). Имущество общества составляют основные и оборотные средства, а также иные ценности, отражаемые на самостоятельном балансе общества. Имущество общества образуется от производственной, финансовой и иной коммерческой деятельности, взносов участников, добровольных пожертвований, продажи акций и ценных бумаг, средств и имущества, полученных от государственных, кооперативных и общественных организаций, частных лиц и иностранных фирм в качестве безвозмездной помощи или дотаций.
Финансовыми ресурсами общества являются: прибыль, амортизационные отчисления, а также другие поступления, не запрещенные законодательством. Неиспользованные финансовые средства в отчетном году переносятся на следующий год. При недостатке финансовых средств общество пользуется кредитом.
Из прибыли, полученной от деятельности общества, последнее формирует и пополняет резервный фонд общества, производит обязательные платежи. Размер ежегодных отчислений в резервный фонд составляет 5 процентов от чистой прибыли общества до достижения фондом размера 25 процентов от уставного капитала. Распределение прибыли между участниками общества определяется учредительными документами общества.
Предприятие специализируется на выпуске комплектующих изделий для сельскохозяйственного машиностроения (тракторы) и легкового автотранспорта: плунжерных пар, гидронатяжителей, гидротолкателей. В производстве используются сырье и материалы, производимые, в основном, на территории Российской Федерации.
Основные покупатели ООО "Компакт": ООО «Парголовский завод», ООО «Сервистехника, ООО «Резснаб», ИП Мириджанян, ООО «Алтайвтормет», ООО «Алтайагромаш», ООО «Карбон-Инвест», ООО «Гальванит» и др.
Основные поставщики ООО "Компакт»: ОАО «Энергосбыт», Санкт-Петербургский абразивный завод, «Инструмент-ПромТехника», «Киржачшский инструмент», ТП «Томский инструмент», «Белгородский инструмент», «Механик и К», «ЦентрМеталл», «ТехСервис» и др.
Основным рынком сбыта продукции также является Россия.
Фактором, влияющим на объем реализации является - сезонность. Наибольший потребительский спрос приходится на весенние - осенний периоды.
Выручка за 2006г от реализации продукции по основной деятельности составила 114 501 тыс.руб. Сумма дебиторской задолженности предприятия по состоянию на 31.12.200бг составила 109522 тыс. руб. или 70 % к оборотным активам. Сумма кредиторской задолженности предприятия по состоянию на 31.12.2006г составила 31776 тыс. руб. или 57% в активах предприятия.
За 2005г на предприятии была освоена новая продукция - плунжерная пара для автобуса «ПАЗ», автомобилей и автобусов «МАЗ», «КАМАЗ». Проделана определенная работа по улучшению качества выпускаемой продукции.
Предприятие работает на уровне 2006 г. Производство промышленной продукции обеспечивает потребительский спрос на запасные части к тракторам. По производству новой продукции - автомобильным плунжерным парам «Бычок», «Маз», «Камаз», освоенных в 2006г., - предприятие входит в рынок.
Рассмотрим производственный потенциал «КОМПАКТ», представленный в таблице 2.1.
Таблица2.1. Производственный потенциал ООО «Компакт»
| Показатели | 2005 | 2006 | 2007 | 2007 г. в % к 2006 г. | Абсолютные изменения |
| Стоимость капитала тыс. руб. | 12 | 9729,5 | 34335 | 352,90 | 24606 |
| Среднегодовая ст-ть осн. ср-в тыс.руб. | 54 | 461,5 | 812 | 175,95 | 350,5 |
| Численность работников человек | 652 | 610 | 467 | 76,56 | -143 |
| Стоимость оборотного капитала,тыс. руб. | 17002 | 54749 | 152749 | 279,00 | 98000 |
| Собственные оборотные средства тыс. руб. | -309 | 18339 | 31983 | 174,40 | 13644 |
Основным показателем, характеризующим финансовую устойчивость предприятия является собственные оборотные средства. Проанализировав табличные данные можно сделать вывод, что на предприятии произошло увеличение капитала. Собственный капитал увеличился в 3 раза, по сравнению с 2006г., что повлекло рост стоимость оборотного капитала. Среднегодовая стоимость основных средств возросла в 3 раза, что является положительным моментом. Собственный оборотный капитал увеличился в 2 раза, что составило 98 000. Собственные оборотные средства увеличились на 74%, что составило 13644 тыс. руб., за счет вклада в уставный капитал. В 2007 году наблюдается снижение численности на 143 человека. Бизнес любой сферы деятельности начинается с определенной суммы капитала, за счет которого приобретается необходимое количество ресурсов, организуется процесс производства и сбыт продукции.
Из данных таблицы 2.2 видим, что капитал общества в 2007г. сформирован на 78% за счет заемного капитала и 22% собственного капитала. В 2004г. свою деятельность общество начинало с заёмного капитала, его доля составляла 99,9%. В 2007 прослеживается увеличение собственного капитала на 176,6%, что составило 14888 тыс. руб., за счет взносов учредителей в уставный капитал. Увеличение заемного капитала в 2007г. по сравнению с 2005г. составило 334,2% или 85276 тыс. руб. Видим, что предприятию удалось привлечь капитал в размере 100164тыс. руб.
Таблица 2.2. Формирование капитала ООО «КОМПАКТ» в 2005-2007гг.
| Показатели | 2005 | Удельный вес 2005г. % | 2006 | Удельный вес 2006г. % | 2007 | Удель-ный вес 2007г. | Абсолют- ное изменение 2007г к 2006г. | Изменение 2007г к 2006г |
| Источники собственных средств тыс. руб. | 12 | 0,1 | 19447 | 34,8 | 34335 | 22,0 | 14888,0 | 177 |
| Долгосрочные пассивы, тыс. руб. | 317 | 1,8 | 4634 | 8,3 | 20023 | 12,8 | 15389,0 | 432 |
| Краткосрочные пассивы, тыс. руб. | 16994 | 98,1 | 31776 | 56,9 | 101663 | 65,2 | 69887,0 | 319 |
| Заемный капитал тыс.руб. | 17311 | 99,9 | 36410 | 65,2 | 121686 | 78,0 | 85276,0 | 334 |
| БАЛАНС | 17323 | 100,0 | 55857 | 100,0 | 156021 | 100,0 | 100164 | 279 |
Важнейшим показателем, характеризующим работу промышленных предприятий, является себестоимость продукции. От ее уровня зависят и финансовые результаты деятельности предприятия, темпы расширенного воспроизводства, финансовое состояние предприятия.
Затраты ООО «КОМПАКТ» представлены в таблице 3.
Таблица 2.3. Затраты на производство продукции в ООО «КОМПАКТ»
| Показатели | 2005 | 2006 | 2007 | 2007 г. в % к 2006 |
| Материальные затраты тыс.руб. | 9357 | 37758 | 31309 | 82,92 |
| Оплата труда тыс. руб. | 6446 | 23762 | 22477 | 94,59 |
| Отчисления от зарплаты | 2260 | 6251 | 5822 | 93,14 |
| Амортизация тыс. руб. | 16 | 183 | 150 | 81,97 |
| Прочие затраты тыс. руб. | 3878 | 31993 | 27955 | 87,38 |
| Всего затрат тыс. руб. | 21957 | 99947 | 87713 | 87,76 |
| Товарная продукция шт. | 19960 | 74657 | 75842 | 101,59 |
| Затраты на 1руб. ТП | 1,10 | 1,34 | 1,16 | 86,39 |
| Расход ЗП на 1 руб. ТП | 0,44 | 0,40 | 0,37 | 92,82 |
| Средняя зарплата руб. | 2650,5 | 3350,1 | 4154,5 | 124,01 |
| Производительность труда | 112,135 | 122,39 | 162,4 | 132,69 |
На предприятии наблюдается снижение затрат в 2007г. по сравнению с 2006г. Материальные затраты снизились на 17%, за счет снижения объема производства в количественном выражении в 2007г. Оплата труда снизилась на 5%, отчисления снизились на 2%, амортизация снизилась за 18%, прочие затраты на 13%.Затраты на 1руб. товарной продукции снизились на 14%. Средняя зарплата увеличилась на 24%, производительность труда на 32,7%
Таблица 2.4. Выпуск продукции ООО «Компакт»
| Показатели | 2005 | 2006 | 2007 | 2007 г. в % к 2006 |
| Плунжерная пара 4 УТНМ - 1 1 1 1 410-01 шт. | 143508 | 504200 | 406120 | 80,55 |
| Плунжерная пара 445 1 6С 1 5 шт. | 171408 | 411144 | 316600 | 77,00 |
| Плунжерная пара 16-67-102 СП шт. | 14244 | 40886 | 52180 | 127,62 |
| Плунжерная пара 16-67-108 СП шт. | 12216 | 40356 | 52140 | 129,20 |
| Гидронатяжитель 406. Г006 1 00-1 0 А шт. | 46176 | 85680 | 25440 | 29,69 |
| Себестоимость тыс. руб. | 18318 | 84509 | 110441 | 130,69 |
| Выручка тыс. руб. | 19965 | 91448 | 114501 | 125,21 |
По данным таблицы можно сделать следующие выводы. Объем производства в 2007 г. по отношению к 2006г. снизился по основным видам продукции. А именно, производство рентабельной Плунжерной пары 445 16С15 шт. на 30%, Плунжерная пара 445 16С15 шт.- 33%, Гидронатяжитель 40б.1006100-10Ашт. -71%. Себестоимость продукции возросла на 25932 тыс. руб. в связи с удорожанием материалов и составила, рост составил 31%. Выручка увеличилась на 25%, за счет роста цены на продукцию.













