150657 (594570), страница 2
Текст из файла (страница 2)
Трансформаторы и автотрансформаторы. Выбор между трансформаторами и автотрансформаторами для подстанций решается однозначно в зависимости от принятой системы рабочего заземления связываемых сетей. Эффективно-заземленные сети 110 кВ и выше связывают с помощью автотрансформаторов; исключение из этого правила делается только в случаях необходимости ограничения тока однофазного к.з. К обмоткам низшего напряжения автотрансформаторов могут быть присоединены незаземленные и компенсированные сети. Связь эффективно-заземленной сети с не-заземленной или компенсированной сетью (35 кВ и ниже), а также связь двух незаземленных, компенсированных сетей может быть осуществлена только с помощью трансформаторов, обмотки которых электрически не соединены. На подстанциях с высшим напряжением до 500 кВ включительно, как правило, устанавливают трехфазные трансформаторы (автотрансформаторы). Исключение может быть сделано только для подстанций очень большой мощности или при наличии ограничений по условиям транспорта. В этих случаях применяют группы из двух спаренных трехфазных трансформаторов меньшей мощности или группы из однофазных трансформаторов.
При одной группе однофазных трансформаторов предусматривают резервную фазу, которая может быть присоединена взамен поврежденного трансформатора при помощи перемычек при снятом напряжении. При двух группах однофазных трансформаторов вопрос о целесообразности установки резервной фазы решается в зависимости от наличия резервных связей по сети среднего напряжения. Замена поврежденного трансформатора резервным осуществляется путем перекатки последнего с одного фундамента на другой.
На подстанции устанавливает, как правило, не более двух трансформаторов (автотрансформаторов). На таких подстанциях при отсутствии резервных связей по сетям среднего и низшего напряжений мощность каждого трансформатора выбирают равной 0,65-0,7 суммарной максимальной нагрузки подстанции на расчетный период.
В случае повреждения одного трансформатора второй трансформатор должен обеспечить с допустимой перегрузкой нормальное электроснабжение потребителей, Здесь речь идет об аварийной перегрузке, ограниченной Лишь максимальной температурой обмотки 140°С и масла 115° С.
Чтобы уменьшить длительность аварийного состояния подстанции, применяют передвижные резервные трансформаторы мощностью до 25-32 MB-А, которые могут быть быстро доставлены на подстанцию с помощью автотранспорта и введены в работу. Время, необходимое для замены поврежденного трансформатора резервным, зависит от массы трансформатора и состояния дорог. Обычно для этого необходимо От 1 до 5 суток. На подстанциях, обеспеченных передвижным резервом, длительность аварийного состояния минимальна и число «отжитых» суток при аварийной перегрузке трансформатора не слишком велико.
Дальнейшее увеличение мощности двух-трансформаторных подстанций при увеличении нагрузки сверх принятого уровня производится, как правило, путем замены трансформаторов на более мощные. При проектировании подстанций номинальный ток коммутационных аппаратов, сечения шин в присоединениях трансформаторов выбирают, как правило, с учетом возможности замены трансформаторов более мощными.
Подстанции с одним трансформатором допускаются при условии резервирования потребителей 1-й и 2-й категорий по сетям среднего и низшего напряжения, а также для электроснабжения потребителей 3-й категории при наличии в районе передвижных резервных трансформаторов и возможности замены поврежденного трансформатора в течение не более 1 суток.
На подстанциях с высшим напряжением ПО-220 кВ и двумя пониженными напряжениями 35 и 6-10 кВ применяют трехобмоточные трансформаторы 110-220/35/10-6 кВ.
Режим работы трансформаторов. На подстанциях с несколькими трансформаторами (автотрансформаторами) принято держать все трансформаторы включенными, несмотря на то, что нагрузка подстанции подвержена значительным изменениям в течение суток и года. Экономия электроэнергии, которая могла бы быть получена при отключении части трансформаторов в часы минимума нагрузки, относительно невелика. В то же время частые отключения трансформаторов нежелательны, так как каждое отключение связано с перенапряжением, а каждое включение - с появлением значительного переходного тока и соответствующих электродинамических сил в обмотках. При этом нарушается прочность крепления обмоток. Систематические Отключения и включения трансформаторов связаны с износом коммутационных аппаратов.
Регулирование напряжения.
Трансформаторы и автотрансформаторы, установленные на подстанциях, как правило, должны быть выполнены с устройствами для изменения коэффициента трансформации под нагрузкой. Исключение из этого правила может быть сделано только для небольших трансформаторов с низшим напряжением 380/220 В. На подстанциях с автотрансформаторами при наличии потребителей, присоединенных к третичным обмоткам автотрансформаторов, предусматривают установку линейных регулировочных трансформаторов для независимого регулирования напряжения на стороне низшего напряжения.
Схемы распределительных устройств высшего напряжения определяются положением подстанции в сети, напряжением сети, числом присоединений. Различают следующие типы подстанций по признаку их положения в сети высшего напряжения: подстанции узловые, проходные, присоединенные на ответвлениях и концевые. Как известно, узлом называют точку сети, в которой сходятся не менее трех линий. Предполагается при этом, что каждая линия связывает узел с источником энергии. Однако встречаются подстанции с двумя питающими линиями, к сборным шинам которых присоединено еще несколько линий, питающих
подстанции того же напряжения. Такие подстанции также принято относить к числу узловых. Число узловых подстанций в системе относительно невелико. Узловые и проходные подстанции являются транзитными, поскольку мощность, передаваемая по линии, проходит через сборные шины этих подстанций.
Изучение схем РУ высшего напряжения подстанций удобно начать с рассмотрения схем узловых подстанций большой мощности. Согласно рекомендациям Норм технологического проектирования подстанций РУ 330-750 кВ следует выполнять но схемам кольцевого типа в соответствий с числом присоединений, а именно: при трех и четырех присоединениях - соответственно по схемам треугольника или квадрата; при пяти-шести присоединениях- по схеме трансформаторы - шины с присоединением линий через два выключателя; при семи - восьми присоединениях- по схеме трансформаторы - шины с присоединением линий по схеме 3/2; при числе присоединений свыше восьми - по полной полуторной схеме. Перечисленные схемы относятся к одному виду и позволяют постепенно преобразовать РУ от простого к сложному по мере развития подстанции.
Распределительные устройства высшего напряжения 220 кВ при трех-четырех линиях рекомендуется также выполнять по схемам кольцевого типа. При этом линии и трансформаторы подлежат присоединению к углам треугольника или квадрата через разъединители и отделители (рис. 1.2.1).В таких схемах число выключателей получается минимальным. Недостаток их заключается в том, что линия и соответствующий трансформатор в случае повреждения в одной из этих ветвей отключаются вместе. Работа неповрежденной ветви (линии, трансформатора) может быть быстро восстановлена путем отключения соответствующего отделителя и повторного включения выключателей. Эти операции целесообразно автоматизировать.
Для РУ высшего напряжения НО-220 кВ при числе присоединений, равном семи и более, НТП рекомендуют схему с двумя системами сборных шин и обходной системой. Распределительные устройства высшего напряжения 110-220 кВ с числом присоединений до 10 и преобладанием парных линий или линий, резервированных от других подстанций, могут быть выполнены с одной секционированной системой сборных шин и обходной системой. При числе линий до четырех и трансформаторах мощностью до 63 MB-А допускается присоединение последних к сборным шинам через отделители.
. Распределительные устройства высшего напряжения проходных подстанций ПО-220 кВ на линиях с двусторонним питанием следует выполнять с одним выключателем и ремонтной перемычкой из двух нормально отключенных разъединителей. При этом трансформаторы подлежат присоединению к линии по обе стороны выключателя через разъединители и отделители (рис. 1.2.2). При такой схеме в случае повреждения линии слева или справа от рассматриваемой подстанции отключению подлежит поврежденный участок вместе с трансформатором. Работа последнего может быть быстро восстановлена после отключения разъединителя поврежденной линии и повторного включения выключателя. В случае повреждения трансформатора и отключения соответствующего участка линии поврежденный трансформатор должен быть отсоединен, а линия включена вновь.
В схемах с трансформаторами, присоединенными через отделители (рис. 1.2.1, 1.2.2), трансформаторы подлежат отключению линейными выключателями, отстоящими часто на значительном расстоянии. Передача отключающего импульса от защиты трансформатора к соответствующему выключателю может быть осуществлена по специальным линиям связи. Применение получили также схемы-с короткозамыкателями, включение которых равносильно искусственному к.з. у зажимов трансформатора.
Рис. 1.2.1 - Схема РУ высшего напряжения узловой подстанции 220 кВ с присоединением трансформаторов вместе с линиями к углам квадрата
Рис. 1.2.2 - Схема РУ высшего напряжения 110-220 кВ проходной подстанции с одним выключателем
При этом ток в линии резко увеличивается и срабатывает линейная защита, отключающая линию вместе с поврежденным трансформатором. Полное время отключения линии и трансформатора составляет 0,5-0,8 с. Оно слагается из времени срабатывания защиты трансформатора, короткозамыкателя, линейной защиты и линейных выключателей. После отключения трансформатора наступает пауза (необходимая для проверки отсутствия тока). Затем отключается отделитель, действующий относительно медленно, и повторно включается линия. Для проверки работы отделителей и короткозамыкателей при отключенном трансформаторе предусматривают разъединители с ручным управлением.
Для РУ высшего напряжения 35 кВ при числе присоединений до десяти включительно НТП рекомендуют одиночную систему сборных шин. При большем числе присоединений допускается схема с двумя системами сборных шин.
Особое место занимают двухтрансформаторные подстанции 35 - 220 кВ, подлежащие присоединению к параллельным линиям на ответвлениях или в качестве концевых подстанций. Число таких подстанций очень велико.
Нормы технологического проектирования подстанций рекомендуют для них ряд типовых схем без выключателей:
а) блочную схему с присоединением трансформаторов к линиям через разъединители, отделители и установкой короткозамыкателей;
б) блочную схему с разъединителями, отделителями и короткозамыкателями у трансформаторов и ремонтной перемычкой из двух нормально отключенных разъединителей со стороны линий;
в) блочную схему с разъединителями, отделителями и короткозамыкателями на линиях и перемычкой с отделителем двустороннего действия у трансформаторов.
Блочная схема без перемычки целесообразна при небольшой длине линий, поскольку при этом вероятность отключения линии вместе с трансформатором относительно мала. Недостаток этой схемы заключается в том, что при повреждении и ремонте линии в работе остается один трансформатор. Электроснабжение не прерывается, но оставшийся в работе трансформатор может оказаться сильно перегруженным.
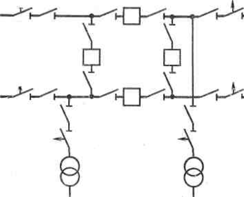
Схема с ремонтной перемычкой из разъединителей (рис. 1.2.3) обеспечивает возможность присоединения обоих трансформаторов к одной линии при ремонте второй.
Рис. 1.2.3 - Схема присоединения подстанции с перемычкой из разъединителей
Схемы распределительных устройств низшего напряжения. Для РУ 6-10 кВ рекомендуют схему с одной секционированной системой сборных шин (рис. 1.2.4,). Для ограничения тока к. з. секционный выключатель при нормальной работе должен быть разомкнут. В случае отключения трансформатора секционный выключатель включается автоматически устройством АВР. При необходимости дальнейшего ограничения тока к. з. применяют трансформаторы с расщепленными обмотками низшего напряжения или токоограничивающие реакторы (простые или сдвоенные) у трансформаторов.
















