133084 (593855), страница 8
Текст из файла (страница 8)
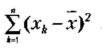
Дисперсия как статистическая величина характеризует, насколько частные значения отклоняются от средней величины в данной выборке. Чем больше дисперсия, тем больше отклонения или разброс данных.
Дисперсия вычисляется по следующей формуле
где S - выборочная дисперсия, или просто дисперсия
Выражение, означающее, что для всех xk от первого до последнего в данной выборке необходимо вычислить разности между частными и средними значениями, возвести эти разности в квадрат и просуммировать;
n — количество испытуемых в выборке или первичных значений, по которым вычисляется дисперсия.
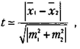
В качестве вторичного метода обработки результатов использовался t-критерий Стьюдента.
T-критерий Стьюдента используется для сравнения выборочных средних величин, принадлежащих к двум совокупностям данных, и для решения вопроса о том, отличаются ли средние значения статистически достоверно друг от друга. Его основная формула выглядит следующим образом
где х1 - среднее значение переменной по одной выборке данных, х2 - среднее значение переменной по другой выборке данных, т1 и т2 - интегрированные показатели отклонений частных значений из двух сравниваемых выборок от соответствующих им средних величин.
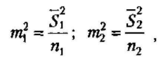
т1 и т2 в свою очередь вычисляются по следующим формулам
где S1 - выборочная дисперсия первой переменной (по первой выборке), S2- выборочная дисперсия второй переменной (по второй выборке), n1 - число частных значений переменной в первой выборке, п2 - число частных значений переменной по второй выборке.
После того как при помощи приведенной выше формулы вычислен показатель t, по таблице для заданного числа степеней свободы, равного п1 + п2 - 2, и избранной вероятности допустимой ошибки находят нужное табличное значение t и сравнивают с ними вычисленное значение t. Если вычисленное значение t больше или равно табличному, то делают вывод о том, что сравниваемые средние значения из двух выборок действительно статистически достоверно различаются с вероятностью допустимой ошибки, меньшей или равной избранной.
Вероятность допустимой ошибки, равная и меньшая чем 0,05, считается достаточной для научно убедительных выводов. Чем меньше эта вероятность, тем точнее и убедительнее делаемые выводы. Например, избрав вероятность допустимой ошибки, равную 0,05, мы обеспечиваем точность расчетов 95% и допускаем ошибку, не превышающую 5%, а выбор вероятности допустимой ошибки 0,001 гарантирует точность расчетов, превышающую 99,99%, или ошибку, меньшую, чем 0,01%.
Методика сравнения средних величин по критерию Стьюдента в практике применяется тогда, когда необходимо, например, установить, удался или не удался эксперимент, оказал или не оказал он влияние на уровень развития того психологического качества, для изменения которого предназначался.
Общую выборку составили 60 учащихся 6-х - 8-х классов. Исследование проводилось в групповой форме, на стандартизированных бланках, по инструкциям, в дневное время, в помещении классов.
Исследование проводилось в несколько этапов:
-
На первом этапе исследования методом экспертной оценки учащиеся 6-х - 8-х классов были условно разделены на три группы: группа «риска» (школьники, которые регулярно пропускают занятия, негативно относятся к школьному обучению и педагогическому коллективу), группа «благополучные» (школьники, положительно характеризующиеся педагогическим коллективом, имеющие хорошие и отличные оценки по школьным дисциплинам) и группа «нейтральные» (школьники, которых нельзя однозначно определить к какой-либо из выше названных групп).
Критериями отнесения учащихся к данным группам стали: успеваемость, посещение занятий, отношение к школьному обучению, отношение к педагогам (см. приложение А). Экспертами выступили классные руководители, учителя-предметники, завуч по воспитательной работе.
-
На втором этапе исследования нами изучалась динамика становления «Образа-Я» подростков методикой Куна «Кто я?»;
-
Изучение иерархии ценностных ориентаций по Методике «Ценностные ориентации» М. Рокича;
-
Изучение социометрической методикой;
-
Сравнительный количественный, качественный и статистический анализ полученных результатов.
2.2 Анализ результатов исследования
На втором этапе исследования мы проанализировали состояние и динамику развития «Образа-Я» учащихся параллелей 6-х, 7-х и 8-х классов. Результаты обследования учащихся 6-х - 8-х классов методикой Куна «Кто я?» представлены в таблице 2.1 и рисунке 2.1.
Таблица 2.1 - Результаты обследования учащихся 6-х - 8-х классов методикой Куна «Кто я?»
| шкалы | 6 класс | 7 класс | 8 класс | |
| результат (%) | ||||
| "социальное я" | 100 | 100 | 100 | |
| "коммуникативное я" | 20 | 35 | 60 | |
| "материальное я" | 0 | 0 | 5 | |
| "физическое я" | 20 | 30 | 50 | |
| "деятельное я" | 15 | 25 | 55 | |
| "перспективное я" | 0 | 0 | 0 | |
| "рефлексивное я" | 15 | 40 | 75 | |
По результатам обследования (таблица 2.1 и рисунок 2.1) можно сделать выводы о степени сформированности «Образа-Я» и социальной идентичности в данных выборках.
Выборка 6-х классов характеризуется высоким показателем по шкале «социальное я» (100% испытуемых дали ответы, относящиеся к данной шкале), низкими показателями по шкалам: «коммуникативное я» (20%), «физическое я» (20%), «деятельное я» (15%) и «рефлексивное я» (15%). По шкалам «материальное я» и «перспективное я» ответы не даны. Полученные результаты говорят о низкой степени сформированности «Образа-Я» и социальной идентичности в данном возрасте.
В выборке 7-х классов результаты выглядят следующим образом: высокий показатель по шкале «социальное я» (100%), низкие показатели по шкалам «коммуникативное я» (35%), «физическое я» (30%), «деятельное я» (25%) и «рефлексивное я» (40%), по шкалам «материальное я» и «перспективное я» ответы не даны.
При сравнении результатов выборок 6-х и 7-х классов видно увеличение показателей практически по всем шкалам методики. Это говорит о более высоком уровне развития «Образа-Я» и социальной идентичности испытуемых 7-х классов по сравнению с выборкой 6-х, но уровень все еще низкий.
Результаты обследования 8-х классов следующие: высокий показатель по шкале «социальное я» (100%), средние показатели по шкалам «коммуникативное я» (60%), «физическое я» (50%), «деятельное я» (55%) и «рефлексивное я» (75%), низкий уровень по шкале «материальное я». Данные результаты говорят о качественно более высоком уровне развития самосознания и «Образа-Я» у учащихся 8-х классов.
Рисунок 2.1 Диаграмма общих показателей результатов обследования учащихся 6-х - 8-х классов методикой Куна «Кто я?»
После анализа результатов обследования методикой Куна «Кто я?» было принято решение об исключении выборки 6-х и 7-х классов из дальнейшего исследования из-за низкого уровня сформированности изучаемых свойств («Образа-Я» и социальной идентичности).
Результаты контент-анализа ответов по методике Куна «Кто я?» испытуемых 8-х классов (таблица 2.2) показал, что наибольшее количество ответов по шкале «социальное я» сводятся к обозначению своей учебной ролевой позиции (я - ученик (-ца), я - школьник (-ца) и т. д., - 90% испытуемых обозначили данную роль). 80% испытуемых обозначили свою семейную роль (я - сын (дочь), я - брат (сестра) и т. д.). Большая доля обозначения данных социально-ролевых позиций объясняется социальной ситуацией бытия подростка - он продолжает жить в семье, учиться в школе, по большей части идентичность в данном возрасте строится на двух основных ролях: школьник и член семьи.
Напротив ответа «ученик» («школьник») 60% испытуемых группы «риска» поставили знак «-», что означает «в целом мне лично данная характеристика не нравится», тогда как в группе «благополучные» только 20% испытуемых отметили данным знаком тот же ответ. Это означает отношение к школе и школьному обучению данных учащихся и еще раз доказывает правильность выводов по разграничению выборки на данные группы.
Далее, по шкале «социальное я», 30% испытуемых обозначили свою половую принадлежность, 10% ответили, что они являются спортсменами и 5% отметили свою групповую принадлежность к художественному кружку.
По шкале «коммуникативное я» 60% испытуемых обозначили себя как «друг» («подруга»). Столь высокая доля таких ответов обусловлена тем, что в подростковом возрасте общение со сверстниками становится ведущей деятельностью человека и дружба начинает занимать одно из главных мест в жизни подростка.
По шкале «физическое я» 15% испытуемых указали свой возраст и 45% оценили свою внешность, причем большее число ответов о внешности дали девушки.
55% испытуемых дали ответы, относящиеся к шкале «деятельное я», в которых они давали оценку своим умениям, достижениям и т.д. Это говорит о довольно высоком развитии рефлексии у данных школьников.
По шкале «рефлексивное я» 75% испытуемых дали ответ «человек» и 25% - «личность». По этой шкале испытуемые чаще всего отражали качества своего характера и давали описания своего поведения.
Стоит сказать о том, что школа №,….
Таблица 2.2 - Результаты контент-анализа ответов по методике Куна «Кто я?» выборки 8-х классов
| шкалы | ответы | группы | ||||
| Общее Кол-во | группа "риска" Кол-во | группа "благополучные" Кол-во | ||||
| + | - | + | - | |||
| "социальное я" | ученик (ученица) | 18 | 2 | 6 | 9 | 1 |
| член своей семьи | 16 | 9 | 0 | 7 | 0 | |
| половая принадлежность | 6 | 2 | 0 | 4 | 0 | |
| гражданин | 3 | 1 | 0 | 1 | 1 | |
| спортсмен | 2 | 1 | 0 | 1 | 0 | |
| участник художественного кружка | 1 | 0 | 0 | 1 | 0 | |
| "коммуникативное я" | друг (подруга) | 12 | 4 | 0 | 8 | 0 |
| "материальное я" | люблю путешествовать | 1 | 0 | 0 | 1 | 0 |
| "физическое я" | возрастные характеристики | 3 | 0 | 0 | 3 | 0 |
| оценка своего внешнего вида | 9 | 3 | 0 | 5 | 1 | |
| "деятельное я" | Самооценка навыков, умений, знаний, компетенции | 11 | 4 | 0 | 5 | 2 |
| "рефлексивное я" | личностные качества, особенности характера | 5 | 1 | 0 | 4 | 0 |
| человек | 15 | 6 | 0 | 9 | 0 | |
Анализ результатов обследования социометрической методикой (приложение Б, таблица 2.3, рисунок 2.3) показал, что в общей группе 3 испытуемых имеют высокий (>= 20) итоговый показатель (разность % выбора и % отвержения), 5 человек имеют средний (>=10 но <20), 5 человек имеют низкий (<10) и 7 человек отрицательный (< 0) итоговый показатель.
20>














