160290 (595074), страница 6
Текст из файла (страница 6)
Таблиця 2.1
Основні результативні показники діяльності банків
| Показники | 01.01.03 | 01.01.04 | 01.01.05 | 01.01.06 | 01.01.07 |
| Рентабельність капіталу | -0,45 | 7,50 | 7,97 | 7,61 | 9,36 |
| Рентабельність активів | -0,09 | 1,27 | 1,27 | 1,04 | 1,18 |
| Чистий спред | 7,10 | 8,45 | 7,20 | 6,97 | 5,76 |
| Чиста процентна маржа | 6,31 | 6,94 | 6,00 | 5,78 | 4,93 |
Джерело: офіційний сайт НБУ http://www.bank.gov.ua
Та пори усі позитивні зміни в економіці сучасна структура грошових доходів населення України та її динаміка все ще не сприяють розвитку ринку банківських послуг для фізичних осіб (рис 3). Заробітна плата не займає ключове значення і за впливом на заощадження наближається до соціальних виплат (пенсій, стипендій, допомог). Про це свідчать і результати анкетних опитувань, проведених у 2003-2006 роках. Вони свідчать, що значна частина вкладників, майже 32 % неспроможна заощаджувати кошти в зв'язку з низькими заробітками та доходами, які ледве покривають потреби (pис.2.3). Однак переконаність громадян у вигідності зберігання коштів у банках поступово міцнішає – майже 60% опитаних вважають за потрібне нагромаджувати заощадження в банківських установах, оскільки це дає змогу отримувати дохід у вигляді процентів за депозитами.
Результати опитування свідчать про доволі значні потенційні можливості вітчизняних комерційних банків щодо залучення заощаджень населення. Тому необхідно постійно поліпшувати імідж банківських установ, розширювати і якісно вдосконалювати депозитні операції, які здатні примножувати ресурси банку і забезпечувати на цій основі їх ширшу участь в інвестиційній та кредитній діяльності.
Головною причиною малої частки заощаджень населення у банківських установах є не лише низький рівень довіри до вітчизняної економіки. Нинішній рівень оплати праці та соціального захисту громадян України, їх низька купівельна спроможність є тими чинниками, що стримують розвиток грошових заощаджень населення, а отже, й розвиток виробництва, відтворення робочої сили, розв'язання найгостріших соціально-економічних проблем.
Аналізуючи стан ринку банківських послуг у аспекті залучення коштів від фізичних осіб, динаміка грошових вкладів населення за останні кілька років свідчить про зростання довіри громадян до банків і зацікавленості банкірів до збільшення частки залучених коштів населення у своїх активах (Рис.2.5).
Рис. 2.3 Чинники, які стримують приплив грошових доходів громадян у банки
Джерело: офіційний сайт НБУ http://www.bank.gov.ua
За результатами проведених досліджень, 27% респондентів нарікають на недосконалу систему гарантій за знеціненими вкладами; 20% – на непривабливість системи державного страхування вкладів (рис. 2.4).
Порівняно невелика кількість опитуваних надає перевагу спеціальним інвестиційним програмам, які базувалися б на депозитах фізичних осіб.
Рис. 2.4 Заходи для посилення припливу вкладів населення у національній валюті в банки України
Рис.2.5 Динаміка ресурсної бази банків за 2003-2007 роки (у млрд.грн.)
Джерело: офіційний сайт НБУ http://www.bank.gov.ua
Їх приріст за аналізований період сягнув 70,8%. При чому більша питома вага належить вкладам саме у національній валюті, що свідчить про зростання довіри громадян до національної грошової одиниці. А отже можна прогнозувати що і надалі відбуватиметься позитивний приріст вкладів населення у банках регіону.
Адже ринок банківських послуг для фізичних осіб є чутливим індикатором економіки в цілому, і коливання обсягів заощаджень населення на банківських рахунках відображають зміни що відбуваються в економіці країни: зміна демографічної ситуації, політики доходів і цін, особливостей розвитку і задоволення потреб, соціальної структури населення тощо.
Що стосується темпів зростання вкладів населення в банки, то на сьогоднішній день вони становлять 21 млрд. 407 млн. грн, та за останніх 3 роки збільшились у 7,3 рази. Покращилася також їхня структура: частка строкових депозитів зросла на 5% і становить 75,4%. Більша частина з них довгострокові, терміном понад один рік (три роки тому їх, частка становила всього 5,5%). Утім рівень довіри населення до банків в Україні все ще значно нижчий, ніж у західних країнах із високо розвинутими ринковими економіками і банківськими системами. Про це свідчать такі дані: на початку 2003 року вклади населення в банках України становили приблизно 30% від сумарних зобов'язань , що в 1,5-2 рази менше, ніж у банках західних держав , де ця частка коливається на рівні 60–80%. Щоб наздогнати банківські системи економічного розвитку країн за цим показником, українським банкам потрібно приблизно 10 років при збережені темпів зростання вкладів населення, які склалися в останні три роки. А для цього всім органам економічного та монетарного управління слід врахувати чинник довіри до банків при прийнятті будь-якого рішення, пов’язаного з діяльністю банківської системи.
Недостатність залучення коштів також пов’язана з тим, що населення України через слабкий розвиток фінансового ринку має обмежений вибір інструментів для капіталізації своїх гривневих заощаджень. Банківські депозити є поки що найдоступнішими з них. Але й цим інструментом населення користується лише за достатньої довіри до банків. За її відсутності, яка є і на сьогоднішній день, більша частина гривневих заощаджень (приблизно 25–35 млрд. грн. (включаючи валютні)) зберігається в готівковій формі, або ж дробиться на декілька депозитів для зменшення ризику втрат від банкрутства банків.
Такий стан справ потребує комплексного вирішення проблеми і нового підходу як на макро рівні, де повинен здійснитися перегляд податкової політики у сфері оподаткування доходів громадян та відповідні законодавчі зміни. Так і на внутрібанківському рівні, де зміни повинні проходити у напрямку спрощення та зростання доступності операцій для фізичних осіб, а також розроблення схем ефективної співпраці з кожним клієнтом – фізичною особою та використання коштів з максимально можливою ефективністю при мінімальному рівні ризиковості цих операцій.
Підвищення довіри до банків – це актуальне завдання загальнодержавної ваги, зволікання з її вирішенням може найближчим часом відчутно загальмувати розвиток економіки країни. Тому необхідно, невідкладно вживати заходів:
-
на сам перед повинні діяти самі банки створюючи нові вигідніші для вкладників пропозиції;
-
потрібно підняти питання про перегляд, тої частини закону (“Про податок з доходів фізичних осіб”) яка стосується оподаткування доходів фізичних осіб, отриманих від депозитних операцій ;
-
налагодити законодавчий і судовий захист прав та інтересів банкірів, що по суті, свідчить про недооцінку ролі банків і навіть певну неповагу до них з боку органів державної влади;
-
також, щоб збільшити довіру до банку потрібно налагодити систему гарантування вкладів населення.
Зважаючи на необхідність підвищення рівня надійності, фінансової стійкості та конкурентоспроможності банків на внутрішньому й міжнародних ринках, необхідно вжити заходів щодо:
-
підвищення ефективності контролю за діяльністю банків, досягнення повної відповідності Базельським принципам ефективного банківського нагляду, що передбачає вдосконалення чинного законодавства та нормативно-правових актів НБУ; впровадження оцінки банківської діяльності на консолідованій основі таз урахуванням ризиків; посилення контролю за власниками істотної участі та змінами у структурі власності;
-
підвищення рівня капіталізації банків, у т. ч. Шляхом залучення нових акціонерів, збільшення резервного фонду, результату діяльності, активізації процесів об'єднання банків, інтенсивнішого застосування процедури реорганізації банків шляхом приєднання та злиття малих і фінансове нестійких банків;
-
забезпечення участі всіх банків у єдиній інформаційній системі "Реєстр позичальників", що дасть змогу знизити кредитний ризик;
-
оптимізації структури капіталу, активів та зобов'язань, виходячи із завдань забезпечення фінансової стійкості банків та їх позитивного впливу на розвиток реального сектора економіки;
-
підвищення прибутковості банківських операцій, орієнтації на доходи від кредитування та обслуговування реального сектора економіки і зниження витрат за рахунок підвищення технологічності та комп'ютеризації банківських операцій, зменшення необґрунтованих витрат;
-
упередження здійснення банками сумнівних банківських операцій шляхом ідентифікації клієнтів та їх операцій, посилення боротьби з відмиванням брудних грошей, зокрема шляхом здійснення належного контролю за наявністю в банків положень, практики та процедур щодо протидії відмиванню грошей, набутих злочинним шляхом удосконалення чинного законодавства України з питань кредитування, посилення захисту прав та інтересів кредиторів, підвищення відповідальності учасників договірних відносин за неналежне виконання своїх зобов'язань, надання недостовірних даних про фінансовий стан позичальника;
-
забезпечення довіри кредиторів і вкладників до банків шляхом підвищення стабільності, стійкості й конкурентоспроможності на світовому ринку банківської системи України, спроможної максимально та якісно задовольнити потреби економіки й населення у кредитах та інших сучасних банківських послугах.
2.2 Аналіз кредитного ринку України
В даному параграфі дипломної роботи розглянемо динаміку вимог банків за кредитами наданими фізичним особам та в економіку України станом на 01.01.2007р.
Вимоги банків за кредитами, наданими суб’єктам господарювання та фізичним особам, на 01.01.2007 р. становили 217,1 млрд. грн. У структурі кредитних вкладень за видами валют переважали вимоги за кредитами, наданими в національній валюті. Їх обсяг на 01.01.2007 р. становив 111,7 млрд. грн., або 51,4% від загального обсягу заборгованості за наданими кредитами, що на 5,3 процентного пункту менше, ніж на початок року 2006р..
У структурі вимог банків за кредитами за категорією позичальників більшу частину (149,9 млрд. грн.) становила заборгованість суб’єктів господарювання, частка якої внаслідок випереджаючих темпів кредитування
фізичних осіб мала тенденцію до зниження. Так, якщо на початок 2006 року вимоги за кредитами суб’єктам господарювання становили 77,9% від загального обсягу вимог, то на кінець 2006 року – 69,0%.
Протягом 2006 року поліпшення структури ресурсної бази через залучення депозитних вкладів на довгостроковій основі сприяло подальшому зростанню частки заборгованості за довгостроковими кредитами у структурі кредитних вкладень. На 01.01.2007 р. питома вага довгострокових кредитів серед вимог банків за кредитами становила 64,6%, що на 2,8 процентного пункту більше, ніж на 01.01.2006 р.
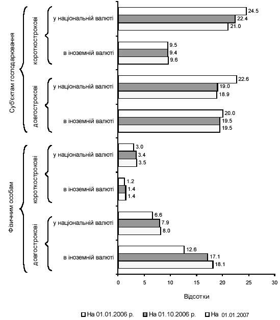
Таким чином, у загальному обсязі вимог банків за кредитами, наданими суб’єктам господарювання та фізичним особам, найбільшою залишалася частка заборгованості суб’єктів господарювання за отриманими короткостроковими кредитами в національній валюті (21,0%) та довгостроковими кредитами як у національній (18,9%), так і в іноземній (19.5%) валюті. Також динамічно зростала частка довгострокових кредитів фізичним особам в іноземній валюті (до 18,1%) (рис. 2.6).
Упродовж 2006 року поліпшилась якість кредитних вкладень в економіку України, про що свідчить зменшення (з 2,5 до 2,3%) частки проблемних кредитів у загальному обсязі вимог банків за наданими кредитами. При цьому питома вага заборгованості за простроченими кредитами залишилася на рівні початку року – 1,2%, а за сумнівними кредитами – знизилася на 0,2 процентного пункту до 1,0%.
Темпи зростання заборгованості за кредитами протягом 2006 року були найвищими порівняно з аналогічним періодом останніх семи років, що сприяло прискоренню економічного зростання.
По відношенню до ВВП заборгованість за кредитами, наданими банками, зросла за 2006 р. з 33,8 до 43,6%. Обсяги кредитування економіки зростали з початку року переважно за рахунок приросту заборгованості за кредитами, наданими в іноземній валюті, – в цілому на 43,3 млрд. грн., або на 69,6%, до 105,4 млрд. грн. Навіть у жовтні, незважаючи на підвищення Національним банком України (з 1 жовтня 2006 року) нормативів обов’язкового резервування за залученими строковими коштами в іноземній валюті, темпи приросту вимог за кредитами в іноземній валюті (6,2%) суттєво перевищували їх темпи приросту в національній валюті (1.2%).
Рис. 2.6 Структура вимог банків за кредитами, наданими суб’єктам господарювання та фізичним особам
Побудовано за даними НБУ
Така ситуація пояснювалася:
-
нижчим рівнем процентних ставок за кредитами в іноземній валюті порівняно з кредитами в національній валюті в умовах стабільності обмінного курсу гривні щодо долара США;
-
нарощуванням ресурсної бази банків насамперед за рахунок прискореного зростання депозитних коштів у іноземній валюті на внутрішньому ринку та за рахунок активного залучення банками коштів на міжнародних фінансових ринках;
-
активізацією імпортерів, які формували попит на кредити в іноземній валюті (рис. 2.7).















