129614 (593396), страница 9
Текст из файла (страница 9)
Самооценка, как составляющая «Я – образа» способна оказывать огромное влияние на весь жизненный путь того или иного человека. Люди с низкой самооценкой склонны к пассивности, внушению и менее популярны. Эти люди чрезмерно чувствительны к критике, считая её подтверждением своей неполноценности. Они с трудом воспринимают комплименты. Чаще всего низкая самооценка становится причиной постоянного одиночества. Эмоциональная изоляция – тяжёлое испытание для каждого человека, но в сочетании с предубеждённостью и неуверенностью в себе она превращается в бедствие [40]. Т.к. лица с низкой самооценкой испытывают социальную неуверенность, они менее склонны к установлению новых взаимоотношений или углублению существующих. И поэтому очень важно, чтобы родители могли предвидеть проблемы ребёнка, знали о нормах и правилах воспитания, принимали активное участие в формировании положительного образа Я ребёнка. Ведь то, что мы думаем о себе, оказывает глубокое влияние на всю нашу жизнь. И то, чего мы сможем добиться в жизни, можно сказать, напрямую зависит от отношения к себе, от нашей самооценки [4].
Экспериментальной базой для реализации коллективного творческого дела было выбрано МОУ «Средняя общеобразовательная школа №1 села Смоленского Смоленского района Алтайского края». В работе принимали участие дети пятых классов в количестве 40 человек.
Были созданы 2 экспериментальные группы:
-
в качестве экспериментальной группы «А» были выбраны учащиеся 5-го «А» класса;
-
в качестве экспериментальной группы «Б» были выбраны учащиеся 5 «Б» класса.
Для реализации целей исследования были выбраны несколько методик:
-
методика диагностики межличностных отношений и межгрупповых отношений «Социометрия» Дж. Морено;
-
методика исследования самооценки Дембо-Рубинштейн в модификации А. М. Прихожан.
После проведения первичной диагностики мы выяснили, что по результатам исследования, в группе «Б» более нестабильная ситуация, чем в группе «А» как по уровню благополучия взаимоотношений, так и по уровню самооценки.
В экспериментальной группе «А» эмоциональный климат группы для каждого воспитанника более благоприятный, теплый, чем в экспериментальной группе «Б».
После реализации коллективного творческого дела социометрический статус и самооценка некоторых детей изменились в сторону улучшения. в обеих экспериментальных группах произошла перестройка отношений и многие дети перестали быть «отверженными», коллективы стали относиться к ним более уважительно, взаимоотношения в группах улучшились, дети чувствуют себя комфортно, уверенно, удовлетворены общением, в группах положительный эмоциональный фон.
Для подтверждения достоверности различий между первичной и вторичной диагностикой самооценки было произведено сравнение средних по зависимым выборкам (t-критерий Стьюдента для зависимых выборок). В результате получился вывод, о том, что существуют достоверные различия между выборками при уровне значимости p<0,05.
Таким образом, гипотеза экспериментального исследования подтвердилась, по результатам исследования можно сделать вывод, что разработанное и реализованное коллективное творческое дело способствует повышению социометрического статуса в группе и самооценки младших подростков.
Следовательно, поставленная в начале исследования цель достигнута, основные задачи решены, наша гипотеза подтвердилась.
Заключение
Сущность личности проявляется при изучении положения, позиции человека во взаимоотношениях его с другими людьми, раскрывается в его жизненных целях и стоящих за ними мотивах, в способах поведения и средствах действия применительно к общим своим целям и задачам [32]. Понятие личности тесно связано с понятием позиции и соотносимыми с ним понятиями социальной роли и социального статуса [28].
Каждый человек участвует в комбинации различных отношений с другими людьми. В каждом кругу он играет несколько отличные межличностные роли. Для индивида эти круги представляют собой «значимых других», чьи суждения оказываются решающими для формирования его самооценки. Оценить себя значит рассмотреть себя внутри некой иерархической системы [48]. Люди весьма различны по их самооценке и многие из этих различий обнаруживаются в повседневной жизни. Уровень самооценки человека в большой степени зависит от реакции людей связанных с ним лично, и человек не может позволить себе их разочаровывать [27].
В распространенном в психологии смысле, творчество — это всякая практическая или теоретическая деятельность человека, в которой возникают новые (по крайней мере, для субъекта деятельности) результаты (знания, решения, способы действия, материальные продукты) [9].
Рассматривая коллективное творческое дело, как многоуровневую модель, видно, что большая часть воспитательных задач решается на уровнях подготовки и организации, поэтому при рассмотрении творческого дела следует особенное внимание уделять процессу подготовки и организации дела. Таким образом, при работе с детьми, главным педагогическим результатом является процесс подготовки и организации дела, а не его внешний результат [55].
Экспериментальной базой для реализации коллективного творческого дела было выбрано МОУ «Средняя общеобразовательная школа №1 села Смоленского Смоленского района Алтайского края». В работе принимали участие дети пятых классов в количестве 40 человек.
Были созданы 2 экспериментальные группы:
-
в качестве экспериментальной группы «А» были выбраны учащиеся 5-го «А» класса;
-
в качестве экспериментальной группы «Б» были выбраны учащиеся 5 «Б» класса.
Для реализации целей исследования были выбраны несколько методик:
-
методика диагностики межличностных отношений и межгрупповых отношений «Социометрия» Дж. Морено;
-
методика исследования самооценки Дембо-Рубинштейн в модификации А. М. Прихожан.
После проведения первичной диагностики выяснилось, что по результатам исследования, в группе «Б» более нестабильная ситуация, чем в группе «А» как по уровню благополучия взаимоотношений, так и по уровню самооценки.
В экспериментальной группе «А» эмоциональный климат группы для каждого воспитанника более благоприятный, теплый, чем в экспериментальной группе «Б».
После реализации коллективного творческого дела социометрический статус и самооценка некоторых детей изменились в сторону улучшения. в обеих экспериментальных группах произошла перестройка отношений и многие дети перестали быть «отверженными», коллективы стали относиться к ним более уважительно, взаимоотношения в группах улучшились, дети чувствуют себя комфортно, уверенно, удовлетворены общением, в группах положительный эмоциональный фон.
Для подтверждения достоверности различий между первичной и вторичной диагностикой самооценки было произведено сравнение средних по зависимым выборкам (t-критерий Стьюдента для зависимых выборок). В результате получился вывод, о том, что существуют достоверные различия между выборками при уровне значимости p<0,05.
Таким образом наша гипотеза подтвердилась, по результатам исследования можно сделать вывод, что разработанное и реализованное коллективное творческое дело способствует повышению социометрического статуса в группе и самооценки младших подростков.
Следовательно, поставленная в начале исследования цель достигнута, основные задачи решены, наша гипотеза подтвердилась.
Самооценка, как составляющая «Я – образа» способна оказывать огромное влияние на весь жизненный путь того или иного человека. Люди с низкой самооценкой склонны к пассивности, внушению и менее популярны. Эти люди чрезмерно чувствительны к критике, считая её подтверждением своей неполноценности. Они с трудом воспринимают комплименты. Чаще всего низкая самооценка становится причиной постоянного одиночества. Эмоциональная изоляция – тяжёлое испытание для каждого человека, но в сочетании с предубеждённостью и неуверенностью в себе она превращается в бедствие [40]. Т.к. лица с низкой самооценкой испытывают социальную неуверенность, они менее склонны к установлению новых взаимоотношений или углублению существующих. И поэтому очень важно, чтобы родители могли предвидеть проблемы ребёнка, знали о нормах и правилах воспитания, принимали активное участие в формировании положительного образа Я ребёнка. Ведь то, что мы думаем о себе, оказывает глубокое влияние на всю нашу жизнь. И то, чего мы сможем добиться в жизни, можно сказать, напрямую зависит от отношения к себе, от нашей самооценки [4].
Литература
-
Андреева, Г.М. Социальная психология и сциальные изменения [Текст] / Андреева Г.М. - //Психол. журн. - 2005. - № 5. - С.5-15.
-
Берко, Д. В. Особенности восприятия родителей и сверстников в подростковом возрасте [Текст] // Психолого - педагогические проблемы образования и воспитания Материалы научной конференции "Университетская наука - региону "- Ставрополь Издательствово СГУ, 1997
-
Берко, Д. В. Концепция самоактуализации А Г Маслоу Культурологические аспекты [Текст] // Человек в контексте культуры Сборник научных статей Выпуск 3 /Под ред. проф. В А Колотаева - Ставрополь СГУ, 2000 -188 с, С 176-179
-
Бернс, Р. Развитие Я-концепции и воспитание [Текст] // Психология подростка. Хрестоматия. Сост. Фролов Ю.И. -М., 1997, С.176-232.
-
Бодалев, А.А. Психология общения: избранные психологические труды [Текст] / А. А. Бодалев; ред. Д. И. Фельдштейн. - М.: Институт практической психологии; Воронеж: МОДЭК, 1996. - 256 с.
-
Божович, Л.И. Личность и ее формирование в детском возрасте [Текст] / Л. И. Божович. - СПб.; М.; Харьков: Питер, 2008. - 400 с.
-
Божович,Л.И. Проблемы формирования личности: избранные психологические труды [Текст] / Л. И. Божович ; ред., авт. вступ. ст. Д. И. Фельдштейн. - 3-е изд. - М. : Московский психолого-социальный институт, 2001. - 352 с.
-
Валлон, А. Психическое развитие ребенка [Текст]: А.Валлон. – СПб.: Питер, 2001. – 208 с. - ISBN 5-318-00141-6
-
Выготский, Л.С. Воображение и творчество в детском возрасте [Текст] / Л. С. Выготский. - СПб.: СОЮЗ, 1997. - 96 с.
-
Выготский, Л.С. Вопросы детской психологии [Текст] / Л. С. Выготский. - СПб.: Союз, 2004. - 224 с - ISBN 5-87852-043-5
-
Выготский, Л.С. Психология искусства: анализ эстетической реакции [Текст] / Л. С. Выготский . - 5-е издание, исправленное и дополненное - М.: Лабиринт, 1998. - 416 с.
-
Выготский, Л.С. Психология развития человека [Текст] / Л. С. Выготский. - М.: ЭКСМО, 2003. - 1136 с.: ил. - ISBN 5-699-02553-7
-
Герберт, О.И. Формирование положительной самооценки подростков "группы риска": методические рекомендации [Текст] / О. И. Герберт. - Бийск: БПГУ им. В.М. Шукшина, 2008. - 36 с.
-
Гульянова, Н.А. О связи самопринятия и осознания Я-образа в ситуации неуспеха [Текст] // Вестник Московского университетата. Серия 14. Психология. № 3, 2001, с. 68-75.
-
Давыдов, В. В. Возрастная и педагогическая психология [Текст]: учебник для студентов педагогических институтов/ В. В. Давыдов, Т. В Драгунова, Л. Б. Ительсон, А. В. Петровский - М.: Просвещение, 1979. - 288с.
-
Детская практическая психология [Текст]: учебник для вузов / ред. Т. Д. Марцинковская. - М.: Гардарики, 2001. - 255 с. - ISBN 5-7193-0080-5
-
Донцов, А.И. Психология коллектива. [Текст] - М.: Издательство Московского Университета, 1984. - 174с.
-
Драгунова, Т.В., Возрастные и индивидуальные особенности младших подростков. [Текст] / Драгунова, Т.В., Эльконин Д.Б. - М.: Просвещение, 1967. - 156с.
-
Зимбардо, Ф. Застенчивый ребенок: как преодолеть детскую застенчивость и предупредить ее развитие [Текст] / Ф. Зимбардо, Ш. Рэдл ; пер. с англ. Е. Долинская. - М.: АСТ: Астрель, 2005. - 295 с. - ISBN 5-17-029531-6
-
Изюрова, О. С. Коллективное творческое дело как форма развития толерантности подростков в детском доме [Текст] / О. С. Изюрова // Образование и наука. - 2008. - N 7. - С. 78-86.
-
Ильенков, Э.В.: Личность и творчество [Текст]/ ред., сост. И. П. Фарман. - М.: Языки русской культуры, 1999. - 272 с.: ил.
-
Истратова, О. Н.. Большая книга подросткового психолога [Текст]/ О. Н. Истратова, Т. В. Эксакусто. - Ростов н/д : Феникс, 2008. - 636 с. : ил. - (Психологический практикум). - 2000 экз. - ISBN 978-5-222-13093-3
-
Карпенко, Л.А., Краткий психологический словарь [Текст]/ Петровский А. В., Карпенко Л.А. - М.: Просвещение, 1981. - 195с.
-
Кон, И.С. Ребенок и общество. [Текст] Издательство Наука, - М., 1988.
-
Кон, И. С. Социологическая психология: избранные психологические труды [Текст] / И. С. Кон. - М.: Московский психолого-социальный институт, 1999. - 560 с.
-
Леонтьев, А. А. Деятельный ум: деятельность, Знак, Личность [Текст] / А. А. Леонтьев. - М.: Смысл, 2001. - 392 с. - ISBN 5-89357-106-1
-
Липкина, А.И. Самооценка школьника. [Текст] - М.: Знание, 1976. - 64с.
-
Майерс, Д. Социальная психология. Интенсивный курс [Текст] / Д. Майерс. - СПб.: Прайм - ЕВРОЗНАК, 2002. - 512 с. - ISBN 5-93878-011-X
-
Маслоу, А. Мотивация и личность [Текст] / А. Маслоу. - 3-е изд. - СПб.: Питер, 2007. - 352 с. - ISBN 978-5-91180-439-8
-
Матинова, Н.А Творчество как универсальный путь развития личности [Текст] / Н.А. Матинова // Классный руководитель 2004. - №2. – с.80-83.
-
Матюшкин А. М., Одаренные дети [Текст] / Д. А. Сиск, А. М. Матюшкин // Вопросы психол. 1988. № 4. С. 88—97.
-
Королева, А. П. Оказание психологической помощи младшим школьникам с низким социометрическим статусом [Текст] / А. П. Королева // Наука и школа. - 2006. - N 4. - С. . 31-33.
-
Овчинникова, Т.Н. Личность и мышление ребенка: диагностика и коррекция [Текст]: Т.Н. Овчинникова – М.: Академический Проект, 2000. -2-е изд. – 208 с. - ISBN 5-8291-0073-8
-
Олийник, Л. Как помочь школьникам повысить самооценку [Текст] / Л. Олийник // Воспитание школьников. - 2007. - N 1. - С. . 29-30
-
Орлов Ю. М. Восхождение к индивидуальности: Кн. для учителя. [Текст]— М.: Просвещение, 1991. — 287 с - ISBN 5-09-003075-8
-
Петровский, А. В.. Психология. Словарь. [Текст]: М. Политиздат, 1990 г.
-
Петровский, А.В. Личность. Деятельность. Коллектив. [Текст] - М.: Знание, 1982. - 179с.
-
Поливанова, К. Н. Психология возрастных кризисов: учебное пособие для вузов [Текст] / К. Н. Поливанова. - М.: Академия, 2000. - 184 с.
-
Практикум по экспериментальной и прикладной психологии [Текст] / ред. А. А. Крылов. - Л. : Издательство государственного университета, 1990. - 272 с.
-
Пригожин, И. Р. От существующего к возникающему. [Текст]: М., 1985.
-
Практическая психология образования [Текст]: учебное пособие для вузов / Под ред. И. В. Дубровиной. - 4-е издание, переработанное и дополненное - СПб.; М.; Харьков: Питер, 2007. - 592 с. - ISBN 978-5-94723-870-9
-
Психологические программы развития личности в подростковом и старшем школьном возрасте: [Текст] методическое пособие / ред. И. В. Дубровина. - 6-е изд. - М.: Академический проект, 2002. - 128 с. - ISBN 508291-0161-0
-
Психология эмоций. Тексты [Текст] / Под ред. В. К. Вилюнаса, Ю. Б. Гиппенрейтер — М.: Издательство Московского университета, 1984. —288 с.
-
Райс, Ф. Психология подросткового и юношеского возраста [Текст]: учебное пособие / пер. с англ. - 8-е международное издание. - СПб.: Питер, 2000. - 624 с. : ил.
-
Реан, А. А. Психология и педагогика. [Текст] / Н. В Бордовская, А. А. Реан, С. И. Розум — СПб.: Питер, 2002. — 432 с.: ил. — ISBN 5-272-00266-0
-
Рогов, Е.И. Настольная книга практического психолога [Текст]: Учебное пособие: В 2 кн. — 2-е издание, переработанное и дополненное — М.: Гуманитарный издательский центр ВЛАДОС, 1999. — Кн. 1: Система работы психолога с детьми разного возраста. — 384с: ил. - ISBN 5-691-00180-9.
-
Сейфи, С. Т. Коллективное творчество в формировании "школьного социума" и жизненных установок подростка [Текст]: из опыта нижегородской школы N 66 / Сейфи С. Т., Жукова Н. Н. // Мир психологии. - 2008. - N 1. - С. 202-211.
-
Сидоров, К. Р. Самооценка в психологии [Текст] / К. Р. Сидоров // Мир психологии. - 2006. - N 2. - С. . 224-232
-
Сластенин, В.А. и др. Педагогика [Текст]: Учебное пособие для студентов высших педагогических учебных заведений / В. А. Сластенин, И. Ф. Исаев, Е. Н. Шиянов; Под ред. В.А. Сластенина. - М.: Издательский центр "Академия", 2002. - 576 с. - ISBN 5-7695-0878-7
-
Социальная психология личности [Текст] /Под ред. М.И.Бобнева, Е.В. Шорохова - М.: Изд-во «Наука»,1979.
-
Узнадзе, Д.Н. Психология установки. [Текст] – СПб.: Питер, 2001, 416с. - ISBN 5-318-00163-7
-
Фаворский, В.А. Литературно-теоретическое наследие. [Текст]: М., 1988
-
Фельдштейн, Д.И. Психологические аспекты изучения современного подростка. [Текст] М.: «Вопросы психологии», 1985. - 32с.
-
Фельдштейн, Д.И. Психология современного подростка [Текст] М.: Педагогика, 1988. - 114с.
-
Филимонов, В. Опыт коллективного творчества [Текст] / В. Филимонов // Искусство в школе. - 2002. - N 2. - С. . 79-83
-
Чудновский, В.Э. О возрастном подходе к психологическим особенностям [Текст] // Вопросы психологии, №4, 1976, с. 51.
-
Шадриков, В.Д. Психология деятельности и способности человека [Текст]: Учебное пособие, 2-е издание, переработанное и дополненное М.; Издательская корпорация "Логос", 1996. 320 с: ил - ISBN 5-88439-015-7
-
Эльконин, Д.Б. К проблеме периодизации психического развития в детском возрасте [Текст] // Вопросы психологии № 4, 1971, с.6-21.
-
Яковлева, Е.Л. Психологические условия развития творческого потенциала у детей школьного возраста [Текст] // Вопросы психологии 1994. № 5. с. 37— 42.
-
Ядов, В. А. Стратегия социологического исследования: описание, объяснение, понимание социальной реальности [Текст]: учебник для вузов / Ядов В.А. - М.: Добросвет, 2000. - 596 с.
Приложение 1. Социометрические матрицы. Группа «А»
| 1 | 2 | 3 | 4 | 5 | 6 | 7 | 8 | 9 | 10 | 11 | 12 | 13 | 14 | 15 | 16 | 17 | 18 | 19 | |
| 1 | + | + | + | ||||||||||||||||
| 2 | + | + | + | ||||||||||||||||
| 3 | + | + | |||||||||||||||||
| 4 | + | + | + | ||||||||||||||||
| 5 | + | + | + | ||||||||||||||||
| 6 | + | * | |||||||||||||||||
| 7 | * | * | * | ||||||||||||||||
| 8 | + | + | + | ||||||||||||||||
| 9 | + | * | + | ||||||||||||||||
| 10 | * | ||||||||||||||||||
| 11 | + | * | |||||||||||||||||
| 12 | + | ||||||||||||||||||
| 13 | + | + | |||||||||||||||||
| 14 | * | * | |||||||||||||||||
| 15 | * | + | |||||||||||||||||
| 16 | + | + | + | ||||||||||||||||
| 17 | + | ||||||||||||||||||
| 18 | + | + | * | ||||||||||||||||
| 19 | * | + | |||||||||||||||||
| Сумма | 4 | 2 | 3 | 3 | 2 | 0 | 1 | 4 | 1 | 0 | 3 | 2 | 3 | 5 | 3 | 4 | 3 | 3 | 0 |
| Взаимные выборы | 0 | 1 | 0 | 0 | 1 | 0 | 0 | 2 | 0 | 0 | 0 | 1 | 0 | 2 | 2 | 0 | 0 | 1 | 0 |
Группа «Б»
| 1 | 2 | 3 | 4 | 5 | 6 | 7 | 8 | 9 | 10 | 11 | 12 | 13 | 14 | 15 | 16 | 17 | 18 | 19 | 20 | 21 | |
| 1 | + | + | + | ||||||||||||||||||
| 2 | + | + | + | + | |||||||||||||||||
| 3 | + | + | + | + | |||||||||||||||||
| 4 | + | + | |||||||||||||||||||
| 5 | + | + | |||||||||||||||||||
| 6 | + | * | * | ||||||||||||||||||
| 7 | * | * | * | ||||||||||||||||||
| 8 | + | + | + | ||||||||||||||||||
| 9 | + | * | |||||||||||||||||||
| 10 | * | + | * | ||||||||||||||||||
| 11 | + | + | |||||||||||||||||||
| 12 | * | + | |||||||||||||||||||
| 13 | + | + | |||||||||||||||||||
| 14 | + | * | + | ||||||||||||||||||
| 15 | * | + | |||||||||||||||||||
| 16 | + | + | + | * | |||||||||||||||||
| 17 | + | + | |||||||||||||||||||
| 18 | * | * | + | * | |||||||||||||||||
| 19 | * | + | |||||||||||||||||||
| 20 | + | * | |||||||||||||||||||
| 21 | + | + | |||||||||||||||||||
| Сумма | 4 | 2 | 5 | 3 | 4 | 0 | 1 | 4 | 2 | 0 | 3 | 2 | 3 | 3 | 3 | 4 | 3 | 3 | 0 | 2 | 5 |
| Взаимные выборы | 1 | 2 | 1 | 0 | 1 | 0 | 0 | 2 | 0 | 0 | 1 | 1 | 0 | 2 | 2 | 0 | 0 | 1 | 0 | 1 | 2 |
Матрица состоит: по вертикали – из списка фамилий учащихся, расположенных в алфавитном порядке и сгруппированных по половому признаку; по горизонтали – из номера, под которыми испытуемые обозначены в списке.
Напротив фамилии каждого испытуемого заносятся данные о сделанных им выборах. Например, испытуемый под номером 3 сделал выбор в пользу испытуемого под номером 1, то на пересечении третьей строки и первого столбца ставится крестик (+). Если испытуемые сделали взаимные выборы, то ставится звездочка (*). Внизу матрицы подсчитывается количество выборов, полученных каждым испытуемым (по вертикали сверху вниз), в том числе и взаимных выборов.
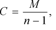
Далее можно вычислить социометрический статус каждого учащегося, который определяется по формуле:
где С – социометрический статус учащегося; М – общее число полученных испытуемым положительных выборов (если учитывать отрицательные выборы, то их сумма вычитается от суммы положительных); n – число испытуемых.
Например, социометрический статус Иванова С. будет равен частному от деления:
7:9 = 0,78.
В зависимости от количества полученных социометрических положительных выборов можно классифицировать испытуемых на четыре статусные группы (см. табл. 1).
Таблица 1. Классификация социометрических групп.
| Статусная группа | Количество полученных выборов |
| «Лидеры» | В два раза больше, чем среднее число полученных выборов одним испытуемым |
| «Предпочитаемые» | В полтора раза больше, чем среднее число полученных выборов одним испытуемым |
| «Пренебрегаемые» | В полтора раза меньше, чем среднее число полученных выборов одним испытуемым |
| «Отверженные» | Равно нулю или в два раза меньше, чем число полученных выборов одним испытуемым |
Приложение 2. Обработка и интерпретация результатов исследования самооценки
Обработка проводится по шести шкалам (первая, тренировочная — «здоровье» — не учитывается). Каждый ответ выражается в баллах. Как уже отмечалось ранее, длина каждой шкалы 100мм, в соответствии с этим ответы школьников получают количественную характеристику (например, 54мм = 54 баллам).
-
По каждой из шести шкал определить:
-
уровень притязаний — расстояние в мм от нижней точки шкалы («0») до знака «х»;
-
высоту самооценки — от «о» до знака «—»;
-
значение расхождения между уровнем притязаний и самооценкой — расстояние от знака «х» до знака «-», если уровень притязаний ниже самооценки, он выражается отрицательным числом.
-
Рассчитать среднюю величину каждого показателя уровня притязаний и самооценки по всем шести шкалам.
Уровень притязаний
Норму, реалистический уровень притязаний, характеризует результат от 60 до 89 баллов. Оптимальный — сравнительно высокий уровень — от 75 до 89 баллов, подтверждающий оптимальное представление о своих возможностях, что является важным фактором личностного развития. Результат от 90 до 100 баллов обычно удостоверяет нереалистическое, некритическое отношение детей к собственным возможностям. Результат менее 60 баллов свидетельствует о заниженном уровне притязаний, он — индикатор неблагоприятного развития личности.
Высота самооценки
Количество баллов от 45 до 74 («средняя» и «высокая» самооценка) удостоверяют реалистическую (адекватную) самооценку.
Количество баллов от 75 до 100 и выше свидетельствует о завышенной самооценке и указывает на определенные отклонения в формировании личности. Завышенная самооценка может подтверждать личностную незрелость, неумение правильно оценить результаты своей деятельности, сравнивать себя с другими; такая самооценка может указывать на существенные искажения в формировании личности — «закрытости для опыта», нечувствительности к своим ошибкам, неудачам, замечаниям и оценкам окружающих. Количество баллов ниже 45 указывает на заниженную самооценку (недооценку себя) и свидетельствует о крайнем неблагополучии в развитии личности. Эти ученики составляют «группу риска», их, как правило, мало. За низкой самооценкой могут скрываться два совершенно разных психологических явления: подлинная неуверенность в себе и «защитная», когда декларирование (самому себе) собственного неумения, отсутствия способности и тому подобного позволяет не прилагать никаких усилий.
В табл. даны количественные характеристики уровня притязаний и самооценки, полученные для учащихся 7-10 классов городских школ (около 900 чел.).
Таблица 1. Количественные характеристики уровня притязаний и самооценки.
| Параметр | Количественная характеристика (балл) | |||
| низкий | средний | высокий | Очень высокий | |
| Уровень притязаний | Менее 60 | 60-74 | 75-89 | 90-100 |
| Уровень самооценки | Менее 45 | 45-59 | 60-74 | 75-100 |
Таблица 2. Уровень самооценки детей экспериментальной группы «Б». Первичная диагностика.
| № п/п | Уровень самооценки | |||
| Низкий (менее 45) | Средний (45-59) | Высокий (60-74) | Очень высокий (75-100) | |
| 1 | 51,2 | |||
| 2 | 82,3 | |||
| 3 | 80 | |||
| 4 | 21,3 | |||
| 5 | 76,2 | |||
| 6 | 67 | |||
| 7 | 78,3 | |||
| 8 | 50 | |||
| 9 | 58 | |||
| 10 | 65 | |||
| 11 | 36,7 | |||
| 12 | 23,3 | |||
| 13 | 54,3 | |||
| 14 | 58,1 | |||
| 15 | 46,9 | |||
| 16 | 36,2 | |||
| 17 | 65,8 | |||
| 18 | 67,1 | |||
| 19 | 58,8 | |||
Таблица 3. Уровень самооценки детей экспериментальной группы «Б». Первичная диагностика
| № п/п | Уровень самооценки | |||
| Низкий (менее 45) | Средний (45-59) | Высокий (60-74) | Очень высокий (75-100) | |
| 1 | 34,7 | |||
| 2 | 47,5 | |||
| 3 | 74,7 | |||
| 4 | 79,1 | |||
| 5 | 69,1 | |||
| 6 | 26,3 | |||
| 7 | 25 | |||
| 8 | 52,8 | |||
| 9 | 61,8 | |||
| 10 | 46 | |||
| 11 | 30,1 | |||
| 12 | 44,3 | |||
| 13 | 48,7 | |||
| 14 | 74,7 | |||
| 15 | 66 | |||
| 16 | 74,3 | |||
| 17 | 65 | |||
| 18 | 62,9 | |||
| 19 | 90,6 | |||
| 20 | 14,7 | |||
| 21 | 44,3 | |||
| № п/п | Уровень самооценки | |||
| Низкий (менее 45) | Средний (45-59) | Высокий (60-74) | Очень высокий (75-100) | |
| 1 | 51,2 | |||
| 2 | 82,3 | |||
| 3 | 80 | |||
| 4 | 47 | |||
| 5 | 76,2 | |||
| 6 | 67 | |||
| 7 | 78,3 | |||
| 8 | 50 | |||
| 9 | 58 | |||
| 10 | 65 | |||
| 11 | 36,7 | |||
| 12 | 48 | |||
| 13 | 54,3 | |||
| 14 | 58,1 | |||
| 15 | 46,9 | |||
| 16 | 36,2 | |||
| 17 | 65,8 | |||
| 18 | 67,1 | |||
| 19 | 58,8 | |||
Таблица 4. Уровень самооценки детей экспериментальной группы «А». Вторичная диагностика.
Приложение 3. Социометрическая карточка
Фамилия____________________
1. Кого бы ты попросил/а помочь тебе подготовиться к важному экзамену?
1-й выбор_________________________________________________
2-й выбор_________________________________________________
3-й выбор_________________________________________________
2. Кого из класса ты бы пригласил/а с собой на интересную вечеринку?"
1-й выбор________________________________________________
2-й выбор________________________________________________
3-й выбор________________________________________________
Приложение 4. Вопросы для интервью с преподавателями
-
Давно ли вы работаете в этой школе?
-
Что вы знаете об истории этой школы?
-
Знаете ли вы педагогов, вышедших на пенсию из этой школы?
-
Что вы можете сказать про каждого из них?
Приложение 5. Сравнение средних показателей по зависимым выборкам с использованием t-критерия Стьюдента в экспериментальной группе «А»
Нулевая гипотеза утверждает отсутствие различий средних значений в двух выборках испытуемых. Альтернативная гипотеза гласит о существовании различий между средними показателями.
Таблица 1. Результаты диагностики уровня самооценки в экспериментальной группе «А»
| № исп. | Результаты первичной диагностики | Результаты вторичной диагностики | Разность d | |
| 1 | 51 | 52 | -1 | 9 |
| 2 | 82 | 84 | -2 | 4 |
| 3 | 80 | 80 | 0 | 0 |
| 4 | 21 | 47 | -26 | 484 |
| 5 | 76 | 80 | -4 | 0 |
| 6 | 67 | 70 | -3 | 1 |
| 7 | 78 | 79 | -1 | 9 |
| 8 | 50 | 51 | -1 | 9 |
| 9 | 58 | 58 | 0 | 0 |
| 10 | 65 | 65 | 0 | 0 |
| 11 | 36 | 37 | -1 | 9 |
| 12 | 23 | 48 | -25 | 441 |
| 13 | 54 | 55 | -1 | 9 |
| 14 | 58 | 58 | 0 | 0 |
| 15 | 46 | 47 | -1 | 9 |
| 16 | 36 | 37 | -1 | 9 |
| 17 | 65 | 66 | -1 | 9 |
| 18 | 67 | 69 | -2 | 4 |
| 19 | 58 | 60 | -2 | 4 |
| | |
, где
Вывод: эмпирическое значение превышает критическое (при уровне значимости p<0,05=2,101), что говорит о наличии достоверных различий между этими выборками. Следовательно, нулевая гипотеза об отсутствии различий отклоняется.
Приложение 6. Сравнение средних показателей по зависимым выборкам с использованием t-критерия Стьюдента в экспериментальной группе «Б»
Нулевая гипотеза утверждает отсутствие различий средних значений в двух выборках испытуемых. Альтернативная гипотеза гласит о существовании различий между средними показателями.
Таблица 1. Результаты диагностики уровня самооценки в экспериментальной группе «Б»
| № исп. | Результаты первичной диагностики | Результаты вторичной диагностики | Разность d | |
| 1 | 34 | 35 | -1 | 5 |
| 2 | 47 | 48 | -1 | 5 |
| 3 | 74 | 75 | -1 | 5 |
| 4 | 79 | 80 | -1 | 5 |
| 5 | 69 | 70 | -1 | 5 |
| 6 | 26 | 30 | -4 | 0 |
| 7 | 25 | 50 | -22 | 324 |
| 8 | 52 | 55 | -3 | 1 |
| 9 | 61 | 64 | -3 | 1 |
| 10 | 46 | 50 | -4 | 0 |
| 11 | 30 | 30 | 0 | 0 |
| 12 | 44 | 44 | 0 | 0 |
| 13 | 48 | 48 | 0 | 0 |
| 14 | 74 | 75 | -1 | 9 |
| 15 | 66 | 67 | -1 | 9 |
| 16 | 74 | 75 | -1 | 9 |
| 17 | 65 | 65 | 0 | 0 |
| 18 | 62 | 65 | -1 | 9 |
| 19 | 90 | 91 | -1 | 9 |
| 20 | 14 | 48 | -34 | 900 |
| 21 | 44 | 44 | 0 | 0 |
| | |
, где
Вывод: эмпирическое значение превышает критическое (при уровне значимости p<0,05=2,101), что говорит о наличии достоверных различий между этими выборками. Следовательно, нулевая гипотеза об отсутствии различий отклоняется.
0>0>0>0>














