161558 (595223), страница 10
Текст из файла (страница 10)
Аналіз фінансово-економічного стану підприємства і керування його фінансами проводиться на основі його фінансових звітів [23,c.5]. Метою фінансових звітів є структурована економічна інформація про фінансовий стан, результати діяльності і зміни у фінансовому стані підприємства, що є корисної для менеджменту підприємства у прийнятті ними економічних рішень :
Форма №1 “Баланс” – звіт про фінансовий стан, що відображає активи, зобов'язання і капітал підприємства на встановлену дату [24, c.3].
Форма №2 “Звіт про фінансові результати”, що містить дані про доходи, витрати і фінансові результати діяльності підприємства за звітний і попередній періоди [25, c.3].
У табл. В.1, В.2 Додатку В приведена динаміка статей балансу ТОВ “УНІРЕМАГРО” за 2003 2005 роки та динаміка статей звітів про фінансові результати за 2003 2005 роки.
На рис.2.5 – 2.6 наведені результати аналізу динаміки структури статей активів та пасивів балансу ТОВ “УНІРЕМАГРО” за 2003 2005 роки.
Як видно з аналізу графіків рис.2.5 – 2.6 :
-
статутний капітал займає долю 40,16%(2003) – 52,98%(2005) в структурі джерел (пасивів) та відіграє суттєву роль в діяльності підприємства;
-
більше половини основних джерел в пасивах займає власний капітал, тобто статутний +додатковий накопичений за роки роботи капітал, доля якого становить:
а) 78,76 % пасивів в 2003 році, і який на 97 % вкладений в необоротні активи, які займають долю 77,78% в балансі активів;
б) 66,3 % пасивів в 2005 році, і який на 85% вкладений в необоротні активи, які займають долю 54,6% в балансі активів;
Рис.2.5. Структура статей активів та пасивів балансу ТОВ “УНІРЕМАГРО” за 2003 рік
Рис.2.6. Структура статей активів та пасивів балансу ТОВ “УНІРЕМАГРО” за 2004 рік
Рис.2.7. Структура статей активів та пасивів балансу ТОВ “УНІРЕМ АГРО” за 2005 рік
У табл.В.3, В.4 Додатку В представлені результати вертикального і горизонтального аналізу балансів підприємства ТОВ «УНІРЕМАГРО» за 2003 2005 роки , що дозволяють аналізувати як динаміку зміни сум статей балансу підприємства протягом року по кварталах, так і досліджувати зміну внутрішньої структури статей балансу [39, c.35].
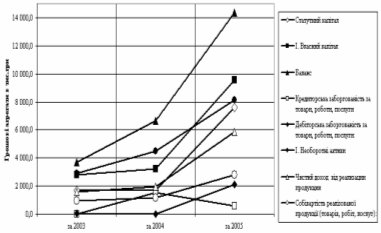
Порівняльний аналіз динаміки змін агрегатів пасиву балансів ТОВ “УНІРЕМАГРО” у 2003 – 2005 роках (рис.2.8) дає наступні результати : у 2003 –2004 роках при загальному рості валюти балансу на +78,9 % (з 3,71 млн.грн. до 6,63 млн.грн.), власний капітал зріс на + 13,6 % (з 2,823 млн.грн. до 3,208 млн.грн.) за рахунок прибутку 2004 року в 0,38 млн.грн. та переведення всієї суми прибутку 2003 року в статутний та резервний капітали;
-
у 2004 –2005 при продовженні загального росту валюти балансу на +116,32 % (з 6,63 млн.грн. до 14 346,91 млн.грн.), власний капітал зріс на +198,1 % (з 3,2 млн.грн. до 9,56 млн.грн.) за збільшення статутного фонду з 1,67 млн.грн. до 7,6 млн.грн. та переведення капіталізованої частини прибутку 0,428 млн.грн. в резервні фонди власного капіталу;
-
у 2003 –2005 роках структурна доля довгострокових кредитів банків, які прирівнюються за стійкістю до власного капіталу становила 22,1% (2003), 21,1% (2004) та 11,6%(2005) від валюти балансу;
-
у 2003 –2005 роках структурна доля короткострокових кредитів банків, становила 0% (2003), 7,5% (2004) та 7,8%(2005) від валюти балансу, обсяги короткострокових кредитів у 2005 році досягли 1,1 млн.грн.;
-
у 2003 –2004 кредиторська заборгованість різко зросла з 2 тис.грн. (2003) до 1,5 млн.грн. (2004 рік), зайнявши долю в 22,74% від валюти баланса, але у 2005 році кредиторська заборгованість різко впала до 0,57 млн.грн., оскільки підприємство перейшло на видачу векселей при погашенні кредиторської заборгованості, яких було у 2005 році видано на суму 1,2 млн.грн., що становить долю в 8,4 % від валюти балансу;
У такий спосіб підприємство ТОВ “УНІРЕМАГРО” в 2003 – 2005 роках максимально впроваджує у своїй діяльності механізми фінансових важелів у вигляді довгострокових банківських позичкових коштів та комерційних позичок (видані векселі та кредиторська заборгованість).
Рис.2.8. Динаміка основних статей балансу та фінансових результатів в ТОВ “УНІРЕМАГРО” 2003 –2005 роки
Порівняльний аналіз динаміки змін агрегатів активу балансів ТОВ “УНІРЕМАГРО” у 2003 – 2005 роках (рис.2.5 2.7) дає наступні результати:
-
в 2004 році необоротні активи зросли на +55,1% відносно рівня 2003 року за рахунок руху основних фондів(з 2,88 млн.грн. до 4,48 млн.грн.), в 2005 році необоротні активи відносно рівня 2004 році додатково зросли на +81,93%(з 4,48 млн.грн. до 8,16 млн.грн);
-
рух основних фондів за рахунок придбання сільськогосподарської техніки дуже інтенсивний, при цьому знос за 2004 рік зріс на 73,4% відносно зносу 2003 року, а у 2005 році знос зріс ще на 40% відносно рівня 2004 року, одначе при цьому придбання(оновлення) основних засобів значно випереджало темпи росту зносу основних фондів;
-
в 2004 році доля необоротних фондів в валюті балансу активів зменшилась з 77,7 % (2003) до 67,6% (2004) та додатково зменшилась до рвня 56,9% у 2005 році, тобто основні фонди займають більше половини активів балансу, що характерно для сільськогосподарських підприємств;
-
в 2004 році доля виробничих запасів в валюті балансу активів становила 0,75%, що дорівнює долі запасів у 2003 році, а у 2005 році доля виробничих запасів підвищилась до 1,42% від валюти балансу;
-
в 2004 році доля незавершеного виробництва в валюті балансу активів зменшилась до 7,3%, при рівні 15,1% у 2003 році, а у 2005 році доля незавершеного виробництва зменшилась до рівня 4,35% від валюти балансу;
-
в 2004 році доля готової продукції в валюті балансу активів зросла з 4,0%(2003 базовий період) до 5,41% при зростанні суми готової продукції на + 141,4% (з 0,149 млн.грн. до 0,359 млн.грн.), в 2005 році доля готової продукції в валюті балансу активів впала до 3,1%(при абсолютному рості з 0,359 млн.грн. до 0,442 млн.грн.);
-
в 2004 році ТОВ “УНІРЕМАГРО” активно почало впроваджувати реалізацію сільськогосподарської продукції бартерним обміном на промислові товари, які потім реалізовувало. Так у 2004 році доля товарів з нульової відмітки 2003 року піднялася до 15,1% від валюти балнсу (1,0 млн.грн.), а у 2005 році залишилася на рівня 14,7% від валюти балансу, при цьому обсяг товарів зріс до 2,1 млн.грн.;
-
в 2004 році доля дебіторської заборгованості за відпущену продукцію зменшилась в валюті балансу активів з 1,0%(2003 базовий період) до 0,3%, в 2005 році доля дебіторської заборгованості за відпущену продукцію підвищилась до 14,8 % , та на фоні бартерного товарного обміну займає практично 50% обороту;
Таким чином, проведений аналіз активів валюти балансу свідчить, що зростання валюти балансу пропорційно зростанню основних необоротних фондів, а в структурі оборотних фондів реалізована 50%бартерна схема реалізації продукції та 50% грошова реалізація через дебіторську заборгованість.
При аналізі фінансових результатів діяльності використані Положення (стандарт) бухгалтерського обліку "Звіт про фінансові результати" (Форма 2), що обумовлюють зміст і форму Звіту , а також загальні вимоги до розкриття його статей [25, c.4].
Результати вертикально-горизонтального аналізу звіту про фінансові результати за 2004 рік та , відповідно, за 2003 рік (базовий) наведені в табл.В.5 Додатку В, результати 2005 року та , відповідно, за 2004 рік (базовий) – в табл. В.6 Додатку В. Характер динаміки зміни показників доходів та витрат у 2003 – 2005 роках наведений в діаграмах рис.2.9,2.10.
Як показує аналіз графіків рис.2.9, 2.10 у 2003 – 2005 роках при загальному зростанні валюти балансу у підприємства зафіксовано зростання обсягів реалізації продукції, що є позитивним ефектом розвитку підприємства ТОВ “УНІРЕМАГРО”.
Використовуючи алгоритми розрахунків показників діяльності підприємства [35, c.26] з використанням форм фінансової звітності – Форма 1 “Баланс” та Форма 2 “Звіт про результати фінансової діяльності” в “електронних” таблицях EXCEL2000 розраховані коефіцієнти – показники фінансового стану дочірнього ТОВ “УНІРЕМАГРО” за 2003 –2005 роки (Додаток Д) та наведені графіками на рис.2.11 – 2.16.
Рис.2.9. Динаміка та структура витрат (долі в формуванні собівартості) в ТОВ “УНІРЕМАГРО” за 2003 –2005 роки
Рис.2.10. Динаміка та структура формування прибутку в ТОВ “УНІРЕМАГРО” за 2003 –2005 роки
Рис.2.11. Динаміка стану виконання нормативів ліквідності в ТОВ “УНІРЕМАГРО” за 2003 –2005 роки
Динаміка стану виконання нормативів ліквідності в ТОВ “УНІРЕМАГРО” за 2003 –2005 роки (Рис.2.11) характеризується :
виконання нормативу загальної ліквідності (>1,0);
-
катастрофічним невиконанням нормативів строкової та моментальної ліквідності, що пов’язано з переходом на бартерну систему реалізації продукції з доплатами грошами, які тут же використовували на покриття кредиторської заборгованості та оплату векселів у 2004 році;
-
відновленням виконання нормативів строкової та моментальної ліквідності у 2005 році, що пов’язано з нарощуванням статутного та власного капіталу;
Рис.2.12. Динаміка стану виконання нормативів фінансової стійкості в ТОВ “УНІРЕМАГРО” за 2003 –2005 роки
Динаміка стану виконання нормативів фінансової стійкості в дочірньому ТОВ “УНІРЕМАГРО” за 2003 –2005 роки (Рис.2.12) характеризується :
зниженням запасу коефіцієнту фінансової незалежності у 2004 році до нижньої границі нормативу (>0,5) та відновленням показника в нормативному діапазоні у 2005 році;
виконанням нормативу фінансової стійкості ;
нестачею власних оборотних коштів у 2004 році, оскільки весь власний капітал є забезпеченням необоротних активів, та появою у 2005 році необхідного обсягу власних коштів;
Рис.2.13. Динаміка рентабельності активів та власного капіталу в ТОВ “УНІРЕМАГРО” за 2003 –2005 роки
Динаміка рентабельності активів та власного капіталу в ТОВ “УНІРЕМАГРО” за 2003 –2005 роки (Рис.2.13) характеризується зниженням всіх показників рентабельності у 2004 році на 20–60% при різкому рості валюти балансу та підвищенням у 2005 році рівней рентабельності на 20 50% відносно рівня 2004 року.
При цьому досягнуті рівні рентабельності 2005 року становлять :
-
рентабельність активів по валовому прибутку – 21,1%;
-
рентабельність власного капіталу по валовому прибутку – 31,63%;
що на рівні альтернативної прибутковості капіталу по депозитним ставкам банків (12 –14 %) робить підприємство інвестиційно привабливим, хоча період окупності власного капіталу становить 4,6 років, а активів – 6,9 років, що привабливо тільки для довгострокових інвестицій.
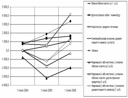
Рис.2.14. Характеристики фінансової стійкості по покриттю запасів в ТОВ “УНІРЕМАГРО” за 2003 –2005 роки















