162104 (595328), страница 8
Текст из файла (страница 8)
(у вигляді коефіцієнтів); (2.7)
(у вигляді процентів).
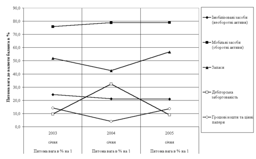
Аналіз результатів первинної статистичної обробки балансових звітів та звітів про фінансові результати діяльності ТОВ “Гідротехніка” за 2002 –2004 роки, наведених в таблицях А.1 – А.6 Додатку А, таблицях аналітичного групування агрегатів 2.1 – 2.2 та на графіках рисунків 2.1 – 2.2, показує:
валюта активів балансу у 2003 році зросла на + 89,12 % відносно рівня 2002 року, а у 2004 році ще зросла на + 55, 75 % відносно рівня 2003 року, таким чином валюта балансу за два роки зросла з 23,9 тис. грн.. до 70,4 тис. грн..;
необоротний капітал (основні фонди) підприємства займають значну долю 20,9 – 24,3 % в валюті балансу, тобто підприємство – виробничо-торгівельне, та має суттєву виробничу базу.
Таблиця 2.1 - Аналіз динаміки та структури майна ТОВ “Гідротехніка”
Динаміка структурної долі грошових коштів характеризується падінням з рівня 14,2 % (2002) до 4,0 % (2003) та нарощенням до 13,5% у 2004 році;
динаміка структурної долі запасів характеризується падінням з рівня 51,9 % (2002) до 42,5 % (2003) та нарощенням до 56,7% у 2004 році;
динаміка структурної долі дебіторської заборгованості характеризується нарощенням з рівня 9,6 %(2002) до 32,5%(2003) та падінням до рівня 8,9% у 2004 році;
Таким чином, для 2002 2004 років для активів підприємства характерні процеси відносно нестабільного регулювання структури активів балансу з різкими змінами структурних частин грошових агрегатів в залежності від циклів реалізації продукції та накоплення запасів для наступного цикла виготовлення продукції та її продажу.
Рисунок 2.1 - Динаміка структури агрегатів майна (активів) ТОВ “Гідротехніка”
Таблиця 2.2 - Динаміка джерел (ресурсів) підприємства ТОВ “Гідротехніка”
Як видно із даних таблиці 2.2 основними джерелами ресурсів підприємства ТОВ “Гідротехніка” є власний капітал та незначно позичені кошти у вигляді кредиторською заборгованості у 2004 році (рисунок 2.2):
доля власного капіталу поступово знижувалась з рівня 95,8 %(2002) до 88,5%(2003) та 88,8% (2004), при цьому зростання абсолютної суми власного капіталу відбулося з рівня 22,9 тис. грн. до 62,5 тис. грн.., тобто на +74,7% у 2003 році та ще на +56,2 % у 2004 році;
структурна доля власних оборотних коштів (власний капітал – необоротні активи балансу) з рівня 71,5% у 2002 році знизилась до рівня 67,3% у 2003 році та залишилась на рівні 67,9% у 2004 році;
Рисунок 2.2 - Динаміка структурних частин джерел ресурсів ТОВ «Гідротехніка”
Аналіз динаміки показників звітів про фінансові результати ТОВ “Гідротехніка”, наведених на рисунку 2.3 показує:
-
чисті обсяги реалізації продукції в 2002 – 2004 році нарощуються з рівня 260,9 тис. грн.(2002) до рівня 608,4 тис. грн. у 2003 році (зростання на +133,2 % відносно 2002 року) та до рівня 657,2 тис. грн. у 2004 році (зростання на 8,2% відносно 2003 року);
ланцюговий темп росту собівартості випуску та реалізації продукції становить + 105,4 % у 2003 році відносно 2002 та + 14,9 % у 2004 році відносно рівня 2003 року, що практично відповідає темпам росту обсягів доходів від реалізації;
темп росту фінансових результатів діяльності значно перевищує темпи росту валюти балансу, що свідчить про інтенсивний розвиток ділової діяльності підприємства, а темп росту чистого прибутку – нижче ніж темпу росту валюти балансу;
Рисунок 2.3 - Динаміка абсолютного росту валюти балансу та обсягів чистих доходів, витрат, валового прибутку від реалізації продукції в ТОВ “Гідротехніка”
2.3 Коефіцієнтний аналіз показників фінансової діяльності ТОВ “ГІДРОТЕХНИКА”
В таблицях Б.1 – Б.4 додатку В наведені алгоритми розрахунків показників рентабельності діяльності підприємства [48] з використанням форм фінансової звітності – Форма 1 “Баланс” та Форма 2 “Звіт про результати фінансової діяльності”.
В таблицях В.1 В.5 Додатку В наведені результати розрахунків коефіцієнтів діяльності підприємства ТОВ “Гідротехніка” в 2002 –2004 роках за алгоритмами, наведеними в таблицях Б.1 – Б.4 додатку В.
Рисунок 2.4 - Динаміка показників ліквідності балансу підприємства ТОВ „Гідротехніка”
Аналіз результатів вторинної (коефіцієнтної) статистичної обробки балансових звітів та звітів про фінансові результати діяльності ТОВ “Гідротехніка” за 2002 –2004 роки, наведений на рисунках 2.4 – 2.10.
Рисунок 2.5 - Динаміка рентабельності активів та власного капіталу підприємства ТОВ „Гідротехніка”
Аналіз графіків, наведених на рисунку 2.4 показує, що оскільки ТОВ “Гідротехніка” у своїй діяльності спирається тільки на власні джерела фінансових ресурсів – фактичні значення показників ліквідності в декілька разів перевищують нормативні значення (немає боргових залучених ресурсів).
Аналіз рентабельності активів та власного капіталу ТОВ „Гідротехніка” (рисунок 2.5) показує, що діяльність може бути охарактеризована як стабільно-прибуткова:
1. Ресурсо-віддача активів в чисту виручку у 20022004 роках знаходиться на дуже високому рівні 9,33 – 13,46;
2. Рентабельність активів та власного капіталу по валовому прибутку від реалізації (різниця між чистим доходом та собівартістю продукції):
-
у 2003 році різко зросла до рівня 201227 % у порівнянні з рівнем 2002 року 36,9 38,5 %;
-
а у 2004 році знизилась в два рази до рівня 88,9100,1%.
3. Рентабельність власного капіталу по чистому прибутку після оподаткування становить 34 – 49 %, що відповідає строку окупності власного капіталу 2,0 – 2,3 роки та є дуже інвестиційно-привабливими показниками на рівні альтернативної ставки депозитної доходності в 12 –14 % річних.
4. Рентабельність продаж по чистому прибутку після оподаткування знаходиться в дуже низькому діапазоні – 2,5 –3,5 %, що свідчить про надто велику собівартість продукції та велику долю торгових операцій по перепродажу товарів з мінімальною націнкою.
Рисунок 2.6 - Характеристики динаміки показників ділової активності ТОВ „Гідротехніка”
На рисунку 2.6 наведені характеристики ділової активності (швидкості обороту окремих характерних агрегатів активів та пасивів балансу) ТОВ „Гідротехніка”.
Як показано графіками на рисунку 2.6:
1. У 2003 році періоди обороту характерних агрегатів балансу в порівнянні з 2002 роком зменшились на (–15) – (25) %, але строк оборотності операційного та фінансового циклів залишився стабільним та дуже швидким – 20–21 день, що свідчить про пожвавлення ділової активності за рахунок відмічених раніше обсягів реалізації, але операційно-фінансовий процес реалізації залишився практично незмінним.
2. У 2004 році періоди обороту характерних агрегатів балансу в порівнянні з 2003 роком зросли на (+44) – (+80) %, а строк оборотності операційного та фінансового циклів зріс з рівня – 20–21 день (2003) до рівня 25 –28 днів, що свідчить про незначне зниження ділової активності за рахунок відміченого раніше росту обсягів реалізації.
Таким чином, підприємство ТОВ “Гідротехніка” характеризується дуже швидким циклом обороту агрегатів оборотного капіталу, характерним для оптових торгових підприємств.
Рисунок 2.7 - Динаміка показників покриття запасів джерелами ресурсів в ТОВ “Гідротехніка”
На рисунку 2.7 наведені результати аналізу джерел покриття запасів в ТОВ “Гідротехніка”. Як видно з графіків рисунку 2.7 ТОВ “Гідротехніка” має абсолютний рівень стійкості по покриттю запасів.
Таким чином, проведений аналіз діяльності та фінансового стану підприємства ТОВ “Гідротехніка” за перші три роки після створення (2002 – 2004 роки) показав, що:
-
підприємство за обсягами валюти балансу відноситься до малих підприємств, при цьому якості джерел ресурсів використовує власний капітал, який займає частку в 95 %(2002) – 88%(2004) валюти балансу;
-
джерелом росту власного капіталу з 22,9 тис. грн.(2002) до 62,5 тис. грн.(2004) є тільки зароблений прибуток підприємства (статутний фонд становить 11,8 тис. грн.);
-
оскільки підприємство практично не використовує залучений позиковий капітал його ліквідність та стійкість по покриттю запасів є абсолютною, при цьому не використовуються фінансові важелі позикового капіталу для нарощування темпів розвитку підприємства;
-
чисті обсяги реалізації продукції в 2002 – 2004 році нарощуються з рівня 260,9 тис. грн.(2002) до рівня 608,4 тис. грн. у 2003 році (зростання на +133,2 % відносно 2002 року) та до рівня 657,2 тис. грн. у 2004 році (зростання на 8,2% відносно 2003 року);
ланцюговий темп росту собівартості випуску та реалізації продукції становить + 105,4 % у 2003 році відносно 2002 та + 14,9 % у 2004 році відносно рівня 2003 року, що практично відповідає темпам росту обсягів доходів від реалізації;
темп росту фінансових результатів діяльності значно перевищує темпи росту валюти балансу, що свідчить про інтенсивний розвиток ділової діяльності підприємства, а темп росту чистого прибутку – нижче ніж темпу росту валюти балансу;
ресурсовіддача активів в чисту виручку у 2002 2004 роках знаходиться на дуже високому рівні 9,33 – 13,46;
рентабельність активів та власного капіталу по валовому прибутку від реалізації (різниця між чистим доходом та собівартістю продукції):
а) у 2003 році різко зросла до рівня 201227 % у порівнянні з рівнем 2002 року 36,9 38,5 %;
б)у 2004 році знизилась в два рази до рівня 88,9100,1%.
рентабельність власного капіталу по чистому прибутку після оподаткування становить 34 – 49 %, що відповідає строку окупності власного капіталу 2,0 – 2,3 роки та є дуже інвестиційно-привабливими показниками на рівні альтернативної ставки депозитної доходності в 12 –14 %.
рентабельність продаж по чистому прибутку після оподаткування знаходиться в дуже низькому діапазоні – 2,5 –3,5 %, що свідчить про надто велику собівартість продукції та велику долю торгових операцій по перепродажу товарів з мінімальною націнкою.















