153756 (594809), страница 7
Текст из файла (страница 7)
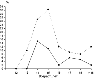
Анализ данных таблицы 3 позволяет заключить, что наиболее высокие темпы прироста двигательных способностей футболистов отличаются в возрастном период от 13 до 14 лет (рис. 3, 4). При этом стартовая скорость равномерно повышается от 14 до 16 лет, затем темпы ее прироста снижаются к 17 годам и несколько возрастают к 17-18 годам. Дистанционная скорость наибольшими темпами увеличивается в период от 13 до 14 лет и от 15 до 16 лет.
Для скоростно-силовых качеств характерны очень высокие темпы прироста от 13 до 14 лет и менее выраженные от 16 до 18 лет. Скоростная выносливость, которая во многом связана как с эффективностью анаэробного механизма энергообеспечения, там и мощностью аэробного обмена [129] также, как и другие способности наиболее интенсивно увеличиваются от 13 до 14 лет, а так же в возрасте от 16 до 17 лет.
Рис. 3 Динамика прироста (%) показателей стартовой (сплошная линия) и дистанционной (пунктирная линия) скорости у футболистов 12-18 лет
Если рассмотреть показатели тестирования двигательных способностей футболистов разного возраста в процентах от уровня их развития у игроков 18 лет, принятых за 100 % (рис. 5), то можно констатировать следующие закономерности:
наиболее консервативным показателем, который уже в 12 лет составляет
85,7% от показателей 18-летних является стартовая скорость, которая к 15 годам достигает 94,1% от взятого максимума;
наименее консервативным качеством является прыгучесть, которая в 12 лет составляет 68% результата 18-летних, а в 16 лет этот показатель составляет 92%;
промежуточное положение занимают дистанционная скорость и скоростная выносливость. В 12 лет они составляют 81,5 и 77,6% от максимума, а в 17 лет - 98 и 96% соответственно.
Рис. 4. Динамика прироста показателей скоростно-силовых качеств (сплошная линия) и силы (пунктирная линия) футболистов 12-18 лет
Наибольшая динамика роста от 12 до 17 лет характерна для показателя становой динамометрии, которая характеризует силу мышц разгибателей. Так в 12 лет уровень силы составляет лишь 37% от 100% 18 летних игроков. В 13, 14, 15, 16, 17 лет эти показатели составляют 44, 53, 76, 83 и 96% от уровня характерного для футболистов 18 лет.
Полученные данные позволяют заключить, что наиболее трудно поддается тренировке стартовая скорость, а самые большие резервы совершенствования физических кондиций игроков кроются в воспитании и развитии скоростно-силовых качеств и силы.
Рис. 5. Показатели двигательных способностей футболистов разного возраста в % от данных по 18-летних спортсменов (100%)
В процессе обзора литературы говорилось, что доказано положение влияния специфики двигательной деятельности, характерной для различных видов спорта, на уровень и особенности проявлений двигательных способностей. С учетом темы исследования была сформулирована задача: сопоставить возрастную динамику двигательных способностей юных вратарей с идентичными показателями полевых игроков. Постановка такой задачи диктовалась значительными отличиями тренировочной и соревновательной деятельности футбольных вратарей от двигательной деятельности полевых игроков.
3.2 Возрастная динамика двигательных способностей футбольных вратарей
Специфика двигательной деятельности вратарей связана, прежде всего, с необходимостью проявлять силу в минимальное время на протяжении игрового времени матча. Естественно, что скоростно-силовые способности являются ведущими в структуре их физической подготовленности, о чем свидетельствуют данные многих исследований. [9, 38, 42, 106, 117, 124, 141]
Для оценки физической подготовленности вратарей были проведены тестирования с участием спортсменов от 12 лет и заканчивая игроками команд мастеров (табл. 4).
Таблица 4 Показатели физической подготовленности вратарей разного возраста (х ± 5)
| Возраст, лет | Кол-во испытуемых, п | Двигательные способности (тесты) | ||||
| Стартовая скорость бег 10 м, с | Дистанц. скорость бег 50 м, с | Ск.-сил. качества прыжок вверх, см | Скорости, выносл. челноч. бег 7x50 м, с | Сила становая динамометрия, кГ | ||
| 12 | 8 | 2.12±0.05 | 8.19±0.14 | 35.5±1.9 | 81.2±2.1 | 45.4±3.6 |
| 13 | 8 | 2.10±0.06 | 7.97±0.39 | 35.5±2.3 | 77.2±5.2 | 50.5±3.8 |
| 14 | 8 | 2.03±0.07 | 7.55±0.46 | 41.3±3.5 | 73.7±4.0 | 66.6±3.6 |
| 15 | 9 | 1.88±0.05 | 6.85±0.12 | 46.2±4.1 | 69.3±1.7 | 94.0±6.7 |
| 16 | 10 | 1.90±0.09 | 6.94±0.24 | 47.9±3.8 | 67.9±2.4 | 108.0±5.0 |
| 17 | 10 | 1.80±0.02 | 6.65±0.10 | 50.8±3.8 | 65.3±3.0 | 118.0±8.0 |
| 18 | 12 | 1.80±0..06 | 6.67±0.13 | 53.0±4.7 | 64.9±2.8 | 129.3±6.7 |
| мастера старше 18 лет | 15 | 1.81±0.06 | 6.66±0.17 | 55.3±3.5 | - | 146.5±8.8 |
Рассматривая показатели физической подготовленности вратарей можно сказать, что до 15 лет они практически по всем качествам, за исключением силы, уступают полевым игрокам (см. табл. 2). В возрасте 15 лет вратари по показателям прыгучести опережают полевых игроков (р<0.05). В дальнейшем вратари превосходят своих коллег лишь по высоте выпрыгивания и не имеют достоверных отличий в стартовой скорости.
Уже эти предварительные данные позволяют говорить о первостепенности высокого уровня скоростно-силового потенциала для игровой деятельности вратарей.
Теперь рассмотрим приросты показателей проявления двигательных способностей вратарей в возрастном аспекте по аналогии с данными полевых игроков (табл. 5, рис. 6, 7).
Таблица 5 Прирост показателей физической подготовленности вратарей 12-18 лет (%)
| Возрастной период, лет | Двигательные способности | ||||||||||||
| стартовая скорость | Дистанцион. скорость | Скор-сил. качества | Скорости, выносливость | Сила | |||||||||
| Р | % | Р | % | Р | % | Р | % | Р | % | ||||
| от 12 до 13 | >0.05 | 0,9 | >0.05 | 2,7 | - | 0 | >0.05 | 6,2 | <0.05 | 10,6 | |||
| от 13 до 14 | <0.01 | 3,4 | <0.05 | 5,4 | <0.01 | 15,1 | >0.05 | 4,7 | <0.01 | 27,5 | |||
| от 14 до 15 | >0.05 | 7,7 | <0.01 | 9,7 | <0.01 | 11,2 | <0.05 | 5,6 | <0.01 | 34,3 | |||
| от 15 до 16 | >0.05 | -0,8 | >0.05 | -3,2 | >0.01 | 1,9 | >0.05 | 2,0 | <0.01 | 12,4 | |||
| от 16 до 17 | <0.01 | 1,5 | <0.05 | 4,3 | <0.05 | 5,9 | <0.05 | 3,9 | <0.05 | 8,8 | |||
| от 17 до 18 | - | 0 | >0.05 | -0,3 | <0.05 | 5,2 | - | 0 | <0.05 | 8,1 | |||
| от 18 и старше | - | -1Д | >0.05 | 0 | >0.05 | 1,9 | - | 0 | <0.01 | 12,3 | |||
Рассматривая данные, приведенные в табл. 5 и на рис. 6, 7 можно сделать ряд заключений. Прежде всего обращает на себя внимание тот факт, что наибольший прирост физических кондиций вратарей приходится на возрастной период 14-15 лет, то есть на год позже, чем у полевых игроков. По-видимому это связано с особенностями двигательной активности данного амплуа в футболе, где объем двигательной активности существенно ниже по сравнению с полевыми игроками. Здесь же можно дать субъективное объяснение данному факту. Зачастую, тренеры на начальных этапах подготовки ставят в ворота спортсменов, уступающих своим сверстникам по двигательным кондициям, но превосходящих их по весо-ростовым и силовым показателям.
Если сравнить данные становой динамометрии полевых игроков и вратарей, то последние превосходят своих сверстников по уровню проявления силы на всех этапах многолетней подготовки. Наибольший прирост силовых возможностей (27,5%) отмечен у вратарей в возрасте 14-15 лет, в то время как у полевых игроков это период 13-14 лет.
Весьма интересен факт, что резкое снижение прироста уровня двигательных способностей у вратарей приходится на период окончания . полового созревания (15-16 лет). Отмечается даже отрицательная динамика стартовой и дистанционной скорости и низкие приросты скоростной выносливости и прыгучести. Известно [8, 17, 31, 44], что периоды интенсивного морфофункционального развития организма сопровождаются последующим замедлением прогресса работоспособности. Кстати, та же тенденция, но менее выраженная, характерна для полевых игроков.
Установленная закономерность во многом послужила основанием выбора возрастного периода 15-16 лет в качестве субъекта педагогического эксперимента, поскольку очевидно, что прогресс в развитии двигательных способностей спортсменов связан не столько с возрастными закономерностями двигательных способностей сколько с рациональной организацией тренировочных нагрузок и адекватностью средств и методов тренировки функциональным возможностям растущего организма.
В предыдущем разделе работы рассматривался процент реализации отдельных двигательных способностей игроков 12-17 лет от уровня их проявления у 18 летних футболистов.
Такой же анализ был проведен для вратарей (рис. 8).
В целом здесь отмечаются те же закономерности, которые характерны для физических качеств полевых игроков разного возраста (раздел 3.1). Однако, если к 17 годам процент реализации двигательных способностей футболистов, играющих в поле достиг 95-98% от уровня 18-летних игроков, то у вратарей этот показатель практически составил 100%. В группе 15-16 летних юношей вратарей процент реализации основных двигательных способностей был от
87% - скоростно-силовые качества до 90-97% - скорость и скоростная выносливость.
Рис. 6. Динамика прироста стартовой (сплошная линия) и дистанционной (пунктирная линия) скорости вратарей 12-18 лет
Рис. 7. Динамика прироста скоростно-силовых качеств (сплошная линия) и силы (пунктирная линия) вратарей 12-18 лет
Представляет интерес каковы резервы развития двигательных способностей 15-16 летних вратарей по отношению к показателям взрослых ведущих вратарей команд мастеров. Последние можно рассматривать в качестве модельных характеристики физической подготовленности игроков данного амплуа (табл. 6).
Практически по всем показателям скорости и силы юноши отстают от мастеров, но степень этого отставания различна (рис. 9).
Наибольшие резервы имеются для развития скоростно-силовых качеств и силы, которые составляют 85,2 и 68 % от модельного уровня.
По скоростным возможностям вратари достигают модельного уровня (мастера) на 95-96%. Здесь можно сказать, что дистанционные методы тренировки, направлены на развитие скорости вратарей в командах мастеров
занимают незначительный объем, в то время, как в подготовке резервов их величина достаточно высока. [121, 141]
Таблица 6 Сравнительные характеристики показателей физической подготовленности вратарей 15-16 лет и игроков команд мастеров
| Тесты | Рациональное качество | Вратари | Р | ||
| команды мастеров | юноши 15-16 лет | ||||
| Бег 10 м, с | стартовая скорость | 1.81±0.05 | 1.89±0.07 | <0.01 | |
| Бег 50 м, с | дистанционная скорость | 6.66±0.17 | 6.89±0.18 | <0.01 | |
| Вертикальное выпрыгивание, см | скоростно-силовые качества | 55.3±3.5 | 47.1±4.0 | <0.01 | |
| Становая динамометрия | сила | 146.5±8.8 | 101±6.2 | <0.01 | |
Подводя итоги данному разделу исследования еще раз отметим, что возраст 15-16 лет наиболее консервативный в возрастном развитии двигательных способностей, что послужило основанием для выбора этого периода онтогенеза в качестве экспериментального при разработке программированной физической подготовки.
Не вызывает сомнений тот факт, что динамика развития двигательных способностей футболистов разного возраста связана, с одной стороны, с интенсивностью морфофункциональных перестроек организма, с другой - с величиной, интенсивностью и организацией тренировочных воздействий.
Рис. 9. Показатели двигательных способностей вратарей 15-16 лет в % от данных мастеров
Важно отметить, что футболисты всех возрастных групп обследовались в середине подготовительного периода, в течение одной недели, что исключает влияние длительности процесса подготовки на зарегистрированные показатели.
Одной из задач предварительного эксперимента было проследить изменения уровня развития двигательных качеств вратарей разного возраста под влиянием нагрузки соревновательного периода, регламентируемых учебными программами для ДЮСШ и СДЮШОР. [134, 135]
3.3 Показатели физической подготовленности и организация нагрузок в соревновательном периоде подготовки вратарей 12-16 лет
Годичный цикл подготовки футбольных резервов состоит из подготовительного (январь-середина апреля), соревновательного (середина апреля - середина ноября) и переходного (середина ноября - декабрь) периодов.
С учетом тематики работы нами рассматривались показатели физической подготовленности вратарей за период, совпадающий с окончанием предсоревновательного этапа (апрель) и через пять месяцев соревновательного периода (конец сентября). Обследования проводились на фоне полного восстановления от предшествующих нагрузок. В целом продолжительность этапа составила шесть месяцев.
Обращает на себя внимание (табл. 7) достаточно большое количество недостоверных изменений изучаемых показателей, что может косвенно свидетельствовать о недостаточной эффективности организации нагрузок, направленных на развитие двигательных способностей. Не обнаружено изменений дистанционной скорости во всех изучаемых возрастных группах спортсменов, что вполне логично, поскольку работа, направленная на воспитание данного качества в системе подготовки вратарей ограничивается нагрузками, используемыми только в разминке. Достоверный прирост в возрастном диапазоне 13-16 лет наблюдается по показателям скоростной выносливости. Известно [36, 67, 96, 147], что в период полового созревания наблюдается достаточно интенсивный естественный прирост выносливости, что по-видимому характерно и для контингента вратарей, находящихся под нашем контролем.
Таблица 7 Изменения двигательных способностей вратарей 12-16 лет на этапах подготовки: П - подготовительный период; С - соревновательный период (х±5)
| Двигательные способности | Этапы | Возраст, лет | |||
| 12-13 п-10 | 13-14 п-10 | 14-15 п-12 | 15-16 п-18 | ||
| Стартовая скорость | П С Р % прироста | 2.15±0.07 2.08±0.05 <0.05 3.3 | 2.13±0.08 2.06±0.05 <0.05 3.3 | 2.11±0.08 1.99±0.07 <0.05 5.9 | 1.90±0.07 1.88±0.06 >0.05 1.1 |
| Дистанционная скорость | П С Р % прироста | 8.20±0.26 8.33±0.19 >0.05 -1.6 | 8.19±0.31 7.92±0.28 >0.05 3.3 | 7.84±0.30 7.73±0.17 >0.05 1.4 | 6.99±0.25 6.83±0.18 >0.05 1.1 |
| Скоростная выносливость | П С Р % прироста | 83.2±2.4 81.5±2.1 >0.05 +2.1 | 81.9±2.0 73.4±2.1 <0.01 10.9 | 75.8±1.9 72.1±2.1 <0.01 5.0 | 70.7±1.9 67.9±1.8 <0.05 4.0 |
| Координация | П С Р % прироста | 9.56±0.30 9.66±0.35 >0.01 -1.0 | 10.82±0.45 9.98±0.38 <0.05 3.9 | 10.7U0.47 9.99±0.56 <0.05 3.5 | 10.10±0.31 9.80±0.42 <0.05 3.0 |
| Скоростно-силовые качества | П С Р % прироста | 35±2 37±2 >0.05 5.5 | 33±4 35±3 >0.05 5.8 | 38±3 41±4 <0.05 7.5 | 44±4 45±5 >0.05 2.2 |
| Сила | П С Р % прироста | 45.4±3.7 47.2±3.6 >0.05 3.9 | 57.3±3.8. 59.1±4.2 >0.05 3.1 | 78.0±5.1 85.0±5.0 <0.05 8.5 | 101.0±6 104.0±7.2 >0.05 2.8 |
Весьма примечателен факт отсутствия изменений в показателях становой динамометрии. Это положение объясняется минимальными объемами силовых упражнений, выполняемыми вратарями в соревновательных микроциклах.
Если рассмотреть процентные величины прироста показателей тестирования (рис. 10), то наиболее выраженные изменения характерны для возрастного диапазона 13-15 лет, а наименее выраженные для 12-13 и 15-16 летних вратарей.
Рис. 10. Прирост показателей физической подготовленности футбольных вратарей учебно-тренировочных групп 3-6 годов обучения
Уже отмечалось, что возраст 15-16 лет наиболее консервативен по отношению к росту двигательных способностей вратарей в системе многолетней подготовки. По-видимому одним из факторов сложившегося положения является методика тренировки игроков. Анализ распределения различных видов подготовки в соревновательном периоде вратарей 12-16 лет (табл. 8) свидетельствует о низком объеме и отсутствии вариативности средств и методов общефизической подготовки игроков на соревновательном этапе.
В частности объем средств ОФП вратарей 15-16 лет составил лишь 4,6-4,7% от всех используемых средств, в то время как работа, направленная на совершенствование технико-технического мастерства занимала 61-65,8% всех нагрузок.
Отмечена тенденция постоянного снижения времени, отводимого на воспитание двигательных способностей средствами ОФП в возрастном периоде от 12 до 16 лет и несущественного роста объема средств СФП (рис. 11).
Таблица 8 Процентное распределение видов подготовки в соревновательном периоде футболистов 12-16 лет
| Виды подготовки | Возраст, лет | х % | ±6 | ±т | KB, % |
| Общая физическая подготовка (ОФГ) | 12-13 | 9,5 | 1,6 | 0,7 | 16,8 |
| 13-14 | 9,4 | 1,3 | 0,6 | 13,8 | |
| 14-15 | 8,3 | 0,1 | 0,04 | 1,2 | |
| 15-16 | 6,3 | 1,2 | 0,5 | 19,0 | |
| Специальная физическая подготовка (СФП) | 12-13 | 8,8 | 1,2 | 0,5 | 13,6 |
| 13-14 | 9,3 | 1,2 | 0,5 | 12,9 | |
| 14-15 | 9,2 | 2,1 | 0,9 | 22,8 | |
| 15-16 | 11,8 | 1,1 | 0,5 | 9,3 | |
| Техническая подготовка (ТП) | 12-13 | 45,0 | 0,8 | 0,3 | 1,8 |
| 13-14 | 38,8 | 2,1 | 0,9 | 5,4 | |
| 14-15 | 35,6 | 1,5 | 0,6 | 4,2 | |
| 15-16 | 29,3 | 4,1 | 1,7 | 13,8 | |
| Тактическая подготовка | 12-13 | 20,4 | 0,3 | 0,1 | 1,5 |
| 13-14 | 26,4 | 1,0 | 0,4 | 3,8 | |
| 14-15 | 30,5 | 1,6 | 0,7 | 5,2 | |
| 15-16 | 33,9 | 0,8 | 0,5 | 2,3 | |
| Учебно-тренировочные игры | 12-13 | 8,2 | 0,1 | 0,05 | 1,2 |
| 13-14 | 8,2 | 1,2 | 0,5 | 14,6 | |
| 14-15 | 8,3 | 0,08 | 0,03 | 0,9 | |
| 15-16 | 8,9 | ОД | 0,5 | 12,3 | |
| Контрольные соревновательные игры | 12-13 | 8,1 | 0,1 | 0,05 | 1,2 |
| 13-14 | 7,6 | 1Д | 0,5 | 14,4 | |
| 14-15 | 8,3 | 0,08 | 0,03 | 0,9 | |
| 15-16 | 9,4 | 1,1 | 0,5 | П,7 |
Если рассмотреть процентный вклад соревновательных, контрольных и тренировочных игр в структуру средств подготовки спортсменов, то он на протяжении соревновательного периода во всех группах колеблется в пределах 15-18% и достаточно равномерно распределялся по микроциклам соревновательного периода.
Таким образом можно заключить, что специализированные нагрузки составляют 83-87% всех нагрузок соревновательного периода подготовки вратарей разного возраста. При этом наблюдается относительно равномерное распределение разнонаправленной работы в рамках микроциклов соревновательного периода. Если рассмотреть средний процентный вклад работы скоростно-силовой направленности в межигровых циклах, то он составляет не более 10-11% от всей работы (табл. 8). Согласно современным представлениям работа скоростно-силовой направленности должна занимать 30-35% общего объема нагрузок в системе подготовки футбольных резервов. [7, 9, 67, 125, 148] Поскольку доказанность ведущей роли скоростно-силового компонента в структуре физической подготовленности вратарей не вызывает сомнения, можно говорить о недостаточном внимании уделяемом развитию силы и скорости юных вратарей учебно-тренировочных групп, что выражается в незначительном приросте физических качеств на соревновательном этапе.
тОФГ\
ПСФП
Ш техническая подготовка
Штактическая подготовка
Ш игровая и соревновательная подготовка
Рис. 11. Распределение нагрузок по видам подготовки в соревновательном периоде вратарей учебно-тренировочных групп
Таблица 9 Распределение нагрузок различной направленности (%) в межигровых циклах соревновательного периода у вратарей 15-16 лет
| Направленность нагрузки | % |
| Сопряженное развитие технического мастерства и двигательных способностей | 57 |
| Скоростная и скоростно-силовая подготовка | 10 |
| Соревновательные игры | 15 |
| Специальная выносливость + техника | 15 |
| Сила | 3 |
3.4 Методика оценки физической подготовленности вратарей 12-16 лет
Современные методы диагностики, как правило, основываются на большом количестве показателей, численные выражения которых выражаются в различных единицах измерения (скорость, время, метры и т.д.) и поэтому не сопоставимы друг с другом. При этом невозможно объективно оценить интегральный уровень подготовленности и трудно оценить насколько тот или иной показатель теста удовлетворителен по отношению данных конкретного контингента, участвующего в обследовании.
Для практики управления тренировочным процессом важное значение имеет разработка шкал количественной оценки результатов тестирования. [14, 39, 105]
В теории и методике подготовки футболистов широкое распространение получили 10-бальные пропорциональные шкалы [18, 108, 129, 140], где результаты тестов переводятся в очки по следующей формуле:
Т - оценка результатов в баллах;
х - результат спортсмена;
х - средний результат теста, соответствующий 5 баллам;
5 - стандартное отклонение.
Разработанные шкалы применялись в системе контроля подготовленности полевых игроков разного возраста и квалификации и не учитывали особенности физической подготовленности вратарей, которая, как показано выше, имеет свои особенности, как по уровню проявления двигательных способностей, так и по возрастным закономерностям их становления и развития.
Первым необходимым шагом при разработке оценочных шкал явилось определение усредненных показателей физической подготовленности, полученных на этапах годичного цикла, которые рассматривались в качестве нормативов (табл. 10).
Таблица 10 Нормативные показатели физической подготовленности футбольных вратарей 12-16 лет
| Двигательные способности | Тесты | Возрастные нормы (5 баллов) х±5 | |||
| 12-13 | 13-14 | 14-15 | 15-16 | ||
| Стартовая скорость | Бег Юме высокого старта, с | 2.11±0.06 | 2.06±0.06 | 1.96±0.06 | 1.89±0.07 |
| Дистанционная скорость | Бег 50 м с высокого старта, с | 8.08±0.27 | 7.76±0.32 | 7.20±0.29 | 6.89±0.20 |
| Скоростная выносливость | Челночный бег 7x50 м,с | 79.6±3.6 | 75.4±4.6 | 71.5±2.9 | 68.6±2.1 |
| Скоростно-силовые качества (прыгучесть) | Вертикальное выпрыгивание, см | 36±2.0 | 39±3 | 44±4 | 47±4 |
| Сила | Становая динамометрия, нГ | 83±4 | 98±5 | 107±4 | 113±5 |
В таблицах 11, 12 представлены шкалы перевода показателей тестов в баллы, а в таблице 13 рассматривается градация уровня подготовленности футболистов с учетом суммарной оценки и количества тестов. Сумма баллов рассматривалась в качестве интегрального критерия физической подготовленности футболиста.
Согласно ранее опубликованным работам [129, 148] двигательное качество, оцениваемое в 7 баллов - выше рассматривается, как ведущее (сильное) звено физической подготовленности футболистов, а оценка в 4 балла и ниже говорит о наличии слабого (лимитирующего) звена физической подготовленности игрока.
Разработанные количественные оценки двигательной подготовленности нашли применение в системе управления физической подготовкой вратарей на экспериментальном этапе подготовки.
ГЛАВА IV. ЭКСПЕРИМЕНТАЛЬНОЕ ОБОСНОВАНИЕ ПРОГРАММИРОВАННОЙ ФИЗИЧЕСКОЙ ПОДГОТОВКИ ВРАТАРЕЙ 15-16 ЛЕТ НА СОРЕВНОВАТЕЛЬНОМ ЭТАПЕ
В научных исследованиях в области теории и методики спортивной тренировки неоднократно подчеркивалось, что механизм коммулятивного тренировочного эффекта, под которым понимается явление обобщения организмом функциональных реакций, отставленных воздействий комплекса средств с различной преимущественной направленностью, остаются малоизученными. [26, 33, 115] Отсюда разработка принципов рационального построения нагрузки, исходя из такого регулирования ее тренировочного эффекта, которое ориентировано на достижение запланированной цели подготовки, выходит на уровень важнейших задач программирования и с организации тренировочного процесса, как в спорте высших достижений, так и в системе подготовки резервов. [49, 84, 105]
С позиций методологических подходов, программирование тренировки предусматривает оценку исходного состояния, объективный прогноз пределов целевого изменения этого состояния, а также оценку развития переходного процесса системы. [25, 83]
4.1 Теоретико-методические основы экспериментальной программы физической подготовки
В предыдущей главе работы было показано, что существующая система подготовки вратарей 15-16 лет в соревновательном периоде не обеспечивает повышения уровня наиболее значительных для данного амплуа двигательных качеств, таких как стартовая скорость, взрывная сила и сила. При этом обнаружен рост скоростной выносливости, что по-видимому, связано не столько со спецификой тренировочных воздействий, сколько с возрастными особенностями становления функциональных систем организма к окончанию пубертатного периода. [8, 31, 32]
Согласно сложившемуся мнению, основной рост психофизического потенциала организма футболистов должен обеспечиваться на подготовительном этапе. [18, 42, 55, 146] В соревновательном периоде главная задача сохранить накопленный функциональный потенциал. [56]
В системе подготовки спортивного резерва задача совершенствования двигательных способностей - одна из главных, независимо от этапов годичного цикла. [36, 42, 49, 58 и др.].
В разделе подготовка вратарей в монографии венгерских специалистов под общей редакцией Яноша Палфаи [117] справедливо отмечается, что "на тренировочных занятиях с вратарями подросткового и юношеского возраста физическая подготовка является доминирующей. Она решительно влияет на дальнейшую работоспособность вратаря в зрелом возрасте. Чем многостороннее это обучение, чем выше физическая подготовленность, тем лучше проявляются в игре технико-тактические навыки".
Специалисты футбола неоднократно указывают, что соревновательная деятельность юных игроков не является самоцелью, а должна рассматриваться как важное средство качественной подготовки спортсменов. [5, 70, 97] В то же время, в возрасте 15-16 лет проводятся чемпионаты мира и Европы по футболу, что определяет необходимость постоянного повышения качества технико-тактической подготовки молодой футбольной смены. [5]
Общеизвестно, что групповые и командные упражнения являются основной формой организации нагрузок полевых игроков в футболе. Индивидуальная подготовка и индивидуализированные методы тренировки занимают незначительный объем работы. [58, 74, 126]
К сожалению, данный подход характерен и для подготовки вратарей, где согласно проведенным педагогическим наблюдениям, тренировка юных вратарей проходит, как правило, в составе всей команды или группы футболистов и не имеет вратарской направленности.
Стандартная схема построения учебно-тренировочного занятия в футболе следующая: сначала все игроки, в том числе и вратари, делают пробежку, выполняют комплекс общеразвивающих упражнений, несколько рывков и ускорений. Затем тренер разбивает футболистов на группы. Вратари уходят в сторону и начинают бить мяч ногами или бросать его друг другу руками.
Организовав тренировку полевых футболистов, тренер возвращается к вратарям. Одного вратаря ставит в ворота и вдвоем с другим наносит удары по воротам. Через 10-15 минут переключается на полевых игроков и вратари остаются одни и продолжают наносить удары друг другу. В конце занятия тренер выделяет игроков для тренировки вратарей. К этому времени вратари уже выключаются из работы вследствие длительного нахождения на поле при относительной бездеятельности. К тому же выделенные футболисты приходят после интенсивной работы уставшие, производят удары очень неточно и, что самое обидное для вратарей, небрежно. В ворота то посылается два-три мяча, то наступает продолжительная пауза, когда мячи не попадают в ворота. Фактическая загруженность вратарей в тренировке около 30 минут вместе 2-2,5 часов.
Безусловно, что такое построение занятия не обеспечивает должного тренировочного эффекта и требует кардинальной перестройки не в объеме запланированных объемов, а в повышении плотности урока.
Неоднократно отмечалось [40, 126, 143], что тренировка вратаря не соответствует особенностям его соревновательной деятельности, а средства и методы физической подготовки применяются без учета индивидуальных особенностей подготовленности спортсменов разного возраста и квалификации. [2, 41, 58]
Отсюда вытекает первоочередность задачи оценки структуры и уровня подготовленности того или иного вратаря, как необходимого элемента программирования тренировочного процесса.
В таблице 14 представлена балльная оценка двигательных способностей вратарей экспериментальной группы. Тестирование проводилось в середине апреля, т.е. по окончанию подготовительного периода, перед началом эксперимента. Следует отметить, что средние показатели результатов тестов не имели достоверных отличий от данных, полученных при обследовании игроков той же возрастной группы на стадии констатирующего эксперимента.
Таблица 14 Оценка двигательных способностей вратарей 15-16 лет в баллах
| № п/п | Фамилия | Двигательные способности | |||||
| Стартовая скорость | Дистанционная скорость | Прыгучесть | Скоростная выносливость | Сила | Сумма баллов | ||
| 1 | М-ов | 4 | 5 | 4 | 4 | 3 | 20 |
| 2 | Я-ин | 5 | 5 | 3 | 2 | 4 | 19 |
| 3 | А-ов | 5 | 8 | 6 | 5 | 6 | 30 |
| 4 | С-ов | 2 | 5 | 4 | 4 | 5 | 20 |
| 5 | О-ов | 5 | 5 | 3 | 4 | 4 | 21 |
| 6 | П-ев | 5 | 2 | 5 | 2 | 3 | 17 |
| 7 | Н-ов | 3 | 1 | 4 | 1 | 2 | 11 |
| 8 | В-ов | 1 | 5 | 9 | 6 | 4 | 25 |
| 9 | Г-ин | 8 | 6 | 6 | 7 | 8 | 33 |
На основании балльных оценок был определен интегральный уровень физической подготовленности вратарей (табл. 15) и наличие ведущих и лимитирующих звеньев в ее структуре.
Таблица 15 Уровень и структура физической подготовленности вратарей 15-16 лет
| Уровень | № | ||
| физической | Лимитирующие звенья ФП | Ведущие звенья ФП | |
| подготовленности | |||
| (сумма баллов) | |||
| Высокий (40-35) | - | - | - |
| Выше среднего | 9 | скоростно-силовые качества, | дистанционная скорость |
| (34-30) | скоростная выносливость | ||
| 3 | скоростно-силовые качества | нет | |
| Средний (29-25) | 8 | взрывная сила | стартовая скорость, сила |
| Ниже среднего | 1 | скоростно-силовые качества, | дистанционная скорость |
| (24-15) | скоростная выносливость | ||
| 2 | взрывная сила, сила | скоростные качества | |
| 4 | стартовая скорость, взрывная сила | - | |
| 5 | сила, взрывная сила, | скоростные качества | |
| скоростная выносливость | |||
| 6 | дистанционная скорость, | стартовая скорость | |
| скоростная выносливость | |||
| Низкий (<15) | 7 | все качества | - |
Обращает на себя внимание тот факт, что лишь двое из девяти обследованных вратарей имели уровень физической подготовленности выше среднего, что составило 22%, средний уровень был характерен для 11%. Основная группа игроков - 67% характеризовалась по уровню подготовленности, как ниже среднего и низкий.
Если учесть, что обследование проводилось по окончанию подготовительного периода, то можно еще раз отметить низкую эффективность тренировочного процесса по отношению к развитию двигательных качеств вратарей. При этом основным звеном лимитирующим работоспособность спортсменов были скоростно-силовые качества, роль которых в эффективной соревновательной деятельности вратарей первостепенна. [2, 40, 106]
Учитывая вышеизложенное, а также установленный ранее факт о наличии существенных резервов в развитии скоростно-силовых способностей и силы мы предположили, что при планировании объемов разнонаправленных нагрузок на экспериментальном этапе акцент должен быть сделан на воспитании силы и скоростно-силовых способностей, с использованием как специализированных, так и общих средств подготовки.
Данному вопросу в системе тренировки спортсменов игровых видов спорта и футболистов, в частности, уделялось серьезное внимание на протяжении последних десятилетий. Выполнено большое количество теоретических и методических работ [9, 21, 22, 28, 71, 125, 140, 150], что позволяет использовать установленные принципы в наших исследованиях.
Прежде всего мы исходили из положения о многообразии функций силовой подготовки и ее взаимосвязи с различными двигательными способностями, что подробно раскрыто в работах Ю.В. Верхошанского и его учеников. [22, 24, 25, 26, 28]
Доказано, что применение принципов силовой тренировки по типу "бодибилдинга" заметно увеличивает эффективность силовой тренировки, так как развивающими оказываются не 20%, как при обычных тренировочных круговых методах, а 70-80% работы. [21] Достигается это использованием дополнительных отягощений (небольших в первых подходах, и по мере увеличения количества подходов происходит уменьшение веса отягощений), при постоянном количестве повторений. Возможен и другой путь - увеличение отягощения от подхода к подходу и затем его уменьшение при постоянном количестве повторений. Данный принцип описывается следующей логической схемой: внешняя нагрузка - реакция на нагрузку - состояние (утомление) -снижение работоспособности - коррекция нагрузки для восстановления ответной реакции.
Следует подчеркнуть необходимость постоянного творческого поиска нахождения наиболее эффективный путей совершенствования подготовки спортсменов. Применение методического приема, позволяющего постоянно проявлять околомаксимальные усилия в диапазоне 6-12 повторений и тем осуществляющего работу в развивающем режиме, служит эффективным средством развития взрывной силы футболистов, их скоростно-силовой выносливости, реактивной способности мышечного аппарата, окислительных свойств мышц, рекуперации (возврату) механической энергии мышц и сухожилий. [24]
Другим направлением в организации силовой подготовки является увеличение сопряженности силовых свойств мышечного аппарата и его окислительных способностей, что значительно повышает экономичность его функционирования. [29]
Под воздействием упражнений силовой направленности, кроме силовых, совершенствуются упругие и реактивные свойства мышц и их способность к рекуперации механической энергии, что увеличивает экономичность функционирования мышечного аппарата и систем энергообеспечения. [155]
Работоспособность мышц связана с развитием локальной мышечной выносливости, под которой понимается улучшение сократительных и окислительных свойств мышц.
Окислительные способности мышц обусловлены ростом сократительных и несократительных, в частности, митохондриальных белков и метаболических резервов ткани, что повышает способность мышечных волокон и утилизации кислорода и эффективному ресинтезу АТФ. [152]
Существуют два мнения на сопряженное развитие сократительных и окислительных способностей мышц. Первое указывает на возможность параллельного развития данных способностей. Второе говорит о разнонаправленное™ между мощностью сокращения мышц и ростом их окислительного потенциала, возникающих в процессе совершенствования специальной выносливости. [27]
Два качества мышечной системы до определенного уровня интенсивности, не выше анаэробного порога (АП) совершенствуются одновременно. Но при увеличении интенсивности упражнений или объема силовых средств значительная гипертрофия миофибрилл может привести к снижению окислительных способностей мышц. [154]
Для разрешения противоречий между ростом мощности функционирования мышечного аппарата, повышением и совершенствованием его окислительных свойств все тренировочные средства применяются так, чтобы работа выполнялась в зоне АП. [28] Ставится задача - на протяжении микроцикла, этапа, периода улучшить обе качественные характеристики мышечной системы. С этой целью структура и режим выполнения упражнений моделируются так, чтобы вес отягощений и количество повторений способствовали развитию сократительных свойств с постоянным включением большого числа мышечных волокон от подхода к подходу, а время повторения и отдыха между ними давали возможность спортсмену работать в зоне АП. Данное теоретическое положение получило свое подтверждение в практике подготовки высококвалифицированных хоккеистов в условиях технико-тактических занятий. [28]
Главной стратегической линией силовой подготовки являются [22, 24, 25, 26]: 1) использование таких форм и методов построения тренировочных занятий, режимов сокращения мышечного волокна спортсменов, при которых происходит наиболее эффективное развитие всех компонентов силовых способностей; 2) одновременное развитие сократительных и окислительных свойств мышечного аппарата; 3) параллельное развитие скорости и скоростной выносливости, силы и выносливости, координационных и силовых способностей.
При разработке модели подготовки на соревновательном этапе вратарей 15-16 лет нами учитывался доказанный факт, что объем средств, как специализированных, так и общеподготовительных, при развитии скоростно-силовых качеств должен составлять не менее 25-30%. [9] Мы планировали данную работу в рамках тех же объемов, которые использовались на этапе констатирующего эксперимента, но существенно изменили распределение средств в сторону увеличения работы, направленной на воспитание различных компонентов силы. Нами учитывались данные о положительном влиянии скоростно-силовой подготовки на освоение двигательных навыков, что в конечном счете положительно отражается на технической подготовленности занимающихся и на их способности к концентрации усилий в пространстве и времени [113, 119, 125], что безусловно важно для футбола, где развитие координационных способностей игроков один из путей повышения экономичности энергообеспечения при выполнении технических приемов. [120, 121]
В рамках экспериментальной программы физической подготовки вратарей принимался во внимание тот факт, что выносливость, под которой, применительно к соревновательной деятельности игроков данного амплуа, можно подразумевать способность к поддержанию скоростно-силового режима выполнения технико-тактических приемов на протяжении игрового времени, определяется не столько ростом поступления кислорода к мышцам, сколько их способностью использовать кислород из артериальной крови. [29]
Данное понимание нашло свое отражение в концепции оптимальной физической подготовки спортсменов высокой квалификации. [27] Доказано, что дистанционные методы тренировки, развивающие вегетативный компонент работоспособности не обеспечивают условий эффективного повышения сократительных и окислительных свойств мышц. Для решения этой задачи как раз применимы скоростно-силовые нагрузки.
В пользу применения силовых упражнений в системе подготовки вратарей, не зависимо от этапа годичного цикла, свидетельствует ряд экспериментов доказанных положений [46, 52, 71, 115]:
- прирост абсолютной силы мышц повышает скорость движений и тем больше, чем большее сопротивление приходится преодолевать спортсмену. Однако, в момент концентрированных силовых нагрузок, скорость движения и способность к проявлению взрывных усилий снижается пропорционально росту объема силовой работы;
- для повышения уровня скоростной (взрывной) силы необходимо предварительное выполнение собственно силовых упражнений. В зависимости от выбранной методики, это дает прирост силы с увеличением или без существенного увеличения мышечной массы. Здесь важна адаптационная перестройка мышц, которая выражается в повышении их энергетического потенциала, как основы для последующего развития взрывной силы;
-
если в тренировках используется только взрывной режим работы мышц, а именно такой подход характерен для подготовки юных вратарей, достижение способности к быстрому проявлению максимума усилий ускоряется, но общий эффект развития взрывной силы будет невыполним и сохранение его будет непродолжительным. Наряду с общеметодологическими основами силовой подготовки, при разработке экспериментальной системы тренировки учитывались принципы и положения планирования нагрузок в игровых видах спорта. [6, 30, 36, 40, 58, 67, 74, 98, 117];
-
принципы параллельного развития скоростно-силовых способностей и скоростно-силовой выносливости, когда технико-тактические упражнения выполняются в зоне анаэробного порога (ЧСС до 160 уд./мин.);
- равномерное распределение объема силовых и скоростно-силовых упражнений с тенденцией увеличения их интенсивности от этапа к этапу при
достаточно стабильном объеме применения данных средств подготовки (около включение силовых и скоростно-силовых нагрузок на фоне относительно полного восстановления организма от предшествующих нагрузок;
- подбор упражнений с учетом воздействия на основные мышечные группы, обеспечивающие выполнение соревновательных нагрузок;
- чередование средств, направленных на развитие различных компонентов силового потенциала, обеспечивающих эффект контрастности тренирующих воздействий, как фактора, усиливающего функциональную восприимчивость организма.
4.2 Средств подготовки и их организация в макроцикле
Для развития физических качеств юных вратарей использовался дифференцированно-блочный подход: 1) применялись упражнения с дифференцированной целевой направленностью на развитие одного или двух "родственных" качеств; 2) применялись блоки (комплексы) с различной направленностью, как на преимущественное развитие одного физического качества, так и на генерализованную физическую подготовку. [45]
Кратко остановимся на основных упражнениях, которые используются в системе подготовки вратарей 15-16 лет в практической работе тренеров. [40, 42, 106, 120, 134]
Упражнения для развития быстроты:
ОФП. По сигналу рывки на 5-10 метров из различных исходных положений: стоя лицом, спиной, боком к стартовой линии, из приседа, седа, лежа. Эстафеты с элементами старта. Ускорения на 15, 30, 60 метров. Бег с переменной интенсивностью на дистанции 100-150 м (15-20 м с максимальной скоростью, 10-15 м медленно). Челночный бег.
СФП. Из "стойки вратаря" бег на 5-15 м метров с максимальной скоростью, из ворот. Отбивание высоко летящего мяча после рывка. Ловля мячей, пробитых по воротам, ловля теннисных мячей.
Упражнения для развития скоростно-силовых качеств и силы:
ОФП. Упражнения со штангой, гантелями, набивными мячами. Вес отягощений от 40 до 70% веса тела. Выпрыгивания из приседа и полуприседа без отягощений и с отягощениями. Прыжки в глубину (высота спрыгивания 50-70 см) с последующим выпрыгиванием вверх или рывком. Вбрасывание мяча на дальность. Различные варианты многоскоков.
СФП. Упражнения для кистей рук с гантелями и кистевым амортизатором, технико-тактические упражнения с отяжелителями. Многократное повторение упражнений в ловле и бросках набивного мяча от груди двумя руками. Броски футбольного и набивного мяча на дальность. Удар ногой на дальность. Ловля набивных мячей, брошенных партнерами с разных сторон.
Упражнения для развития специальной выносливости.
Повторное выполнение беговых и прыжковых упражнений. Упражнения с отягощением 20-30% от максимума до произвольного отказа. Ловля и отбивание мячей повторным и непрерывным методами. Отбивание мячей в падении, когда удары по воротам выполняются с минимальными интервалами. Все средства, направленные на развитие силы, скорости и выносливости были отнесены к кондиционным. При их организации использовались параметры, выполнения упражнений, разработанные в исследованиях Г.С. Лалакова [74] с учетом возрастных особенностей футболистов (табл. 16). Наряду с развитием кондиционных способностей, одним из важных резервов повышения технико-тактического мастерства вратарей и эффективности их соревновательной деятельности является развитие координационных способностей (ловкости). [2, 41, 106]
Таблица 16 Классификация допустимости нагрузок в процессе подготовки футболистов 13-16 лет [74]
| № п/п | Направленность | Объем нагрузки (%) и длительность серий упражнений (мин) | ||||||||||
| 3-4 мин. | 4-5 мин. | 5-6 мин. | ||||||||||
| 40 | 70 | 100 | 40 | 70 | 100 | 40 | 70 | 100 | ||||
| 1 | Скоростно-силовая выносливость | + | + | |||||||||
| 2 | Скоростная выносливость | + | + | + | + | + | ||||||
| 3 | Скоростные качества | + | + | + | + | |||||||
| 4 | Скоростно-силовые качества | + | + | + | + | + • | + | |||||
| 5 | Специальная выносливость | 4 + | 4 + | 4 + | 6 + | 6 + | 6 | 8 | 8 | 8 | ||
| 6 | Специальная скорость | 4 + | 4 + | 4 + | 6 + | 6 + | 6 | 8 + | 8 | 8 | ||
| 7 | Обучение и совершенствование технико-тактического мастерства | 4 + | 4 + | 4 + | 6 + | 6 + | 6 | 8 + | 8 | 8 | ||
Примечание: + - допустимая нагрузка 4, 6, 8 - длительность серий упражнений в мин.
Наряду с развитием кондиционных способностей, одним из важных резервов повышения технико-тактического мастерства вратарей и эффективности их соревновательной деятельности является развитие координационных способностей (ловкости). [2, 41, 106]
При разработке и применении средств для совершенствования координации вратарей мы опирались на теоретические и методические положения достаточно полных измененные в работах В.И. Ляха [79, 80] и Збигнева Витковского [30].
В качестве средств координационной тренировки рекомендуется использовать разнообразные двигательные действия (физические упражнения) если они:
связаны с преодолением координационных трудностей; требуют от исполнителя правильности, быстроты, рациональности при выполнении сложных в координационном отношении двигательных действий, а также находчивости в использовании этих действий в различных условиях; являются новыми и необычными для исполнителя; хотя и являются привычными, но выполняются либо при изменении самих двигательных действий, либо условий.
Исходя из такого понимания, выделяют, прежде всего, общие координационные упражнения. Условно данные упражнения разделяют на: 1) обогащающие фонд жизненно важных умений и навыков; 2) увеличивающие двигательный опыт; 3) общеразвивающие элементы гимнастики и акробатики, упражнения в беге, прыжках и метаниях, подвижные и стартовые игры с высокими требованиями к координации движений; 4) с преимущественной направленностью на отдельные психофизиологические функции, обеспечивающие оптимальное управление и регуляцию двигательных действий (упражнения на выработку чувства пространства, времени, степени развиваемых мышечных усилий, по улучшению сенсомоторных реакций, двигательной памяти и представления движений).
Круг специальных координационных упражнений был ограничен спецификой соревновательной деятельности футбольных вратарей и спецификой технико-тактической подготовки в тренировочном процессе. К ним можно отнести: 1) подводящие, способствующие освоению и закреплению технических навыков (форма движения) и технико-тактических действий; 2) развивающие координационные способности к ориентации, дифференцированию, ритму, сохранению равновесия, вестибулярной устойчивости и др.; 3) вырабатывающие специализированные восприятия.
С определением и классификаций средств и методов координационной тренировки в футболе неразрывно связана проблема планирования вариантов названной тренировки, а также дозирования нагрузок. Среди методических подходов планирования вариантов координационной тренировки выделили следующие [30]:
-
равномерное воздействие с помощью средств и методов в течение всей длительности макро- или мезоцикла;
-
акцентированное воздействие на ведущие КС;
3) использование упражнений повышенной координационной сложности. Параметры нагрузок при использовании координационных упражнений отражены в табл. 17.
Таблица 17 Педагогические параметры координационных упражнений в игровых видах спорта [30]
| Возраст | Показатели нагрузки | |||||
| Продолжи-тельность | Интенсивность | Интервалы отдыха | Характер отдыха | Число повторений | Координацион-ная | |
| лет | упраж- | упраж- | между | упражнения | сложность | |
| нения | нения | упраж- | упраж- | |||
| нениями | нения | |||||
| 8-10-13-14 | от нескольких секунд до нескольких | от низкой до субмаксимальной | от нескольких секунд до полного | любой (пассивный, активный) | от 8 до 40 раз в серии число серий 2-6 | малая и средняя |
| минут | восстанов- | |||||
| ления | ||||||
| от | от средней | от | любой | от 8 до 40 | средняя, | |
| 15-16-17-18 | нескольких секунд до нескольких | до максимальной | нескольких секунд до полного | раз в серии число серий 2-6 | высшая | |
| минут | восстанов- | |||||
| ления | ||||||
| 19 лет и старше | от нескольких минут до нескольких секунд | от средней до максимальной | от нескольких секунд до полного восстанов- ления | любой | от 8 до 40 серий число серий 2-6 | средняя, субмаксимальная, максимальная |
Вышеперечисленные положения и рекомендации принимались нами во внимание при разработке экспериментальной программы тренировки футбольных вратарей 15-16 лет.
Важное значение при выполнении разнонаправленных нагрузок отводилось применению тех методов их организации, которые наиболее эффективны по отношению к развитию различных двигательных способностей. [108] В частности, при совершенствовании выносливости к работе субмаксимальной интенсивности использовался переменный метод. Для развития силы и силовой выносливости применялся интервальный метод. При комплексном совершенствовании двигательных качеств и технико-тактического мастерства ведущим был повторный метод.
Общая стратегия программы физической подготовки на первом этапе соревновательного периода (середина апреля - июнь) сводилась к преимущественному воспитанию силовых и скоростно-силовых способностей. В июле, когда спортсмены тренировались в спортивном лагере (второй подготовительный период) акцент делался на развитие взрывной силы. Во второй воловине соревнований (август - сентябрь) - главная задача подготовки сводилась к совершенствованию скоростно-силовой и общей выносливости. Безусловно здесь представлена лишь самая обобщенная стратегическая линия блочного распределения разнонаправленных нагрузок, среди которых специализированные средства подготовки составляли на менее 65-70% от суммарного объема нагрузки. В промежутке между первым и вторым кругом соревнований соотношение неспецифической и специфической работы составило 40% к 60% соответственно.
Более подробно силовые и специализированные средства подготовки, а также типовые микроциклы представлены в приложениях 1 -5.
Одним из основных инструментов программирования является структурно-логическая схема (СЛС). Она определяет структуру осваиваемого спортсменами материала, его логические связи, порядок изучения в соответствии с определенными алгоритмами.
Согласно определению по отношению к проблеме совершенствования физической подготовки юных спортсменов [111] СЛС представляет собой схематическое структурное описание логического построения процесса тренировки, реализуемого в учебно-тренировочных занятиях, с помощью которого адаптация к нагрузкам выполняемых упражнений преобразуется в физические качества спортсменов.
Она является предпосылкой для эффективной соревновательной деятельности вратарей и содержит систематизированный перечень разделов и направлений физической подготовки, а также перечень средств подготовки не по их содержанию, а по направленности на развитие конкретных качеств (или "блоков" таких качеств) (табл. 18).
Примером СЛС может быть схема построения процесса совершенствования силовой подготовки вратарей при выполнении упражнений с отягощениями, о чем в целом говорилось ранее. С одной стороны, для усвоения этого раздела физической подготовки требуется наличие технических навыков для выполнения сложнокоординационных движений, а также быстроты, реализуемой преимущественно в начальных фазах этих движений, с другой стороны, такие упражнения позволяют развивать не только силу, но и силовую выносливость вратарей.
Таблица 18 Показатели разнонаправленных нагрузок на экспериментальном этапе
| Нагрузки | 1-й | 2-й | 3-й |
| этап | этап | этап | |
| Количество часов | 216 | 87 | 174 |
| Напряженность, % Н Ат\ел&ле.кн.0с.'Гсэ (•c^u^^Aot^jxuae^ | |||
| - общая выносливость | 12 | 13 | 20 |
| - комплексное совершенствование двигательных способностей | 30 | 25 | 33 |
| - сила, скоростно-силовые качества | 30 | 40 | 20 |
| - скоростная и скоростно-силовая выносливость | 12 | 12 | 20 |
| - соревновательная | 16 | 10 | 17 |
| Методы тренировки, % | |||
| - равномерный | 6 | 5 | 6 |
| - переменный | 27 | 21 | 30 |
| - повторный | 24 | 30 | 20 |
| - интервальный | 43 | 44 | 44 |
| Специфичность, % | |||
| - специфическая | 70 | 15 | 80 |
| - неспецифическая | 30 | 25 | 20 |
| Координационная сложность, % | |||
| - низкая | 15-20 | 15-20 | 15-20 |
| - средняя | 40-50 | 20-30 | 40-50 |
| - высокая | 20-30 | 40-50 | 30-40 |
В предложенной нами СЛС конкретизированная физическая подготовка футбольных вратарей основана на применении средств акцентированного воздействия, направленная на развитие следующих компонентов двигательных способностей: быстрота реакции, быстрота одиночных движений, быстрота сложно-координационных движений, прыгучесть, абсолютная сила, общая выносливость, скоростно-силовая выносливость. Помимо этого, рассматривается комплексное проявление силы, как основы всестороннего развития вратарей 15-16 лет. Специализированность физических качеств рассматривалась нами в следующих проявлениях: быстрота выполнения одиночных игровых операций, стартовый рывок, "взрывная" сила, прыжковая выносливость.
В заключении отметим, что с учетом индивидуальных особенностей физической подготовки вратарей экспериментальной группы (см. табл. 13) были разработаны объемы использования разнонаправленных нагрузок. Содержание рекомендаций было направлено на ликвидацию отстающих качеств физической подготовленности, так как в ранее проведенных исследованиях [30, 81, 126] доказана эффективность такого подхода для юношеского футбола.
4.3 Показатели физической подготовленности вратарей экспериментальной группы
Как правило, в педагогических исследованиях в области спортивной тренировки для оценки эффективности той или иной методики подготовки сопоставляются показатели контрольной и экспериментальной групп испытуемых [10]
В нашем исследовании в качестве контрольных показателей использовались данные, полученные на стадии констатирующего эксперимента. Это связано с тремя основными причинами:
практически невозможно сформировать две репрезентативные выборки вратарей одной возрастной группы, поскольку в команде тренируются не более трех вратарей;
отсутствие изменений в общем объеме нагрузок, а лишь перераспределение их частных объемов позволяет говорить о влиянии последнего фактора на динамику физической подготовленности вратарей;
доказанный факт об отсутствии значительных приростов показателей физической подготовленности вратарей 15-16 лет в результате шестимесячной подготовки свидетельствует об отсутствии вклада возрастных изменений морфофизических особенностей данного периода онтогенеза на результаты исследования.
В таблице 19 отражены показатели физической подготовленности вратарей, полученные на этапе предварительного исследования (контроль) и идентичные исходные данные основного педагогического эксперимента (экспериментальные).
Таблица 19 Показатели физической подготовленности контрольной и экспериментальной групп в начале педагогического эксперимента (х ± 5)
| Показатели физической подготовленности | Вратари 15-16 лет | ||||
| контроль | эксперимент | t | Р | ||
| Стартовая скорость, с | 1,88±0,06 | 1,92±0,09 | 1,1 | >0,05 | |
| Дистанционная скорость, с | 6,83±0,18 | 7,01±0,22 | 2,0 | >0,05 | |
| Скоростная выносливость, с | 67,9±1,8 | 69,9±2,5 | 1,9 | >0,05 | |
| Взрывная сила, см | 45±5 | 47±4 | 0,9 | >0,05 | |
| Силовые способности, кГ | 104±7 | 110±6 | 2,2 | <0,05 | |
Практически по всем показателям, характеризующим уровень развития двигательных способностей в сравниваемых группах спортсменов отсутствовали достоверные различия, за исключением данных становой динамометрии, которые были выше у вратарей, участвующих в основном педагогическом эксперименте.
Еще раз отметим, что приведенные характеристики физической подготовленности зарегистрированы по окончании предсоревновательного этапа, когда согласно основам тренировки, спортсмены должны достигнуть околомаксимального уровня двигательного потенциала.
Анализ результатов тестирования до и по окончанию реализации экспериментальной тренировочной программы показал, что выполненные в процессе тренировки нагрузки способствовали достоверному повышению уровня развития двигательных способностей вратарей (табл. 20).
Таблица 20 Динамика показателей физической подготовленности вратарей до и по окончанию педагогического эксперимента (х ± 8)
| Показатели физической подготовленности | До эксперимента | Конец эксперимента | t | Р |
| Стартовая скорость | 1,92±0,09 | 1,84±0,06 | 2,2 | <0,05 |
| Дистанционная скорость | 7,01±0,22 | 6,80±0,14 | 2,4 | <0,05 |
| Скоростная выносливость | 69,9±2,5 | 67,5±1,1 | 2,7 | <0,05 |
| Взрывная сила | 47±4 | 50±3 | 2,14 | <0,05 |
| Силовые способности | 111±6 | 120±3 | 4,0 | <0,01 |
Далее сопоставим приросты двигательных способностей, полученные на этапе констатирующего и основного экспериментов (рис. 12).
Рис. 12. Прирост (%) показателей тестирования двигательных способностей футбольных вратарей 15-16 лет в соревновательном периоде
Полученные данные позволяют сделать ряд заключений: наименьшие изменения получены по результатам оценки дистанционной скорости и скоростной выносливости, где объем нагрузок экспериментального этапа мало отличался от общепринятой программы подготовки; самые высокие приросты были характерны для стартовой скорости, прыгучести и силы мышц разгибателей, т.е. тех двигательных качеств на которые в процессе эксперимента оказывалось акцентированное воздействие на протяжении реализации программы физической подготовки. Рассматривая индивидуальные изменения физической подготовленности вратарей экспериментальной группы (табл. 21) можно констатировать существенный прирост, как интегрального показателя развития двигательных качеств (сумма баллов), так и отдельных его составляющих.
Таблица 21 Оценка индивидуального уровня двигательных способностей вратарей в баллах до начала (I) и по окончанию (II) эксперимента
| № п/п | Фамилия | Этапы | Двигательные способности | |||||
| стартовая скорость | дистанцион. скорость | скоростная выносливость | взрывная сила | сила | сумма баллов | |||
| 1 | М-ов | I II | 4 5 | 5 5 | 4 4 | 4 5 | 3 8 | 20 27 |
| 2 | Я-ин | I II | 5 7 | 5 8 | 2 7 | 3 4 | 4 8 | 19 34 |
| 3 | А-ов | I II | 5 7 | 8 8 | 5 8 | 6 8 | 6 10 | 30 41 |
| 4 | С-ов | I II | 2 4 | 5 5 | 4 8 | 4 5 | 5 8 | 20 30 |
| 5 | О-ов | I II | 5 7 | 5 6 | 4 5 | 3 7 | 4 8 | 21 33 |
| 6 | П-ев | I II | 5 7 | 2 7 | 2 4 | 5 6 | 3 7 | 17 31 |
| 7 | Н-ов | I II | 3 8 | 1 5 | 1 7 | 4 5 | 2 6 | 11 31 |
| 8 | В-ов | I II | 1 5 | 5 7 | 6 7 | 9 9 | 4 6 | 25 34 |
| 9 | Г-ин | I II | 8 9 | 6 7 | 7 5 | 6 7 | 8 9 | 33 37 |
Если до начала реализации экспериментальной программы физической подготовки 56% вратарей имели уровень подготовленности, оцениваемый, как ниже среднего (табл. 22), то после завершения эксперимента уже 56% игроков перешли в группу с уровнем выше среднего, а 33% спортсменов составили группу с высоким интегральным уровнем физической подготовленности.
Таблица 22 Динамика изменения уровня физической подготовленности вратарей экспериментальной группы
| Уровень физической подготовленности | Этапы обследования | ||||
| До эксперимента | По окончанию эксперимента | ||||
| количество | % | количество | % | ||
| Высокий | - | - | 3 | 33 | |
| Выше среднего | 2 | 22 | 5 | 56 | |
| Средний | 1 | 11 | 1 | 11 | |
| Ниже среднего | 5 | 56 | - | - | |
| Низкий | 1 | 11 | - | - | |
В процессе эксперимента удалось снизить процент рассогласования показателей, характеризующих развитие двигательных способностей вратарей 15-16 лет с данными, характерными для их коллег из команд мастеров (рис. 13). Эти данные еще раз подтвердили ранее сделанное заключение о том, что наибольшие резервы повышения двигательного потенциала футболистов юношеских команд имеются в прогрессивном развитии силовых и скоростно-силовых возможностей. При этом целенаправленное акцентированное развитие последних в 15-16 лет позволяет не только повысить общую и взрывную силу, но и благоприятно сказывается на развитии скоростной выносливости. Так повышение времени выполнения челночного бега 7x50 метров уменьшилось в процессе эксперимента на 2,4 секунды, что составило увеличение скорости пробегания контрольной дистанции около 360 метров на 3,5%.
Безусловно, что для вратарей уровень скоростной выносливости не является ведущим в эффективности соревновательной деятельности, но мощность анаэробного механизма энергообеспечения может играть важную роль в тяжелых играх, где объем работы вратаря высокий, а ее продуктивность зависит от способности проявлять качество быстроты на протяжении основного, а зачастую, и дополнительного времени матча.
Рис. 13. Показатели двигательных способностей вратарей 15-16 лет в % от данных команд мастеров
При рассмотрении возрастной динамики физической подготовленности вратарей (см. гл. III) было показано, что уже к 18 годам развитие основных двигательных способностей игроков достигает уровня, характерного для спортсменов, выступающих в командах мастеров. Исключения составляют лишь показатели силовых возможностей и взрывной силы. Однако лишь единицы из вратарей юниоров попадают в большой футбол. Также следует сказать, что многие выдающиеся вратари достигали расцвета мастерства к 30 и более годам [1, 14], когда большинство полевых игроков заканчивают выступления в большом спорте.
Можно предположить, что мастерство вратаря во многом зависит от факторов специфической работоспособности, среди которых специалисты выделяют такие качества, как быстроту и точность реакции на движущийся объект, простые и сложные двигательные реакции, точность дозировок мышечных усилий. [119, 121, 126, 144]
Все вышеперечисленные качества принято относить к психомоторным. Они непосредственно и опосредованно связаны с физическими качествами. В них проявляются процессы более высокого иерархического уровня по отношению к индивиду. [119]
Определение уровня развития отдельных психических качеств, которые обеспечивают эффективность спортивной деятельности вратарей является предметом специального исследования. В нашей же работе изучалось влияние экспериментальной программы тренировки на динамику отдельных показателей психомоторики вратарей 15-16 лет.
4.4 Показатели психомоторных качеств в процессе экспериментальной подготовки
Как указывалось в обзоре литературы (см. гл. I, раздел 1.2) способность к реагированию, ориентированию, дифференцированию, перестроению, ритму и т.п. являются компонентами координационных способностей, которые являются психомоторными свойствами организма. Они влияют на качество процессов управления и регуляцию движений, обуславливают быстроту и качество моторного обучения, содействуют стабильному освоению основных двигательных умений в конкретных игровых ситуациях. [79]
Последние экспериментальные исследования, выполненные под руководством В.И. Ляха [36] позволили установить, что наиболее характерными компонентами структуры координационных способностей футболистов являются следующие: способность к приспособлению и перестроению двигательных действий, способность к дифференцированию и согласованию, пространственная ориентация, способность к ритму и статическое равновесие.
Показатели, характеризующие уровень координационных способностей группы вратарей, участвующих в экспериментальной программе, до начала и в конце ее реализации представлены в таблице 23.
Таблица 23 Показатели психомоторных качеств и координационных способностей вратарей экспериментальной группы (х + 8)
| no | Показатели | ||||
| П/П | Тесты | до | после | Р | |
| эксперимента | эксперимента | ||||
| 1 | Теппинг тест | ||||
| (правая рука) | |||||
| квадрат № 1 | 30.0±0.9 | 36.9±2.6 | <0.05 | ||
| квадрат №2 | 24.8±0.9 | 31.9±2.1 | <0.05 | ||
| квадрат №3 | 29.8±1.4 | 33.7±2.7 | >0.05 | ||
| квадрат №4 | 26.0±1.7 | 32.7±1.7 | <0.05 | ||
| квадрат №5 | 31.4±1.6 | 34.3±2.6 | >0.05 | ||
| квадрат №6 | 27.9±1.9 | 32.7±1.7 | >0.05 | ||
| Суммарный показатель | 169.9±1.4 | 204.6±2.2 | <0.01 | ||
| (левая рука) | |||||
| квадрат № 1 | 26.4±1.8 | 32.4±2.4 | <0.05 | ||
| квадрат № 2 | 20.3±2.5 | 29.8±1.7 | <0.05 | ||
| квадрат № 3 | 23.8±1.7 | 29.7±2.6 | <0.05 | ||
| квадрат № 4 | 23.6±2.1 | 28.5±2.6 | <0.05 | ||
| квадрат № 5 | 22.4±2.5 | 28.4±2.6 | >0.05 | ||
| квадрат № 6 | 24.8±2.1 | 30.3±2.3 | >0.05 | ||
| Суммарный показатель | 141.0±2.1 | 179.1±2.4 | <0.01 | ||
| 2 | Дифференцировка мышечных усилий, к 2 | ||||
| левая рука | 40.9±1.6 | 44.6±1.2 | <0.05 | ||
| ошибка | 3.8±1.4 | 4.0±0.9 | >0.05 | ||
| правая рука | 42.Ш.4 | 45.7±1.5 | <0.05 | ||
| ошибка | 6.0±0.6 | 3.7±0.7 | <0.05 | ||
| 3 | Быстрота двигательной реакции, см | 11.0±1.2 | 10.0±0.8 | >0.05 | |
| 4 | Точность реакции на движущийся объект, см | 4.5±0.7 | 4.2±0.6 | >0.01 | |
| 5 | Прыжок в длину с места, см | ||||
| Стандартные условия | 198.5±2.8 | 210.3±2.8 | <0.01 | ||
| Усложненные условия | 87.5±2.5 | 111.7±3.4 | <0.01 | ||
| 6 | Прыжки через скакалку с двойным | 14.3±1.3 | 18.4±0.8 | <0.01 | |
| прокрутом. количество прыжков | |||||
| 7 | Бег по квадрату 4Х5 м, с | 7.3±0.1 | 6.8±0.1 | <0.05 | |
Рассмотрев полученные данные можно сделать следующие заключения: достоверно повысилась частота и стабильность скоростной мануальной координации (рис. 14) как правой, так и левой руки;
не произошли изменения в скорости простой двигательной реакции и реакции на движущийся объект (р>0,01), хотя отмечается тенденция к повышению скорости реагирования на падающую гимнастическую палку;
в тестах на двигательную координацию отмечены улучшения показателей на уровне 99% значимости различий;
улучшилась дифференцировка мышечных усилий ведущей (правой) руки, а также повысился уровень максимальных показателей кистевой динамометрии.
Рис. 14. Показатели теппинг-теста вратарей 15-16 лет
Таким образом, можно говорить о положительном влиянии повышения физической подготовленности вратарей на различные компоненты координационных способностей, характеризующие состояние психомоторики организма спортсменов.
В заключении раздела рассмотрим динамику надежности технико-тактических показателей соревновательной деятельности вратарей, полученных в 10 играх первого и 10 играх второго круга первенства Москвы (табл. 24).
Напомним, что надежность определялась по отношению точно выполненных действий к их суммарному количеству в %.
Таблица 24 Изменения показателей надежности ТТД вратарей 15-16 лет в соревновательном периоде
| ТТД | Надежность ТТД в % | |
| I круг соревнований | II круг соревнований | |
| Игра в воротах | 67 | 78 |
| Игра на выходах | 54 | 62 |
| Организация атаки | 70 | 80 |
Во втором круге первенства Москвы, когда были снижены объемы силовых нагрузок и основной объем специально-подготовительных и специализированных средств подготовки был направлен на совершенствование взрывной силы и скоростно-силовой выносливости, наблюдалось повышение надежности выполнения ТТД вратарями в условиях соревновательной деятельности.
Выводы
-
Наиболее высокие темпы прироста двигательных способностей полевых игроков в футболе отмечаются в возрастном периоде от 13 до 14 лет. Данный этап онтогенеза является сенситивным для развития основных физических качеств. Для футбольных вратарей интенсивный прирост двигательных способностей приходится на возрастной период от 14 до 15 лет, т.е. на год позже, чем у полевых игроков.
-
Для вратарей 12-18 лет характерны следующие особенности возрастной динамики физических качеств: до 15 лет они по всем показаниям двигательных способностей уступают своим сверстникам, играющим в поле, за исключением становой силы. После 15 лет вратари опережают полевых игроков по показателям взрывной силы (высота выпрыгивания) и не имеют достоверных различий по уровню стартовой скорости.
-
Наименее выраженные изменения уровня физических качеств футбольных вратарей характерны для возрастного периода 15-16 лет, где наблюдается несущественное снижение скоростных качеств по отношению к возрасту 14-15 лет. К 18 годам уровень двигательных способностей вратарей достигает показателей, характерных для высококвалифицированных взрослых спортсменов.
-
В возрастном аспекте наиболее высокими темпами формируются скоростные качества юных футболистов, которые уже к 12 годам составляют 80-85% от показателей мастеров. Наибольшие резервы имеются в развитии скоростно-силовых качеств и силы, которые в 15-16 лет составляют 85- и 68% от уровня взрослых вратарей соответственно.
-
Специализированные нагрузки в системе тренировки вратарей 15-16 лет составляют 85-87% всех нагрузок соревновательного периода. Работа скоростно-силового характера занимает не более 10-11%, что не обеспечивает повышения двигательного потенциала вратарей учебно-тренировочных групп. Объем средств общей физической подготовки
вратарей от 12 до 16 лет в соревновательном периоде снижается от 9% (12-13 лет) до 6% (15-16 лет).
-
К основным принципам стратегии программированной физической подготовки вратарей 15-16 лет следует отнести: использование таких форм и методов построения тренировочных занятий при которых происходит наиболее эффективное развитие всех компонентов силовых способностей; одновременное развитие сократительных и окислительных свойств мышечного аппарата (нагрузки на уровне анаэробного порога - ЧСС до 150-160 уд./мин); параллельное развитие скорости и скоростной выносливости, силы и выносливости, координации и силовых способностей.
-
Объем нагрузок скоростно-силовой и силовой направленности в системе подготовки вратарей 15-16 лет должен составлять не менее 25-30%. На этапах соревновательного периода целесообразно планировать переход от силовой работы в первых мезоциклах к развитию взрывной силы и скоростно-силовой выносливости в заключительных мезоциклах. Объем специализированных упражнений в соревновательном периоде должен составлять 70-75% объема нагрузок. В процессе подготовки упражнения высокой координационной сложности занимают до 30-50% от нагрузок различной координационной сложности.
-
Реализация экспериментальной тренировочной программы сопровождалась достоверным повышением показателей стартовой скорости (4,5%), дистанционной скорости (3%), скоростной выносливости (4%), взрывной силы (5,5%) и становой силы (13%). Наименьшие изменения получены по результатам оценки дистанционной скорости и скоростной выносливости, где объем нагрузок экспериментального этапа мало отличался от общепринятой системы подготовки вратарей ДЮСШ.
-
Повышение уровня физической подготовки вратарей 15-16 лет оказывает положительное влияние на показатели психомоторики. В частности, увеличивается частота и стабильность скоростной мануальной координации (теппинг-тест), улучшаются способность к дифференцированию мышечных усилий и результаты тестов на двигательную координацию, что обеспечивает рост надежности технико-тактических показателей соревновательной деятельности.
БИБЛИОГРАФИЯ
-
Акимов A.M. Записки вратаря. - М.: Физкультура и спорт, 1968. - 208 с.
-
Акимов A.M. Игра футбольного вратаря. - М.: Физкультура и спорт, 1978. - 95с.
-
Алабин В.Г. Комплексный контроль в спорте // Теория и практика физической культуры. - 1995. - № 3 - с. 43-46.
-
Алев Н.Л. Эндокринные механизмы регуляции приспособления к физическому напряжению. - Тарту, 1978. - вып. 3-е. 88-89.
-
Андреев С.Н., Пискарев A.M., Игнатьев Б.П. Первенство Европы и Чемпионат мира по футболу среди юношей (16 лет) 1987 года - Методические рекомендации. - М., 1987. - 57 с.
-
Андружейчик М.Я., Семкин А.А., Шукан В.И. Некоторые показатели быстроты и скоростно-силовых качеств у футболистов // Вопросы теории и практики физической культуры. - Минск, 1979. - с. 14-19.
-
Антонио Мария Урибе Кардосо. Средства и методы скоростно-силовой подготовки юных футболистов 11-12 лет: Автореф. дис... канд. пед. наук. - М., 1985.-с. 23.
-
Арестов Ю.М. Анатомо-физиологические особенности детей и подростков / Футбол: Учебник для институтов физ. культуры. М.: Физкультура и спорт, 1978.-с. 208-212.
-
Асович И.М. Исследование скоростно-силовых качеств у подростков и юношей (на примере футбола): Автореф. дис... канд. пед. наук. - М., 1968. -с. 19.
-
Ашмарин Б.М. Теория и методика педагогических исследований в физическом воспитании. - М.: Физкультура и спорт, 1978. - 228 с.
11. Бакаринов Ю.М. Научно-методическое обоснование программирования тренировки в легкоатлетических метаниях: Автореф. дис... доктора пед. наук.-М., 1996.-48с.
-
Бернштейн Н.А. Очередные проблемы физиологии двигательной активности // Проблемы кибернетики / Ред. А.А. Ляпунов, вып. 6. - М.: Наука, 1961.-с. 101-160.
-
Бернштейн Н.А. Очерки по физиологии движений и физиологии активности. - М.: Медицина, 1966. - 348 с.
-
Благуш П. К теории тестирования двигательных способностей: Пер. с чешского - М.: Физкультура и спорт, 1982. - 165 с.
-
Бондаревский Е.Я. Надежность тестов, используемых для характеристики моторики человека // Теория и практика физической культуры. - 1970. - №5.-с. 15-18.
-
Бондаревский Е.Я. и др. Методология построения должных норм физической подготовленности. (Бондаревский Е.Я., Стародубцев М.В., Кочарян Ю.Е.) // Методические рекомендации. - ВНИИФК. - М., 1983. - 34с.
-
Бойко В.В. Целенаправленное развитие двигательных способностей человека. - М.: Физкультура и спорт, 1987. - 144 с.
-
Букуев М.О. Методика этапного программирования тренировочных нагрузок высококвалифицированных футболистов в годичном цикле: Автореф. дис... канд. пед. наук. - М., 1987. - с. 23.
-
Булкин В.А. Методология и технология предсоревновательной подготовки // Построение и содержание тренировочного процесса высоко квалифицированных спортсменов на этапах годичной подготовки. - М., 1988.-с. 32-40.
-
Вайцеховский С.М. Управление процессом тренировки: Книга тренера. - М.: Физкультура и спорт, 1977 - с. 24-28.
-
Вайцеховский С.М., Киселев А.Г. Принципы тренировки "Боди-Билдинг" // Теория и практика физической культуры. - 1989. - № 7. - с. 20.
-
Верхошанский Ю.В. Экспериментальное обоснование скоростно-силовой подготовки в связи с биодинамическими особенностями спортивных упражнений: Автореф. дис... канд. пед. наук. - М., 1963. - с. 22.
-
Верхошанский Ю.В. Ударный метод в развитии взрывной силы // Теория и практика физической культуры. - М., 1968. - № 8. - с. 13-18.
-
Верхошанский Ю.В. Основы специальной силовой подготовки в спорте. - М.: Физкультура и спорт, 1977. - с. 215.
-
Верхошанский Ю.В. Программирование и организация тренировочного процесса. - М.: Физкультура и спорт, 1985. - 239 с.
-
Верхошанский Ю.В. Теоретико-методические подходы к реализации идеи управления тренировочными процессами // Теория и практика физической культуры. - 1981. - № 4. - с. 8-11.
-
Верхошанский Ю.В. Основы специальной физической подготовки спортсменов. - М.: Физкультура и спорт, 1988. - 330 с.
-
Верхошанский Ю.В., Лазарев В.В. Основные положения организации тренировочного процесса хоккеистов // Тенденции развития спорта высших достижений. - М., 1993. - с. 121-134.
-
Виру А.А. Гормональные механизмы адаптации и тренировки. Л.: Наука, 1981.-156 с.
-
Витковский Збигнев. Координационные способности юных футболистов: диагностика, структура, онтогенез: Автореф. дис.. канд. пед. наук. - М., 2003.-20 с.
-
Волков В.М., Филин В.П. Спортивный отбор. - М.: Физкультура и спорт, 1983.- 176с.
-
Волков В.М. К вопросу о предпосылках развития двигательных способностей // Тезисы докладов XIV Всероссийской научно-практической конференции "Актуальные проблемы совершенствования системы подготовки спортивных резервов". - М.: Комитет РФ по физической культуре и туризму, 1994. -с. 136-137.
-
Волков Н.И. Влияние величины интервалов отдыха на тренировочный эффект, вызываемый повторной мышечной работой // Теория и практика физической культуры. - 1962. - № 2. - с. 32-35.
-
Волков Н.И. Энергетический обмен и работоспособность человека в условиях напряженной мышечной деятельности: Автореф. дис... канд. пед. наук.-М., 1969.-57с.
-
Волков Н.И., Стенин Б.А. Тренировка сильнейших конькобежцев мира. - М.: Физкультура и спорт, 1970. - 120 с.
-
Гакаме Р.З. Функциональное состояние и физическое развитие футболистов 9-22 лет: Автореф дис... конд. пед. наук. Краснодар, 1995. - 22с.
-
Гандельсман А.Б., Смирнов К.М. Физиологические основы методики спортивной тренировки. - М.: Физкультура и спорт, 1970. - 232 с.
-
Гейтл Б. Техническая подготовка футболистов // Подготовка футболистов. - М.: Физкультура и спорт, 1977. - с. 69-93.
-
Годик М.А. Контроль тренировочных и соревновательных нагрузок. - М.: Физкультура и спорт, 1988. - 192 с.
-
Голомазов С.В., Чирова Б.Г. Тренировка вратаря. - М.: РГАФК, 1996. - 203с.
-
Гранаткин В., Фокин Е. Игра вратаря. - М.: Физкультура и спорт, 1953. - 115с.
-
Гриндлер X., Пальке X., Хеммо X. Физическая подготовка футболистов. - М.: Физкультура и спорт, 1976. - с. 229.
-
Грукаленко А.Н. Оптимальное соотношение тренировочных и соревновательных нагрузок в процессе подготовки футболистов высокой квалификации: Автореф. дис... канд. пед. наук. - М., 1983. - с. 18.
-
Гужаловский А.А. Этапность развития физических (двигательных) качеств и проблема оптимизации физической подготовки детей школьного возраста: Автореф. дис... канд. пед. наук. - М., 1978. - 26 с.
-
Джандаров Д.З. Сопряженное развитие физических и психических качеств юных боксеров 13-14 и 15-16 лет: Автореф. дис... канд. пед. наук. - М., 2003.-23 с.
-
Дьячков В.М. Физическая подготовка спортсмена. - 2-е изд., перераб. - М.: Физкультура и спорт, 1967. - 40 с.
-
Дьячков В.М. К вопросу управления процессом совершенствования технического мастерства спортсменов // Проблемы высшего спортивного мастерства. - М., 1969. - с. 1-13.
-
Евстафьев Б.В. Физические способности, как вид способностей человека. - Л.: Просвещение, 1987. - с. 40.
-
Железняк Ю.Д. Проблемы формирования двигательных навыков и тактических умений при обучении школьников волейболу: Автореф. дис... канд. пед. наук. - М., 1962 - 17 с.
-
Зациорский В.М. Физические качества спортсмена. - М.: Физкультура и спорт, 1970.-200с.
-
Зациорский В.М. Основы спортивной метрологии. - М.: Физкультура и спорт, 1979. - 152 с.
-
Зациорский В.М., Райцин Л.М. Перенос кумулятивного тренировочного эффекта в силовых упражнениях // Теория и практика физической культуры. - 1974. - № 6 .- с. 12-15.
-
Захаров Е.Н., Карасев А.В., Сафонов А.А. Энциклопедия физической подготовки (методические основы развития физических качеств) под общей редакцией Карасева А.В. - М.: Лептос, 1994. - с. 338.
-
Зедгинидзе В.И. Программирование учебно-тренировочного процесса в спортивных играх: Сборник науч. трудов. - Л., 1988. - с. 43-52.
-
Зеленцов A.M., Базилевич О.П., Лобановский В.В. К вопросу об управлении развитием физических качеств футболиста в подготовительном периоде // Управление спортивной тренировкой. - Киев, 1974-с. 54-58.
-
Зеленцов A.M., Лобановский В.В. Моделирование тренировки в футболе. - Киев: Здоров'я, 1985. - с. 134.
-
Зимкин Н.В. Физиологическая характеристика силы, быстроты, выносливости. - М.: Физкультура и спорт, 1956. - с. 148.
-
Золотарев А.П. Структура и содержание многолетней подготовки спортивного резерва в футболе: Автореф. дис... док. пед. наук. - Краснодар, 1997. - с. 50.
-
Игнатьева В.Я. Многолетняя подготовка гандболистов (теория, методика и организация): Дис. в виде научного доклада док. пед. наук. - М., 1995. - с. 87.
-
Ильин Е.П. Психофизиология физического воспитания. - М.: Просвещение, 1980. - 194 с.
-
Исаев Л.Н. Педагогическая эффективность программированного обучения // Советская педагогика. - 1963. - № 21. - с. 32-39.
-
Иссурин Б.Б. Потенциальные и актуальные двигательные способности // Теория и практика физической культуры. - 1986. - № 4. - с. 13-16.
-
Имандалиев Т.Т. Сопряженная физическая и технико-тактическая подготовка футболистов на этапе спортивного совершенствования: Автореф. дис... канд. пед. наук. - М., 1993. - с. 24.
-
Келлер B.C. Деятельность спортсменов в вариативных конфликтных ситуациях. - Киев: Здоровье, 1977. - 184 с.
-
Кириллов А.А. Содержание тренировки в подготовительном периоде у футболистов высокой квалификации: Метод. Рекомендации. - М., 1982 - с. 35.
-
Кисилев А.П. Силовая подготовка высококвалифицированных пловцов на основе реализации использования метода субмаксимальных отягощений: Автореф. дис... канд. пед. наук. - М., 1990. - с. 24.
-
Ковалев В.В. Соотношение тренировочных нагрузок у футболистов 14-15 лет с различным биологическим возрастом: Автореф. дис. канд. пед. наук. - М., 1986-26 с.
-
Коренберг В.Б. Проблема физических и двигательных качеств // Теория и практика физической культуры. - 1996. - № 7. - с. 2-5.
-
Кудрявцев В.Д. Исследование физических качеств мальчиков и их прогностическое значение для отбора в группы подготовки юных футболистов: Автореф. дис... канд. пед. наук. - М. - 1978. - 24 с.
-
Кузнецов А.А. Организационно-методическая структура учебно- тренировочного процесса в СДЮШОР по футболу: методические рекомендации. - М., 1990. - 69 с.
-
Кузнецов В.В. Силовая подготовка спортсменов высших разрядов. - М.: Физкультура и спорт, 1970. - 207 с.
-
Кучин В.А. Особенности методики физической подготовки юных регбистов на этапе углубленной спортивной тренировки: Автореф. дис... канд. пед. наук . - М., 1981. - 23 с.
-
Л злаков Г. С. Построение тренировочных микроциклов подготовительного периода для футболистов 17-19 лет: Автореф. дис... канд. пед. наук. - Омск, 1984.-21 с.
-
Л злаков Г. С. Структура и содержание тренировочных нагрузок нэ различных этапах многолетней подготовки: Автореф. дис... док. пед. наук. -Омск, 1998.-54с.
-
Лисенчук Т.А. Соревновзтельные микроциклы в подготовке квалифицированных футболистов. Автореф. дис... канд. пед. наук. - Киев, 1989.-23с.
-
Локтев С.А. Оргзнизационно-педагогическзя концепция преобразовзния системы подготовки спортивного резерва в беге на средние и длинные дистанции: Автореф. дис... док. пед. наук. - СПб, 1994. - 45 с.
-
Луис Герардо Мело Бетнокоурт. Использование комплексных средств и методов скоростно-силовой подготовки юных футболистов: Автореф. дис... канд. пед. наук. - М., 1996. - 24 с.
-
Люкшинов Н.М. Состояние и тенденции развития современного футбола // Футбол: Ежегодник. - М.: Физкультура и спорт, 1981. - с. 20-24.
-
Лях В.И. Координационные способности школьников. - Минск: Полымя, 1989.-160с.
-
Лях В.И. Двигательные способности школьников: основы теории и методики развития. - М.: Терра-Спорт, 2000. - 192 с.
-
Макаренко В.Г. Управление физической подготовленностью юных футболистов на основе модельных характеристик: Автореф. дис... канд. пед. наук. - М., 1982. - 23 с.
-
Малиновский С.В. Применение систем программированного обучения в спорте. // Теория и практика физической культуры. - 1972. - № 3. - с. 15-17.
-
Малиновский С.В. Программированное обучение и спорт. - М.: Физкультура и спорт, 1976. - 112 с.
-
Матвеев Л.П. К теории построения спортивной тренировки // Теория и практика физической культуры. -1991.-№12.-с. 11-20.
-
Матвеев Л.П. Теория и методика физической культуры: Учебник для институтов физ. культуры. - М.: Физкультура и спорт, 1991. - 543 с.
-
Матвеев Л.П., Новиков А.Д. Теория и методика физического воспитания. - Т.П. - М.: Физкультура и спорт, 1976. - 246 с.
-
Мацак А.Б. Построение годичного цикла тренировки квалифицированных баскетболистов на этапе спортивного совершенствования: Автореф. дис... канд. пед. наук. - М., 1988. - 22 с.
-
Михайлов В.В. О возможностях относительно равномерного распределения тренировок при подготовке спортсменов высокой квалификации // Построение и содержание тренировочного процесса высококвалифицированных спортсменов на различных этапах годичной подготовки. -М., 1988. -с. 112-116.
-
Михайлов В.В., Панов Т.М. Тренировка конькобежца-многоборца. - М.: Физкультура и спорт, 1975. - 227 с.
-
Моделирование системы построения тренировки в годичном цикле // Научная информация. - М., 1979. - 54 с.
-
Молибог А.Г. Программированное обучение. - М.: Высшая школа, 1967. - 198с.
-
Морозов Ю.А. Оценка специальной работоспособности футболистов // Теория и практика физической культуры. - 1974. - № 8. - с. 35-39.
-
Морозов Ю.А. Предигровая разминка как фактор готовности футболиста к игре: Автореф. дис... канд. пед. наук. - Л., 1982. - 21 с.
-
Мосягин С.И. Эффективность и качество - основа успеха // Ежегодник: Футбол. - М.: Физкультура и спорт, 1982. - с. 28-29.
-
Мотылянская Р.Е., Величенко В.К., Перминов Л.М. Медицинские аспекты спортивного отбора. - М., 1988. - 86 с.
-
Мрус Мазан Ахмед. Совершенствование скоростной выносливости футболистов 14-15 лет на заключительном этапе подготовительного периода: Автореф. дис... канд. пед. наук. - Киев, 1991. - 20 с.
-
Мусагалиева Г.М., Кирина Л.Е. Возрастное становление функциональных показателей детей 12-15 лет, занимающихся футболом, плаванием и гимнастикой // Система многолетней подготовки юных спортсменов. - Алма-Ата, 1985. - с. 38-41.
-
Мусралиев К.И. Соотношение специфических и неспецифических средств подготовки при повышении выносливости юных футболистов: Автореф. дис... канд. пед. наук. - М., 1984. - 20 с.
-
Мынарски В. Факторная структура координационных способностей детей и молодежи 8-18 лет // Теория и практика физической культуры, 1994. - №10.-с. 29-35.
-
Набатникова М.Я. О критериях оптимальности в подготовке юных спортсменов // Особенности построения тренировки юных спортсменов: Сб. Научных трудов ВНИИФК. - М., 1983. - с. 17-27.
-
Набатникова М.Я. Развитие научных основ юношеского спорта // Теория и практика физической культуры. - 1983. - № 1. - с. 45-47.
-
Набатникова М.Я. Система контроля в юношеском спорте: состояние и перспективы // Комплексный контроль в подготовке юных спортсменов: Тез. докл. IX Всесоюзн. научно-практ. конф. (Ворошиловград), М., Спорткомитет СССР, 1984. - с. 27-28.
-
Набатникова М.Я. Взаимосвязь уровня разносторонней физической подготовленности и спортивных результатов у юных спортсменов // Теория и практика физической культуры. - 1984. - № 10. - с. 27-28.
-
Набатникова М.Я. Особенности комплексного педагогического контроля в системе подготовки юных спортсменов // Олимпийский резерв. - Киев: Спорткомитет, 1982. - с. 129-136.
-
Набатникова М.Я. Основы управления подготовкой спортсменов. - М.: Физкультура и спорт, 1982. - 266 с.
-
Набоков Б.П. О тренировке вратаря // Футбол сегодня и завтра. - М., 1963. - с. 160-173.
-
Никитушкин В.Г., Губа В.П. Методы отбора в игровые виды спорта. - М., 1998.-288с.
-
Озеров В.А. Сочетание непрерывного и интервального методов тренировки как фактор управления физической подготовкой футболистов высокой квалификации: Автореф. дис... канд. пед. наук. - М., 1990. - 24 с.
-
Озолин Н.Г. Современная система спортивной тренировки. - М.: Физкультура и спорт, 1970. - 479 с.
-
Петровский В.В. Организация спортивной тренировки. - Киев: Здоров'я, 1978.-96с.
-
Платонов В.А. Программированная физическая подготовка юных баскетболистов 11-16 лет: Автореф. дис. канд. пед. наук. - М., 2001. - 24 с.
-
Платонов В.Н. Современная спортивная тренировка. - Киев: Здоров'я, 1980.-336с.
ПЗ.Палтонов В.Н. Теория и методика спортивной тренировки. Киев: Вища школа, 1984 - 336 с.
-
Платонов В.Н. Подготовка квалифицированных спортсменов. - М.: Физкультура и спорт, 1986. - 288 с.
-
Платонов В.Н. Адаптация в спорте. - Киев: Здоров'я, 1988. - 216 с.
-
Платонов В.Н., Сахновский К.П. Подготовка юного спортсмена. - Киев: Радяньска школа, 1988. - 288 с.
-
Подготовка молодого футболиста / Под ред. Я. Палфаи. - М.: Физкультура и спорт, 1973.- 148с.
-
Программирование учебно-тренировочного процесса в спортивных играх: Сборник научных трудов / ГЦОЛИФК им. Лесгафта. - Л., 1988. - 277 с.
-
Родионов А.В. Психодиагностика спортивных способностей. - М.: Физкультура и спорт, 1973. - 203 с.
-
Романенко А.Н., Джус О.Н., Дагадин М.Е. Книга тренера по футболу. - Киев: Здоров'я, 1988. - 250 с.
-
Савин С.А. Футболист в игре и тренировке. - М.: Физкультура и спорт, 1975.- 108с.
-
Система подготовки спортивного резерва / Под ред. Никитушкина В.Г. - М., 1994.-316с.
-
Скоморохов Е.В. Комплексный контроль и методы совершенствования специальной подготовленности высококвалифицированных футболистов: Автореф. дис... канд. пед. наук. - Малаховка, 1980. - 24 с.
-
Соломонко О.В. Тренировка вратаря в футболе. - Киев: Здоров'я, 1986. - 128с.
-
Сухачев С.Г. Индивидуализация развития скоростно-силовых качеств юных футболистов 15-16 лет с учетом периодических изменений их функциональной готовности: Автореф. дис... канд. пед. наук. - Л., 1989. - 22с.
-
Сучилин А.А. Теоретико-методологические основы подготовки резерва для профессионального футбола : Автореф. дис... док. пед. наук в виде научного доклада. - Волгоград, 1997. - 74 с.
-
Теория и методика физической культуры (курс лекций): Учебное пособие / Под ред. Ю.Ф. Курамшина, В.И. Попова. - СПб, 1999. - 324 с.
-
Тюленьков С.Ю. "Адаптационный барьер" и пути его преодоления в системе управления подготовкой футболистов // Научные труды ВНИИФК за 1996 г. - М., 1997. - с. 369-372.
-
Тюленьков С.Ю., Губа В.П., Прохоров А.В. Теоретико-методические аспекты подготовки футболистов // Учебное пособие. - Смоленск, 1997. - 116с.
-
Удалов А.А. Методика подготовки вратарей // Юный футболист. - М., 1974.-с. 101-110.
Фокин Е.В. Игра вратаря. - М.: Физкультура и спорт, 1967. - 85 с.
-
Фарфаль B.C., Коц Я.М. Физиология человека (с основами биохимии). - М.: Физкультура и спорт, 1970. - 343 с.
-
Фарфель B.C. Двигательные способности // Теория и практика физической культуры. - 1977. - № 12. - с. 93-102.
-
Филин В.П., Фомин Н.А. Основы юношеского спорта. - М.: Физкультура и спорт.- 1980.-255с.
-
Футбол: Учебная программа для спортивных школ. - М., 1881. - 118 с.
-
Футбол. Поурочная программа для учебно-тренировочных групп. - М., 1985.-116с.
-
Футбол. Поурочная программа для учебно-тренировочных групп и групп спортивного совершенствования ДЮСШ и СДЮШОР. - М., 1986. - 261 с.
-
Хачатурян С.Т. Индивидуально-тактическая подготовка вратарей на основе активизации движений футболистов: Автореф. дис... канд. пед. наук. - М., 2000. - 23 с.
-
Хайдайрлиу СХ. Функциональная биохимия адаптации. - Кишинев, 1984. - 265с.
-
Хрущев С.В., Круглый М.А. Тренеру о юном спортсмене. - М.: Физкультура и спорт, 1982. - 195 с.
-
Чебан М.В. Рациональное построение тренировочного этапа преимущественно скоростно-силовой направленности в соревновательном периоде подготовки футболистов высокой квалификации: Автореф. дис... канд. пед. наук. - М., 1989. - 22 с.
-
Шамардин А.И. Исследование игровой деятельности вратаря в футболе и экспериментальное обоснование методики подготовки: Автореф. дис... канд. пед. наук. - М., 1979. - 15 с.
-
Шамардин В.Н. Исследование физических нагрузок юных футболистов (15-17 лет) в годичном цикле тренировки: Автореф. дис. канд. пед... наук. -М., 1980.-21 с.
-
Шамардин А.И. Содержание технико-тактических действий вратарей в условиях игры и тренировки // Футбол: Ежегодник. - М., 1983. - с 48.
-
Шамардин А.И. Технология оптимизации функциональной подготов ленности футболистов: Автореф. дис... док. пед. наук. - М., 2000. - 50 с.
-
Шахов Ш.К. Индивидуально-программированная физическая подготовка в видах спорта группы единоборств: Автореф. дис... док. пед. наук. - М., 1998.-52 с.
-
Шестков М.М. Индивидуализация учебно-тренировочного процесса в командных спортивных играх: Автореф дис... канд. пед. наук. - М., 1992. - 44с.
-
Ченегин В.М. Физическое развитие и половое созревание юных спортсменов. - Волгоград, 1988. - с. 39-40.
-
Чулибаев Д.В., Скоморохов Е.В., Тюленьков С.Ю. Тренировочные микроциклы скоростно-силовой направленности в подготовке юных футболистов: Методические рекомендации. - 1996. - 24 с.
-
Юный футболист: Учебное пособие для тренеров / Под ред. А.П. Лаптева, А.А. Сучилина. - М.: Физкультура и спорт, 1983. - 225 с.
-
Ясер Абделазим Салем. Скоростно-силовая подготовка юных футболистов учебно-тренировочных групп спортивных школ (3-4 года обучения): Автореф. дис. канд. пед. наук. - М., 1989. - 23 с.















