161560 (595224), страница 12
Текст из файла (страница 12)
- виконанням нормативу фінансової стійкості ;
- нестачею з власних оборотних коштів, оскільки весь власний капітал є забезпеченням необоротних активів;
Рентабельності активів та власного капіталу в ТОВ “УНІРЕМ-АГРО” за 2002 –2004 роки характеризується зниженням всіх показників рентабельності у 2003 році на 20–60% при різкому рості валюти балансу та стабілізацією досягнутих рівней рентабельності 2003 року і в 2004 році при додатковому невеликому рості валюти балансу.
При цьому досягнуті рівні рентабельності 2004 року становлять :
рентабельність активів по валовому прибутку – 6,8%;
рентабельність власного капіталу по валовому прибутку – 12,93%;
що на рівні альтернативної прибутковості капіталу по депозитним ставкам банків (12 –14 %) робить підприємство інвестиційно привабливим, хоча період окупності власного капіталу становить 8,7 років, що привабливо тільки для довгострокових інвестицій.
Стан показників ділової активності в ТОВ “УНІРЕМ-АГРО” за 2002 –2004 роки характеризується :
різким підвищенням строків оборотності агрегатів активів та пасивів у 2003 році в 2-3 рази при різкому зростанні валюти балансу, що характеризує зниження темпів ділової активності;
реалізацією у 2004 році більш швидкої оборотності основних агрегатів балансу та ліквідація різкого росту кредиторської заборгованості переходом на видачу векселів;
Показники використання активів та основних засобів в ТОВ “УНІРЕМ-АГРО” за 2002 –2004 роки характеризується: зниженням практично в 2 рази рівней фондовіддачі основних засобів в виручку та рівня трансформації активів у виручку від реалізації продукції з рівня 0,45 –0,58(2002 рік) до 0,24-0,35 (2004 рік), що характеризує екстенсивний шлях розвитку підприємства; низким рівнем зносу основних фондів (11-16%) при різкому їх оновленні на 57,5 % у 2003 році, тобто основні фонди характеризуються як нові( при зносі до 25%).
Рівень характеристик фінансової стійкості по покриттю запасів в ТОВ “УНІРЕМ-АГРО” за 2002 –2004 роки свідчить про кризисну нестачу власного капіталу та довгострокових банківських кредитів для покриття запасів, що загрожує кризовим фінансовим станом при сбоях в реалізації продукції.
Сумарне процентне навантаження податків в собівартості на чистий прибуток зросло з 4,7% у 2002 році до 6,6% у 2004 році, в основному за рахунок зборів в пенсійний фонд із зростаючого фонду оплати праці найманих праців-ників.
Процентне навантаження фіксованого сільгоспподатку в собівартості на чистий прибуток становить від 1,0 до 1,5% від чистого прибутку.
Розділ 3. Шляхи вдосконалення механізму оподаткування сільськогосподарських підприємств
3.1 Динаміка структурної долі фіксованого сільськогосподарського податку в податкових надходженнях по ДПІ в м.Дніпродзержинську та по Дніпропетровській області
В табл.3.1 наведені статистичні результати аналізу надходжень до місцевих бюджетів у 2004 році по Дніпропетровській області, в якій динаміка загаль-ної чисельності платників податків у 2002 –2004 роках становить:
а) В Дніпропетровській області :
зареєстрованих платників податків – юридичних осіб – 60 431 у 2002 році та 58890 у 2004 році;
з них фактично сплачували податки (юридичні особи) – 40 772 у 2002 році та 44874 у 2004 році;
зареєстрованих платників податків – фізичних осіб(підприємців) –
124 698 у 2002 році та 93 326 у 2004 році;
з них фактично сплачували податки (фізичні особи- підприємці) – 109070 у 2002 році та 73 762 у 2004 році;
б) В ДПІ у м.Дніпродзержинську :
зареєстрованих платників податків – юридичних осіб – 4 139 у 2002 році та 3 257 у 2004 році;
з них фактично сплачували податки (юридичні особи) – 2 791 у 2002 році та 1 493 у 2004 році;
зареєстрованих платників податків – фізичних осіб(підприємців) – 11473 у 2002 році та 10 011 у 2004 році;
з них фактично сплачували податки (фізичні особи- підприємці) – 10744 у 2002 році та 6 875 у 2004 році;
Станом на 01.01.2005 року в Дніпропетровській області зареєстровано 3021 сільськогосподарський суб”єкт підприємницької діяльності, який вико-ристовує спрощену систему оподаткування – фіксований сільськогосподарсь-кий податок (або 5,14 % від загальної чисельності СГД-юросіб в області).
Якщо ставки земельного податку з одного гектара сільськогосподарських угідь установлено ч. 1 ст. 6 Закону „Про плату за землю” у відсотках від їх грошової оцінки у розмірах:
– для ріллі, сіножатей, пасовищ – 0,1 %;
– для багаторічних насаджень – 0,03 %,
То ставки фіксованого сілськогосподарського податку з одного гектара сільськогосподарських угідь установлено Законом „Про фіксований сільсько-господарський податок” у відсотках від їх грошової оцінки у розмірах:
– для ріллі, сіножатей, пасовищ – 0,15 %;
– для багаторічних насаджень – 0,09 %.
Таким чином ФСП, аналогічно земельному податку, має природу рент-ного податка з нормативної родючості сільськогосподарських угідь та погли-нає в собі земельний податок, як одну - дві третини від ФСП.
Станом на 01.02.2005 року по Дніпропетровській області 406 СГД мали недоїмку по фіксованому сільськогосподарському податку на загальну суму (-1 576 366 грн.), а інші СГД мали сумарну переплату по ФСП на суму (+888 594 грн.).
Нарахована сума ФСП за 2004 рік становить по області 9 025,13 тис.грн., загальна фактично зібрана у місцеві бюджети сума ФСП у Дніпропетровській області за 2004 рік склала – 8 781,13 тис.грн., що при загальній сумі надход-жень до місцевих бюджетів області у 2004 році - 776 627,02 тис.грн. становить структурну долю 1,13%. Надходження ФСП до ДПІ у м.Дніпродзержинську становили 3,44 тис.грн., а надходження ФСП до МДПІ у Криничанському районі, де діє сільськогосподарська дільниця (смт. Адамівна) досліджуємого ТОВ “УНІРЕМ-АГРО”, становить 546,93 тис.грн..
В табл.Ж.1, Ж.2 Додатку Ж наведені статистичні таблиці по плановій мобілізації податків у розрізі структури податків, територіального розподілу по Дніпропетровській області та розподілу в Державний бюджет України і місцеві бюджети.
Планова сума фіксованого сільськогосподарського податку на 2005 рік по Дніпропетровській області складає 8 941,33 тис.грн., при цьому 100% цього податку у 2005 році надходить до місцевих бюджетів.
Планова сума доходів місцевих бюджетів Дніпропетровської області на 2005 рік складає 2 055 203,42 тис.грн., планова сума доходів держбюджету з Дніпропетровської області становить 3 990 965,4 тис.грн..
Таким чином, структурна доля ФСП в місцевих бюджетах Дніпропетров-ської області на 2005 рік складає 0,435% , а доля ФСП у зведеному бюджеті Дніпропетровської області зовсім незначна та складає 0,147%.
З погляду податкової адміністрації витрати на окреме адміністрування такої незначної суми фіксованого сільськогосподарського податку з врахуванням “тонкощів” контролю та перевірок є недоцільним.
Розглянемо ефективність фіксованого сільгоспподатку з погляду сільгоспвиробника.
В додатку І викладенаеконометрична модель розрахунку прибутку сіль-госппідприємства та сумарного податкового навантаження при різних моделях оподаткування :
стандартна схема оподаткування +ПДВ;
схема оподаткування при єдиному налогу 6% від чистого валового доходу + ПДВ;
спрощена схема податкування сільгоспвиробників фіксованим сільськогосподарським податком (ФСП) + ПДВ;
3.2 Порівняльний аналіз загального порядку оподаткування та впливу продовження існування фіксованого сільськогосподарського податку на ефективність роботи сільгоспвиробника (на прикладі ТОВ “УНІРЕМ-АГРО”)
Для виявлення ефективності застосування фіксованого сільгоспподатка для сільгоспвиробника проведемо модельний економетричний аналіз на ПЕОМ (програмне середовище “електронних” таблиць EXCEL-2000) результатів фі-нансової діяльності ТОВ “УНІРЕМ-АГРО” в 2002 – 2004 р.р. при застосуванні :
а) Вихідного варіанту № 1 (Додаток І):
– сплати фіксованого сільгоспподатку незалежно від результатів діяльності (рентна плата з сільгоспугідь);
- сплата всіх додаткових податків (за забруднення навколишнього середовища, зборів в пенсійно-соціальні фонди) з валового операційного доходу (стаття - інші витрати);
б) Варіант стандартного оподаткування № 2 (Додаток І):
- сплата податку на отриманий валовий прибуток за ставкою 25% взалежності від результатів діяльності;
- сплата всіх податків та зборів (податок на землю, за забруднення навколишнього середовища, зборів в пенсійно-соціальні фонди) за рахунок валових витрат в собівартості;
в) Варіант сплати єдиного податку 6% +ПДВ (№ 3) (Додаток І):
- сплата єдиного податку на валовий дохід по ставці 6% в залежності від результатів діяльності;
- сплата всіх додаткових податків та зборів (зборів в пенсійно-соціальні фонди за найманих працівників) за рахунок операційного доходу (стаття - інші витрати);
В табл.3.2, 3.3 наведені результати моделювання фінансових результатів діяльності ТОВ “УНІРЕМ-АГРО” за модельними варіантами № 2 та № 3, варіант № 1 є фактичними результатами оподаткування ФСП.Таблиця 3.2
Моделювання фінансових результатів ТОВ “УНІРЕМ-АГРО” при стандартній схемі сплаті податку на прибуток та сплаті податків на землю і зборів в пенсійно-соціальні фонди (№ 2)
Таблиця 3.3
М
оделювання фінансових результатів ТОВ “УНІРЕМ-АГРО”при схемі сплаті єдиного податку 6%+ПДВ та сплаті зборів в пенсійно-соціальні фонди (№ 3)
Н
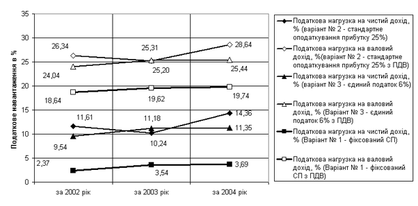
а рис.3.1 наведені результати порівняльного аналізу ефективності застосування для сільгоспвиробника варіанту оподаткування за фіксованим сільгоспподатком та за модельними варіантами № 2 та №3 (табл.3.2, 3.3).
Рис.3.1 Порівняльний аналіз податкового навантаження на чистий прибуток та валовий дохід при схемах оподаткування ТОВ “УНІРЕМ-АГРО” за варіантами № 1 (фіксований СП +ПДВ), № 2 (стандартне оподаткування прибутку+ПДВ) та № 3 (єдиний податок 6%+ПДВ)
Як показує аналіз графіків рис.3.1, при моделюванні схеми стандартного оподаткування діяльності ТОВ “УНІРЕМ-АГРО”(варіант №2) податкова нагрузка на валовий дохід становитиме (з врахуванням ПДВ) :
- 25,2% - 28,6%;
При моделюванні схеми єдиного податку 6%+ПДВ оподаткування діяльності ТОВ “УНІРЕМ-АГРО”(варіант № 3) податкова нагрузка на валовий дохід становитиме (з врахуванням ПДВ):
- 24,0 % - 25,4% (тобто на 1,2 –3,2% менше, ніж при стандартному оподаткуванні);
При фактично використовуємій схемі фіксованого сільськогосподарсь-кого податку при оподаткуванні діяльності ТОВ “УНІРЕМ-АГРО”(варіант №1) податкова нагрузка на валовий дохід становить (з врахуванням ПДВ):
- 18,6 % - 19,6% (тобто на 6,6 – 9,0% менше, ніж при стандартному оподаткуванні);
Враховуючи, що чистий дохід в ТОВ “УНІРЕМ-АГРО” при оподаткуванні за схемою фіксованого СП становить 28,1%(2002) – 20,9%(2004) від валового доходу, можна констатувати, що одна третина чистого доходу в ТОВ “УНІРЕМ-АГРО” реалізується за рахунок застосування спрощеної системи фіксованого сільськогосподарського податку та запезпечує стійку прибуткову та вискорентабельну роботу сільськогосподарського підприємства.
Таким чином, продовження Верховною Радою України дії спрощеної форми оподаткування – Закону України “Про фіксований сільськогосподар-ський податок” – з 2005 до 2009 року слід класифікувати як вагомий вклад в підтримку розвитку вітчизняних сільгоспвиробників та сільського господарства України.















