150379 (594543), страница 3
Текст из файла (страница 3)
Совершенно независимо от Франклина начал "электрические воздушные наблюдения" и Ломоносов. Ему удалось с помощью электрического указателя установить электрическое состояние атмосферы в отсутствие грома и молнии. Об этом он сообщал в своей посмертно опубликованной статье.
Рихман и Ломоносов не приняли теории Франклина. Ломоносов разрабатывал свою теорию электрических явлений, в которой сделал попытку объяснить электричество движением частиц эфира. Сопоставляя это с идеей Рихмана об электрическом поле, можно констатировать, что если Франклин предвосхитил будущую электронную теорию, то петербургские академики предвосхитили будущую теорию поля Фарадея — Максвелла.
В 1759 г. в Петербурге вышла на латинском языке книга "Опыт теории электричества и магнетизма" академика Франца Ульриха Теодора Эпинуса (1724—1802). За два года до выхода этой книги член Берлинской Академии наук Эпинус принял приглашение Петербургской Академии наук и заключил контракт на пять лет.
"Опыт теории электричества и магнетизма" Эпинуса, в отличие от книги Франклина и работ Рихмана, рассматривал не только электрические явления, но и магнетизм. При этом в отличие от Гильберта, Эпинус ищет не отличия, а сходства между электричеством и магнетизмом. Открытие им полярной электризации турмалина при нагревании (пироэлектричество), опубликованное им в 1756 г., поразило его в особенности тем, что он обнаружил "чрезвычайное сходство между этим камнем (турмалином) и магнитом". Под впечатлением этого открытия Эпинус "начал снова исследовать сходство между магнитом и электрической силой". В результате этих исследований он стал считать "причины магнитных и электрических явлений совершенно сходными, а действия магнита аналогичными действиям лейденской банки".
В основу своей теории Эпинус кладет представление об электрической и магнитной жидкостях, частицы которых взаимодействуют с материей и между собой притягательными и отталкивательными силами. Следуя примеру Ньютона, Эпинус не рассматривает природу этих сил, а описывает с помощью их экспериментальные факты. Вместе с тем Эпинус замечает, что хотя он "вполне убежден в существовании сил притяжения и отталкивания ", однако не считает их, "как поступают некоторые неосторожные последователи великого Ньютона, силами, внутренне присущими телам", и не одобряет учения, "которое постулирует действие на расстояние". "...Мой взгляд, — пишет Эпинус, — сводится к тому, что притяжения и отталкивания... я считаю явлениями, причины которых еще скрыты, однако от них зависят и от них берут начало другие явления". Эпинус принимает франклиновскую гипотезу единой электрической жидкости: "Существует некая жидкость, производящая все электрические явления и вследствие этого названная электрическою, тончайшая, весьма эластичная, части которой, даже на значительных расстояниях, заметно отталкивают друг друга". "Частицы этой жидкости притягиваются материей, из которой состоят все известные до сих пор тела".
По отношению к электрической жидкости материальные тела разделяются на два класса: одни легко проводят электрическую материю, другие "препятствуют ее свободному перемещению". Первую группу тел Эпинус называет "не электрическими по своей природе", другую - "электрическими по своей природе".
Выше говорилось, что Франклин считал эти термины неправильными и предпочитал говорить о проводниках и непроводниках. Однако термины "неэлектрик", "электрик" держались долго и лишь в первой половине XIX в. были заменены привычными для нас терминами "проводники" и "изоляторы".
По аналогии с электрическими явлениями Эпинус вводит для описания магнитных явлений магнитную жидкость. "...Ее частицы, как и частицы электрической жидкости, взаимно отталкивают друг друга". Однако большинство тел в природе не реагирует с магнитной жидкостью, лишь некоторые тела, и прежде всего железо, притягиваются магнитной материей.
"Существует величайшее сходство между железом и железными телами, с одной стороны, и телами, электрическими по своей природе, с другой..." "До сих пор неизвестно ни одного тела, которое действовало бы на магнитную материю и соответствовало бы телам, не электрическим по природе". Таким образом, Эпинус констатирует сходство магнетиков (ферромагнетиков) и "электриков" (диэлектриков), а также отсутствие для магнетизма проводимости, аналогичной электрической проводимости. Но в остальном электрическая и магнитная жидкости, по Эпинусу, действуют по сходным законам. Так, тела не взаимодействуют, если содержат "естественное" количество электрической или магнитной жидкости. Электричество и магнетизм возникает "..либо увеличением количества электрической или магнитной жидкости так, чтобы оно стало выше естественного, либо уменьшением так, чтобы оно стало ниже его". "Франклин назвал, - говорит Эпинус, - электричество, которое получается путем увеличения количества электрической материи, положительным, а то, которое получается путем ее уменьшения, отрицательным. В том же смысле я сохраняю эти термины, перенося их на магнетизм".
В том же, 1759 г., в котором вышло сочинение Эпинуса, англичанин Саймер выдвинул дуалистическую теорию электричества, предположив существование двух противоположных родов электричества: одного - аналогичного электричеству, получающемуся на стекле при его натирании, другого - аналогичного электричеству, получающемуся при электризации янтаря ("смоляное" электричество). По унитарной теории Франклина - Эпинуса "любое тело, предоставленное самому себе, самопроизвольно всегда возвращается в такое состояние, когда оно содержит точно такое количество электрической жидкости, какое достаточно для достижения равновесия между силой притяжения или силой отталкивания".
Эпинус разбирает возможные случаи взаимодействия тел. При этом он высказывает предположение, что силы отталкивания электрических или магнитных масс уменьшаются с увеличением расстояния между ними. Хотя вид этой функциональной зависимости ему неизвестен, однако он признает, что "охотно утверждал бы, что эти величины изменяются обратно пропорционально квадратам расстояний". Эту зависимость ему подсказывает аналогия с законом тяготения. Эпинус указывает, что наблюдающиеся на опыте притяжения ненаэлектризованных тел к наэлектризованным объясняются тем, что "это тело благодаря одному лишь приближению к другому наэлектризованному телу само может стать наэлектризованным". Это явление электрической индукции было известно уже Рихману, его описали в 1754 г. англичанин Джон Кантон (1718—1772) и в 1757 г. немец Иоганн Карл Вильке (1732-1796).
Эпинус исследовал экспериментально электрическую индукцию в проводниках и изоляторах, при этом он установил, что в изоляторах она выражена слабее, чем в проводниках. Таким образом, Эпинус по сути дела открыл поляризацию диэлектриков.
В своем трактате Эпинус выдвинул положение об электростатическом равновесии тела, утверждая, что тело стремится самопроизвольно перейти в такое состояние, в котором количество электричества в нем будет "естественным". Он подробно анализирует силы, действующие на тело, постулируя, что равновесие электричества в нем достигается, когда сумма притягательных и отталкивательных сил равна нулю. Но он не сумел понять закона распределения электричества в проводниках и наблюдения Франклина. Естествоиспытатель и философ Пристли, правильно оценил важность эксперимента Франклина. Этот эксперимент получает объяснение, если предположить, что силы взаимодействия электрических частиц обратно пропорциональны квадрату расстояния. Пристли высказал это предположение в своей "Истории электричества" в 1767 г., а в 1771 г английский лорд Кавендиш впервые экспериментально показал, что силы взаимодействия электрических зарядов подчиняются закону:
где n=2±1/50
Опыт Кавендиша заключался в следующем. Шар диаметром 12, 1 дюйма, покрытый оловянной бумагой (станиолем), помещался внутри другого шара 13,3 дюйма в диаметре так, чтобы он был изолирован от наружного шара. Наружный шар состоял из двух полушарий, также покрытых станиолем, которые можно было раздвигать. Через небольшое отверстие в наружном шаре можно было устанавливать проводящий контакт между ним и внутренним шаром с помощью проволочки, привязанной к шелковине. В начале опыта, когда полушария сближены и установлен проводящий контакт, наружную сферу заряжают от лейденской банки. Затем с помощью шелковинки контактную проволоку удаляют, раздвигают наружные полушария и исследуют электризацию внутреннего шара.
Электроскоп не обнаружил заряда этого шара. Кавендиш исследовал чувствительность электроскопа и показал, что он мог бы обнаружить заряд внутреннего шара, равный 1/60 заряда внешней сферы. Отсюда Кавендиш вывел, что сила взаимодействия электрических частиц убывает с расстоянием по закону:
где n отличается от двух не более чем на1/50.
Генри Кавендиш (1731-1810) в 1766 г открыл водород и получил углекислый газ, он показал, что вода получается при горении водорода. Кавендиш с помощью крутильных весов определил постоянную закона тяготения и тем самым "взвесил" Землю. Одинокий, чудаковатый джентльмен, он неохотно публиковал свои работы, и в частности свои электрические исследования. Они оставались неизвестными до 1879 г., когда их опубликовал Максвелл, первый профессор лаборатории Кавендиша, открытой на средства потомка Генри Кавендиша в Кембридже в 1874 г.
Максвелл повторил опыты Кавендиша с электрометром Томсона и показал, что п может отличаться от 2 не более чем на 1/21600.
"Что касается скрытности Кавендиша, — писал в 1891 г. известный электрофизик Хевисайд, — то она совершенно непростительна; это грех" Этот "грех" стоил Кавендишу славы открывателя точного закона электрических взаимодействий, который навсегда вошел в науку под названием закона Кулона.
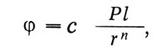
Французский военный инженер, а с 1781 г. член Парижской Академии наук Шарль Огюстен Кулон (1736-1806) в 1777 г. исследовал кручение волос, шелковых и металлических нитей. Результатом этих исследований явилось открытие закона кручения :
где φ —угол кручения, Р — закручивающая сила, l - длина нити, r - ее радиус.
В 1784 г. Кулон сконструировал чувствительный прибор — крутильные весы. С помощью этих весовой открыл законы электрических и магнитных взаимодействий.
Рис. 5. Крутильные весы Кулона
Его опыты и выводы из них опубликованы им в 1782-1785 гг. в семи мемуарах. Аппарат Кулона представлял собой стеклянный цилиндр с измерительной шкалой по окружности, в крышке цилиндра имелись центральное и боковое отверстия. В центральное отверстие пропускалась серебряная нить, закрепленная на измерительной головке и проходящая по оси высокого стеклянного цилиндра, заканчивающегося упомянутой головкой. Нить несла легкое стеклянное коромысло, на котором находились шарик и противовес. В боковое отверстие пропускался стерженек, несущий наэлектризованный шарик.
В первом мемуаре 1785 г. Кулон исследовал отталкивающую силу и нашел, что при угловых расстояниях между шариками (которые первоначально при контакте получают одинаковые заряды) 36°, 18°, 9° нить закручивалась соответственно на 36°, 144°, 576°, т. е. силы росли обратно пропорционально квадратам расстояний. Во втором мемуаре Кулон нашел закон взаимодействия магнитных полюсов.
Существенным моментом в работе Кулона было установление метода измерения количества электричества и количества магнетизма (магнитных масс). В научной системе единиц законы Кулона дают основную базу системы электрических и магнитных единиц. После Кулона стало возможным построение математической теории электрических и магнитных явлений.
Закон Кулона, один из основных законов электростатики, определяющий силу взаимодействия между двумя покоящимися точечными электрическими зарядами, т. е. между двумя электрически заряженными телами, размеры которых малы по сравнению с расстоянием между ними. Установлен Кулоном в 1785 опытным путём с помощью изобретённых им крутильных весов. Согласно закону Кулона, два точечных заряда взаимодействуют друг с другом в вакууме с силой F, величина которой пропорциональна произведению зарядов e1 и e2 и обратно пропорциональна квадрату расстояния r между ними:
Здесь k — коэффициент пропорциональности, зависящий от выбранной системы единиц; в абсолютной (гауссовой) системе единиц (СГС системе единиц) k = 1.















