123104 (592767), страница 2
Текст из файла (страница 2)
Успешному решению проблемы повышения устойчивости работы систем КРЛ служит разработка принципиально новых методов обнаружения сигналов контроля состояний рельсовых линий, основанных на фиксировании относительного изменения информационных параметров. Применение методов обнаружения разладки случайных процессов, в комплексе с адаптивной обработкой сигналов контроля, позволяют, проектировать рельсовые цепи, устойчиво функционирующие при колебаниях сопротивления изоляции от десятков Ом*км до сотых долей Ом*км.
В настоящее время свыше 22,0 тыс. км железных дорог России оборудовано различными системами релейной полуавтоматической блокировки. На этих участках отсутствует контроль состояния рельсовых линий перегонов , система АЛСН начинает сигнализировать о положении входного светофора только на подходе к станции , на расстоянии менее длины тормозного пути , что за последние годы явилось одной из причин повышения аварийности работы железнодорожного транспорта. Для устранения этих недостатков в приказе Министра путей сообщения № 19 Ц от 22.12.92 предусмотрено приоритетное выполнение научно-исследовательских и опытно-конструкторских работ, направленных на создание систем, обеспечивающих контроль состояний и кодирование участков приближения и перегонов. Применение новых принципов обработки контрольных сигналов, в частности, методов обнаружения разладки, алгоритма кумулятивных сумм существенно увеличивает длину рельсовой цепи, что дает возможность контролировать состояние межстанционных перегонов, а также обеспечить работу системы АЛС. Использование микропроцессорной элементной базы позволяет реализовать в реальном масштабе времени помехоустойчивые методы обработки сигналов, любые сложные алгоритмы функционирования систем интервального регулирования и одновременно расширить их функциональные возможности. Например, в системах автоблокировки появляется возможность контролировать сопротивление изоляции, прогнозировать состояние изолирующих стыков, получать информацию о техническом состоянии аппаратных средств и этим содействовать снижению эксплуатационных расходов. Внедрение микропроцессорной элементной базы в технику систем автоблокировки позволяет устранить такие недостатки релейной аппаратуры, как низкая надежность, высокая инерционность и стоимость, большие энерго и материалоемкость.
Отличительными чертами приемников сигналов КРЛ на базе микропроцессорной техники являются, высокий уровень унификации элементов, возможность перепрограммирования на реализацию тех или иных функций без изменения состава технических средств, возможность комплексирования и расширения функций добавлением новых алгоритмов и программ в систему математического обеспечения, сокращение расходов и упрощение этапов разработки и проектирования, автоматизация процессов диагностики и настройки аппаратуры при производстве, возможность реализации алгоритмов выявления отказов, снижающих уровень безопасности движения поездов.
2.2. Требования ПТЭ к автоблокировке.
Устройства автоматической блокировки не должны допускать открытия выходного или проходного светофора до освобождения подвижным составом ограждаемого ими блок-участка (межстанционного или межпостового перегона), а также самопроизвольного закрытия светофора в результате перехода с основного на резервное электроснабжение или наоборот.
На однопутных перегонах, оборудованных автоматической блокировкой, после открытия на станции выходного светофора должна быть исключена возможность открытия соседней станцией выходных и проходных светофоров для отправления поездов на этот же перегон в противоположном направлении.
При автоматической блокировке все светофоры должны автоматически принимать запрещающее показание при входе поезда на ограждаемые ими блок-участки, а также в случае нарушения целости рельсовых цепей этих участков.
На станциях, расположенных на участках, оборудованных путевой блокировкой, эти устройства должны иметь ключи-жезлы для хозяйственных поездов, а на станциях участков с полуавтоматической блокировкой, где применяется подталкивание поездов с возвращением подталкивающего локомотива, - ключи-жезлы и для них.
На однопутных линиях, оборудованных автоматической блокировкой, а также на двухпутных перегонах с двусторонней автоблокировкой по каждому пути, на станциях, где производится маневровая работа с выходом маневрирующего состава за границу станции, устройства автоматической блокировки при необходимости дополняются связанными с ними маневровыми светофорами.
На станциях, расположенных на линиях, оборудованных автоматической и полуавтоматической блокировкой, должны быть устройства:
-
не допускающие открытия входного светофора при маршруте, установленном на занятый путь;
-
обеспечивающие на аппарате управления контроль занятости путей и стрелок.
При полуавтоматической блокировке на станциях могут быть устройства, позволяющие:
-
выключение контроля свободности стрелочных изолированных участков в маршруте отправления из-за их неисправности;
-
повторное открытие закрывшегося выходного светофора, если поезд фактически его не проследовал.
Автоматическая блокировка должна дополняться автоматической локомотивной сигнализацией и устройствами диспетчерского контроля, а полуавтоматическая блокировка - автоматической локомотивной сигнализацией на определенных участках путей.
Устройства диспетчерского контроля за движением поездов на участках, оборудованных автоблокировкой, должны обеспечивать контроль установленного направления движения (на однопутных перегонах), занятости блок-участков, главных и приемоотправочных путей на промежуточных станциях, показаний входных и выходных светофоров.
2.3. Характеристика проектируемой системы.
Микропроцессорная система автоблокировки АБ-ЧКЕ предназначена для контроля целостности и свободности рельсового пути, передачи информации между сигнальными точками о состоянии рельсовых линий, управления огнями проходных светофоров по условиям безопасности движения, а также для передачи дежурному электромеханику или диспетчеру дистанции информации о техническом состоянии аппаратуры сигнальных точек.
Система АБ-ЧКЕ обеспечивает формирование и передачу на локомотив информации о показаниях проходных светофоров. Автоблокировка АБ-ЧКЕ функционально и электромагнитно совместима с эксплуатируемыми релейной системой числовой кодовой автоблокировки и АЛСН.
Аппаратура АБ-ЧКЕ размещается в релейных шкафах, либо на стативах станционных систем централизации.
Состав аппаратуры для одиночной сигнальной точки – микропроцессорный путевой приемник ППМ.
Аппаратура АБ-ЧКЕ размещается в релейных шкафах, либо на стативах станционных систем централизации.
Один ППМ заменяет следующую аппаратуру релейной системы: БК-ДА, БС-ДА, БИ-ДА, ИМВШ-110 (ИВГ), КПТШ-715 (КПТШ-515), ТШ-65В (БКТ).
Вход приемника включен в рельсовую цепь через дроссель-трансформатор ДТ-0,2 (ДТ1 -150) и устройство согласования и защиты УЗС. В качестве УЗС используется защитный блок-фильтр ЗБФ-1 (ФП-25). Дня защиты МПП-ЧКЕ от грозовых перенапряжений на его входе включается электронный блок защиты БЗЭ-1 (в схеме не показан).
2.4. Конструктивные требования к аппаратуре.
-
Аппаратура контроля состояния рельсовых линий, приема и передачи сигналов рельсовых цепей конструктивно выполняется в виде отдельного блока (МПП).
-
Аппаратура управления огнями светофора и контроля целостности нитей его ламп выполнена без применения электромагнитных реле.
-
Аппаратура сопряжения системы АБ-ЧКЕ с системой дистанционного контроля, передачи информации на станции, ограничивающие перегон, конструктивно выполняется без применения электромагнитных реле.
Показатели назначения
Длина рельсовой цепи, при которой устойчиво обеспечиваются контрольный и шунтовой режимы , должна быть не менее 2,6 км при нормативном значении шунта 0,06 Ом.
Рельсовая цепь системы АБ-ЧКЕ должна функционировать без дополнительной регулировки при изменении сопротивления изоляции в пределах от 0,6 Ом-км до 30 Ом-км.
Номинальная мощность передатчика системы КРЛ не должна превышать 300 ВА.
Система должна обеспечивать контроль состояний рельсовой линии длиной 2600 м при сопротивлении изоляции 1,0 Ом-км; 2000 м при сопротивлении от 0,6 Ом-км до 30 Ом-км; 1000 м при 0,1 Ом-км.
Система должна быть электромагнитно совместима с применяемыми в настоящее время системами управления движения поездов к станциям и искусственным сооружениям.
В системе предусмотрена защита от взаимных влияний рельсовых цепей одного и того же пути или различных путей.
Система АБ-ЧКЕ должна быть функционально и электромагнитно совместима с системой автоблокировки ЧКАБ, выполненной на базе электромагнитных реле.
Инерционность системы АБ-ЧКЕ при изменении сигнальных показаний не должна превышать 3 с.
Несущие частоты сигналов КРЛ должны быть 25 и 75 Гц на участках с электротягой переменного тока и 50 Гц - на участках постоянного тока, а на участках с автономной тягой - 25, 50 или 75 Гц.
Напряжение на выходах источника питания блока МПП "+5 В", "-ОП" при номинальном входном напряжении питания должны иметь следующие значения: (5,0±0,1)В; (-15,0+0,1) В. Амплитуда пульсации напряжения не должны превышать следующих значений: 150 мВ и 70 мВ.
Отклонения выходных напряжений источников питания от номинальных значений при изменениях температуры окружающей среды от -50 °С до +60 °С должно быть в пределах: для выхода "+5 В" - не более ±0,15 В, для выхода "ОП" - не более ±10 %.
Отклонения выходных напряжений источников питания от номинальных значений при колебаниях входного напряжения питающей сети в пределах +5 % и -10 % должны быть в следующих пределах: для выхода "+ 5В" - не более 3 %, для выхода "ОП" - 10 %.
Для включения электромагнитных реле блок МПП аппаратуры АБ-ЧКЕ должен формировать сигнал постоянного тока напряжением не менее 12 В на нагрузке 1230 Ом.
Суммарный ток, потребляемый микропроцессорным блоком АБ-ЧКЕ, при номинальном напряжении питания должен быть не более 2 А.
Степень защиты микропроцессорного блока от воздействия твердых тел диаметром более 1 мм и брызг воды должны соответствовать Ж 44 по ГОСТ 14255-80.
На участках железных дорог с односторонним движением интервальное регулирование при движении по неправильному пути системой АБ-ЧКЕ должно осуществляться по сигналам АЛС.
В системе АБ-ЧКЕ должна быть предусмотрена защита, исключающая появление разрешающего показания на путевом светофоре при кратковременной потере поездного шунта.
Аппаратура одной сигнальной точки системы АБ-ЧКЕ должна размещаться в релейном шкафу типа ШРУ-М.
Система АБ-ЧКЕ должна обеспечивать передачу на локомотив четырех сигнальных показаний.
2.5. Требования к надёжности системы АБ - ЧКЕ.
-
Система автоблокировки АБ-ЧКЕ должна быть ремонтируемой и эксплуатируемой до предельного состояния.
-
Аппаратура системы по определенности назначения должна относиться к изделиям конкретного назначения.
-
По числу возможных состояний аппаратура АБ-ЧКЕ должна относиться к изделиям вида II.
-
По режимам применения аппаратура АБ-ЧКЕ должна относиться к изделиям, насчитанным на непрерывное длительное применение.
-
По последствиям отказов или достижению предельного состояния при применении система должна относиться к изделиям, отказы или переход в предельное состояние которых не приводит к последствиям катастрофического характера.
-
Аппаратура системы должна быть восстанавливаемой.
-
Аппаратура системы АБ-ЧКЕ должна быть обслуживаемой и контролируемой перед применением.
-
Надежность аппаратуры АБ-ЧКЕ в условиях и режимах эксплуатации, установленных в п.п. 3.1-3.7, должна характеризоваться следующими значениями показателей:
- средняя наработка на отказ (Т0) аппаратуры сигнальной точки должна быть не менее 50000 ч;
- коэффициент готовности аппаратуры должен быть не менее 0,9999;
- полный средний срок службы системы должен быть не менее 15 лет.
9. Количественные значения показателей надежности, а также средний срок службы между средними ремонтами будут рассчитаны на последующих этапах разработки и уточнены по результатам эксплуатационных испытаний.
10. Отклонения выходных напряжений источника питания МПП от номинального значения при эпизодических провалах напряжения питающей сети длительностью 60 мс до уровня 0,5 Uном не должны превышать следующих значений: для выхода "5 В" - 3 %; для выхода "ОП" - 10 %.
11. Отклонение выходных напряжений источников питания от номинальных значений при воздействии несимметричных импульсных помех со средней длительностью 0,4 мкс и экспоненциальном законе распределения амплитудных значений (параметр закона распределения = 0,25-10-6) для выхода "5 В" не должен превышать - 3 %; для выхода "ОП"-±10%.
12. Требования по безопасности технических средств системы должны определяться в соответствии с требованиями с ОСТ 32.18-92. Безопасность технических средств микропроцессорной системы АБ-ЧКЕ в условиях и режимах эксплуатации, установленных в п.п. 1-11 настоящего ТЗ должна характеризоваться следующими качественными и количественными показателями:
- аппаратурным резервированием 2^2;
-жесткой синхронизацией резервированных вычислительных каналов;
- периодическим тестированием и сравнением работы вычислительных каналов (период диагностирования tд<300 мс);
- несимметричными отказами внешнего интерфейса;
- интенсивностью опасных отказов < 10-12 1/ч.
13. Опасными отказами технических средств системы АБ-ЧКЕ являются отказы, приводимые к смене показаний напольных светофоров на более разрешающие (вместо красного желтый или зеленый, вместо желтого - зеленый и т.п.).
14. Соответствие системы АБ-ЧКЕ требованиям безопасности, установленным в пункте 3.12, на этапе проектирования оценивают расчетным методом на основании данных об интенсивности отказов комплектующих изделий, о достоверности используемых мер контроля; на этапе предварительных испытаний - методом имитационного моделирования; на этапе серийного производства - контрольными испытаниями на стендах, физическим моделированием отказов.
15. Аппаратура системы АБ-ЧКЕ должна работать без сбоев при одновременном воздействии дестабилизирующих факторов перечисленных в п.п. 2.2.11, 2.2.12 и 2.10, 2.11.
2.6. Структурная схема микропроцессорного приемопередатчика.
Структурная схема микропроцессорного приёмопередатчика приведена на рис. 1. В схеме приняты следующие условные обозначения: АЦП1,АЦП2-аналого-цифровые преобразователи; МЦП1-1, МЦШ-2, МЦП2-1, МЦП2-2 - микропроцессорные контролеры; СК1, СК2-схемы контроля первого и второго каналов; СД - схема диагностики; СКИ-схема коммутации интерфейса; Ивв, Ивыв - интерфейсы ввода и вывода; БКТ1, БКТ2 - бесконтактные коммутаторы тока; Ком. вх.- коммутатор входной цепи; МИП-модуль источника питания.
Из рельсовой цепи на вход ППМ подаётся амплитудно-манипулированный сигнал. Через коммутатор Ком.вх. входной сигнал поступает на микросхемы аналого-цифрового преобразования АЦП1 и АЦП2 первого и второго каналов. Цифровые значения входного сигнала подаются на микропроцессорные контролеры. В контроллерах выполняются процедуры приёма, обработки и формирования сигналов в соответствии с технологическим алгоритмом функционирования. В результате дешифрирования кодовых комбинаций включаются сигнальные реле Ж, ЖЗ или 3.
Соответствие между принимаемыми кодовыми комбинациями и числом возбужденных сигнальных реле приведено в табл. 1. Соответствие между принимаемой кодовой комбинацией и состоянием сигнальных реле.
Таблица 1.
| Принимаемая кодовая комбинация | Состояние сигнальных реле |
| КЖ | Ж, ЖЗ, 3 |
| Ж | Ж, ЖЗ, 3 |
| 3 | Ж, ЖЗ, 3 |
| Отсутствие кодовых сигналов | Ж, ЖЗ, 3 |
Примечание: Черта над символами, обозначающими реле, означает его возбуждённое состояние, а черта снизу - обесточенное.
В кодере, в зависимости от принятой информации, происходит формирование кодовых комбинаций, передаваемых в смежную рельсовую линию. Кодовая последовательность через интерфейс выходных цепей управляет работой бесконтактного коммутатора БКТЦ при правильном направлении движения) или БКТ2 (при неправильном направлении движения). Амплитудно-манипулированные сигналы подаются в рельсовую цепь.
Контроль синхронной и синфазной работы комплектов, входящих в каналы ППМ, осуществляется схемами контроля. Для этого в каждом комплекте имеются контрольные точки, с которых через схемы сжатия информационные сигналы КТ подаются на схемы контроля СК1 и СК2. Нарушение синхронности и синфазности контрольных сигналов в первом канале фиксируется СК1, а во втором - СК2. При отказе одного из комплектов гаснет индикаторный светодиод "Диагн.1", либо "Диагн.2". Схема диагностики СД обнаруживает неисправный канал и через схему коммутации интерфейса СКИ подключает внешние цепи к входам и выходам исправного канала. В зависимости от этого загорается светодиод ведущего канала "Ведущ.1", либо "Ведущ.2".
На входы каналов через интерфейс ввода Ивв подаются сигналы контроля передаваемого кода. При движении по правильному направлению - по шине "Контр.код", а при неправильном направлении - по шине "Контр.код.н/н". С помощью контактов огневых реле КО, ЖО, ЗО проверяется целостность нитей накала ламп светофора. От контакта реле Н через интерфейс ввода Ивв в ППМ поступает информация о смене направления движения. С помощью настроечных перемычек выбирается значность сигнализации, устанавливается режим работы ППМ - как сигнальной точки (с.т.) автоблокировки, либо как транслятора (трансл.), а также производится настройка ППМ на прием сигналов от передатчика с КПТШ-515, либо с КПТШ-715.
Инициализация каналов ППМ и запуск схем контроля СК1 и СК2 при первом включении и после перерывов электроснабжения осуществляется схемой запуска СЗ. Управляющие импульсы СЗ инициализируют микропроцессорные контроллеры МЦП.
Бесконтактный коммутатор тока БКТ2 обеспечивает кодирование рельсовой цепи при движении поездов в неправильном направлении.
В выходном интерфейсе ППМ предусмотрены шины для передачи диагностической информации о состоянии аппаратных средств автоблокировки по каналу связи дистанционного контроля.
Индикаторный светодиод "Вход" сигнализирует о принимаемых кодовых посылках. Индикаторы "Контр. код" и "Контр. код н/н" работают в соответствии с сформированными кодовыми посылками при движении поездов в правильном и неправильном направлениях.
Электропитание узлов ППМ осуществляется от встроенного источника питания МИП. Для контроля наличия рабочих напряжений на шинах питания установлены индикаторные светодиоды.
2.7.Схема контроля для микропроцессорного приемопередатчика.
Схема контроля СК контролирует синхронность и синфазность работы комплектов, входящих в канал. Принципиальная схема Схемы контроля и перечень элементов приведены в Приложении 1. Входными являются сигналы свертки КТ1 и КТ2, поступающие с МЦП1 и МЦП2.
С помощью инвертора DD1 формируется сигнал КТ2
Сигнал КТ2 выпрямляется с помощью конденсаторов CI, C5 и диодов VD2, VD5. Значение сопротивления R4 задает предел изменения напряжения эмиттера транзистора VT4 от ОВ до -0,7В.
На выводы 3 и 4 выпрямительного моста VD1 поступают КТ1 и КТ2. Если они синхронны и находятся в противофазе, то с вывода 2 моста VD1 на катод фотодиода в оптроне ED1.1 подается положительный потенциал, а с вывода 1 на анод фотодиода в оптроне ED1.2 подается нулевой потенциал.
После подачи положительного импульса "Запуск!" на конденсатор С12, отрицательный потенциал с его обкладки подается на эмиттеры транзисторов VT1 и VT2. Далее на эмиттеры VT1 и VT2 отрицательный потенциал поступает при подаче контрольной частоты на выпрямительные диоды VD6 и VD7.
На конденсаторы СЗ и С4 с выхода таймера в противофазе подается контрольная частота 89 кГц. При поступлении положительного импульса на С4, на базе VT2 - нулевой потенциал, который выше потенциала эмиттера, и VT2 открыт. При поступлении паузы на С4, потенциал на одной его обкладке падает с +5 В до 0 В, на второй обкладке — с 0 В до -5 В, и потенциал базы VT2 становится ниже потенциала эмиттера. VT2 закрывается. Транзистор VT1 работает аналогично.
С коллекторов транзисторов VI1 и VT2 на катоды светодиодов в оптронах ED1.1 и ED1.2 в противофазе подается контрольная частота, импульсы которой имеют отрицательную полярность. Когда открыт VT2, через фотодиод оптрона ED1.1 на конденсатор С6 поступает положительный потенциал с вывода 2 моста VD1. VT1 и ED1.2 при этом закрыты.
Когда открыт VT1, через фотодиод оптрона ED1.2 на конденсатор С6 поступает нулевой потенциал с вывода 1 моста VD1. При этом VT2 и ED1.1 закрыты.
Когда с ED1.1 на С6 поступает положительный импульс, VT4 открыт и потенциал его эмиттера равен потенциалу коллектора, т.е. нулю. На резисторе R8 при этом падает 4,3 В и на открытом р-n переходе база-эмиттер транзистора VT4 падает 0,7 В.
Когда с ED1.2 на С6 поступает пауза, потенциал на одной его обкладке изменяется с +5 В до 0 В, на второй обкладке с 0 В до -5 В. VT4 при этом закрыт, т.к. потенциал его базы (-5В) оказывается ниже потенциала эмиттера. На R8 при этом падает 9,3 В.
Когда VT4 закрыт, на эмиттер транзистора VT5 поступает отрицательный потенциал, и VT5 открыт. Когда VT4 открыт, то потенциал базы транзистора VT5 равен потенциалу его эмиттера и VT5 закрыт.
Когда VT5 открыт, на базу транзисторов VT7 и VT8 поступает отрицательный потенциал. При этом VT8 закрыт, a VT7 - открыт. Положительным потенциалом, поступающим с эмиттера VT7 заряжается конденсатор С11. Во время заряда конденсатора С11 диод VD6 закрыт, VD7 - открыт.
Когда VT5 закрыт, на базу транзисторов VT7 и VT8 поступает отрицательный потенциал. При этом VT7 закрывается, VT8 - открывается. Когда открывается VT8, потенциал на одной обкладке конденсатора СП изменяется с +5 В до 0 В, на второй обкладке — с 0 В до -5 В. Отрицательный потенциал с СП через открытый диод VD6 поступает на эмиттеры транзисторов VT1, VT2, и заряжает конденсатор С12. Когда диод VD6 закроется, на эмиттеры транзисторов VT1 и VT2 отрицательный потенциал будет поступать с обкладки конденсатора С12.
Импульс запуска для второго каскада схемы контроля "Запуск2" подается на конденсатор С13, и отрицательный потенциал с обкладки С13 поступает на эмиттер транзистора VT3. Далее на эмиттер VT3 отрицательный потенциал поступает при подаче контрольной частоты на конденсатор С10 и диоды VD6 и VD7.
На второй каскад схемы контроля с коллекторов транзисторов VT7 и VT8 поступает контрольная частота. Когда на конденсатор С2 поступает положительный импульс, транзистор VT3 открыт и на выводе 8 оптоэлектронного ключа DD3 — отрицательный потенциал. При этом DD3 открыт, и на его выходе - ноль.
Когда на С2 поступает пауза, VT3 закрыт, и ключ DD3 закрывается. При этом на его выходе - единичный потенциал. Таким образом на выходе DD3 образуется контрольная частота. Через инвертор DD4.1 частота поступает на входы элементов DD4.2-DD4.5. Транзистор VT6 и микросхема DD4 представляют собой двухтактный инвертор. С инвертора контрольная частота поступает на конденсатор С10. Во время пауз отрицательный потенциал с С10 через открытый диод VD4 поступает на эмиттер транзистора VT3, и заряжает конденсатор С13. Когда диод VD4 закроется, на эмиттер транзистора VT3 отрицательный потенциал будет поступать с обкладки конденсатора С13.
Во втором каскаде схемы контроля должно соблюдаться число инверсий, при котором не будет отрицательной обратной связи между выходом двухтактного инвертора и оптоэлектронным ключом DD3. Т.е. когда открывается ключ DD3, на эмиттер VT3 должен поступать отрицательный потенциал. В противном случае во втором каскаде может возникнуть генерация. Для соблюдения требуемого числа инверсий используется DD4.1.
Выходом схемы контроля является вывод 10 инвертора DD4, с которого контрольная частота поступает на модули ППМ.
Если сигналы КТ1 и КТ2 расходятся, то между выводами 1 и 2 выпрямительного моста VD1 отсутствует разность потенциалов. В результате оптроны ED 1.1 и ED 1.2 закрываются. На выходах первого и второго каскадов схемы контроля пропадает контрольная частота.
Если пропадает сигнал КТ2, то на эмиттеры транзисторов VT4 и VT5 перестает поступать отрицательный потенциал и на выходе схемы контроля пропадает контрольная частота.
Схема контроля соответствует требованиям необратимости защитного состояния. После пропадания частоты на выходах первого и второго каскадов, на эмиттеры транзисторов VT1 и VT2 в первом каскаде и VT3 во втором каскаде перестает поступать отрицательный потенциал и даже если КТ1 и КТ2 вновь совпадут, оптрон ED1 и ключ DD3 не будут открываться. Работа схемы может восстановится только после поступления импульсов перезапуска на конденсаторы С12 и С13.
Схема контроля соответствует требованиям безопасности. Отказ любого из ее элементов не приводит к появлению контрольной частоты на выходе схемы контроля при расхождении или пропадании сигналов КТ1иКТ2.
2.8.Алгоритм обнаружения контрольного сигнала в системе АБ-ЧКЕ.
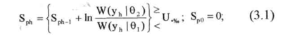
В приёмопередатчике системы АБ-ЧКЕ процедуры контроля состояния рельсовой линии, демодуляции, декодирования и формирования сигналов выполнены на программном уровне. Обнаружение полезного сигнала осуществляется методом поиска разладки случайного процесса. В алгоритме обнаружения учтены статистические характеристики дестабилизирующих факторов, позволяющие компенсировать их мешающее воздействие на функционирование рельсовой цепи.
В ППМ использована простейшая процедура обнаружения разладки - алгоритм кумулятивных сумм с отражающим экраном. Он представляет собой модифицированный последовательный анализ Вальда. Правило обнаружения разладки строится на сравнении на h-ом шаге решающей статистики Sph с фиксированным порогом UПВ. Статистика Sph рассчитывается по формуле:
где W(yh|Θ2), W(yh|Θ1) - условные плотности распределения вероятностей наличия сигнала с параметрами Θ2 и Θ1 в выборке {yh}; Θ1 - амплитуда сигнала на входе приёмника в шунтовом, а Θ2 – в нормальном режимах; {ξ} = max{0, Sph}.
С целью повышения устойчивости работы автоблокировки, в условиях изменения в широких пределах сопротивления балласта, приёмник ППМ дополнен адаптивным алгоритмом обработки сигналов, обеспечивающим автоматическую регулировку порога обнаружения и коэффициента возврата.
Обнаружитель сигналов ППМ имеет следующие рабочие характеристики. Вероятность обнаружения сигнала в шунтовом режиме при пороге обнаружения разладки - 20 и соотношении сигнал/помеха 3 не превышает 10-12. Вероятность правильного обнаружения в нормальном режиме не менее 0,99995.
Глава III. Технологическая часть.
3.1.Виды работ по техническому обслуживанию и ремонту.
Техническое обслуживание устройств автоблокировки ведут работники дистанций сигнализации и связи. Все работы выполняют в соответствии с требованиями Правил технической эксплуатации железных дорог Российской Федерации; Инструкции по сигнализации на железных дорогах Российской Федерации; Инструкции по обеспечению безопасности движения поездов при производстве работ по техническому обслуживанию и ремонту устройств СЦБ; Инструкции по техническому обслуживанию устройств сигнализации, централизации и блокировки (СЦБ).
Для всех устройств СЦБ устанавливают постоянную периодичность технического обслуживания через точные интервалы времени независимо от технического состояния устройств. Состав работы, периодичность выполнения и квалификация исполнителей определяются Инструкцией по техническому обслуживанию устройств сигнализации, централизации и блокировки (СЦБ). Порядок выполнения работ определяется Инструкцией по обеспечению безопасности движения поездов при производстве работ, техническому обслуживанию и ремонту устройств СЦБ. Время на выполнение отдельных работ по обслуживанию и ремонту устройств, количество и квалификация исполнителей устанавливаются отраслевыми нормами времени на техническое обслуживание устройств сигнализации, централизации и блокировки.
Светофоры. По плану-графику проверяют обеспечение требуемой видимости огней светофоров. Дальность видимости должна быть такой, чтобы машинист после восприятия сигнала имел необходимое время для своевременного выполнения приказа, который ему передается сигналом. На прямых участках пути все огни проходных светофоров должны быть отчетливо различимы из кабин управления днем и ночью не менее чем за 1000 м. На кривых участках пути видимость сигналов должна быть обеспечена на расстоянии не менее 400 м. В сильнопересеченной местности (горы, глубокие выемки) допускается видимость на расстоянии менее 400 м, но не менее 200 м. Необходимая дальность видимости обеспечивается правильной наружной наводкой светофоров, поддержанием заданного напряжения на лампах светофора, содержанием в чистоте оптической системы светофора и соблюдением порядка смены ламп.
Проверку видимости светофоров, как правило, совмещают со сменой светофорных ламп. Один раз в четыре недели видимость огней светофоров проверяет старший электромеханик визуально из кабины локомотива. Результат проверок оформляют актом (форма ШУ-60), который подписывают старший электромеханик и машинист локомотива. Смену светофорных ламп и измерение напряжения на лампах проводит электромеханик с электромонтером в сроки, указанные в технических указаниях по обслуживанию устройств сигнализации, централизации и блокировки (СЦБ). О смене ламп и результатах измерения напряжений делают запись в карточке учета формы ШУ-61 с указанием номера и даты установки ламп.
Рельсовые цепи. При внешнем осмотре убеждаются в правильности установки, целостности и надежности крепления всех элементов рельсовой цепи. Порядок производства основных работ по обслуживанию рельсовых цепей регламентируется картами технических указаний. В соответствии с этими картами проверяют исправность стыковых соединителей, наличие зазора между подошвой рельса и балластом (не менее 30 мм), загрязненность рельсовых скреплений, состояние заземлений устройств СЦБ, присоединяемых к рельсам или среднему выводу дросселей-трансформаторов, а также перемычек от кабельных стоек и путевых дросселей-трансформаторов. У изолирующих стыков проверяют торцевой зазор в стыке, наличие торцевой прокладки, отсутствие наката в торцевом зазоре, износ изолирующих прокладок. Торцевой зазор и толщина торцевой прокладки должна быть 5—10 мм. При неисправности изолирующих стыков их проверяют вольтметром с внутренним сопротивлением (39 +3,9) Ом.
При проверке рельсовой цепи на шунтовую чувствительность электромеханик по переносной радиосвязи или по другим видам связи связывается с дежурным по станции (ДСП) и просит разрешения на выполнение работы. По разрешению ДСП электромеханик накладывает нормативный шунт 0,06 Ом на питающем и релейном концах рельсовой цепи у изолирующих стыков, а также на каждом ответвлении разветвленных рельсовых цепей и через каждые 100 м по всей длине однони-точной рельсовой цепи. Правильное выполнение шунтового эффекта электромеханик проверяет по отпусканию якоря путевого реле или совместно с ДСП — по индикации занятости путевых участков на табло. Если шунтовой эффект не выполняется, то электромеханик делает запись в Журнале осмотра. После того как ДСП распишется в Журнале осмотра, электромеханик приступает к выяснению причины отсутствия шунтового эффекта. Напряжение на путевом реле регулируют изменением напряжения, подаваемого со вторичной обмотки путевого трансформатора. Сопротивление ограничивающего резистора изменяют только до предельных значений, указанных в ормалях рельсовых цепей. При повышении напряжения на путевом реле выше нормального, рельсовые цепи регулируют незамедлительно и обязательно проверяют ток АЛС. Если напряжение на путевом реле окажется ниже нормального, а на питающем трансформаторе соответствует максимальному, то тщательно проверяют исправность рельсовых цепей для выяснения причины снижения напряжения на путевом реле и устранения этой причины. Надежная работа реле, трансформаторов, блоков и других приборов обеспечивается осмотрами, проводимыми не реже двух раз в год.
Аппаратура автоблокировки. Все реле закрытого типа и другая аппаратура подлежит периодической проверке электрических и механических характеристик, которую проводят работники ремонтно-технических участков (РТУ) дистанции сигнализации и связи. Измеренные электрические и механические характеристики записывают в Журнал приемки аппаратуры. Все приборы СЦБ, имеющие приспособление для пломбирования, опломбировывают. Вскрытие приборов и опломбирование выполняют только работники РТУ или дорожной лаборатории службы сигнализации и связи. Приборы, не удовлетворяющие требованиям технических условий, вскрывают и ремонтируют. Реле, трансмиттеры и другие приборы на перегоне заменяют в промежутке между поездами без прекращения действия автоблокировки. Реле смены направления заменяют только с разрешения дежурного по станции. При замене приборов на перегоне требуется проверять работу сигнальной установки до прохода поезда.
Для повышения производительности труда, качества работ, надежности действия устройств автоблокировки замену приборов, как правило, выполняет специализированная бригада. В распоряжении этой бригады имеются необходимые транспортные средства, оборудование для перевозки приборов.
3.2.Смена ламп светофоров на перегоне.
При производстве работ по смене ламп на светофоре необходимо соблюдать технику безопасности. Порядок выполнения организационных и технических мероприятий, обеспечивающих безопасность работ, а также меры безопасности при выполнении работ приведены в технологической карте 8,10 « По безопасному производству работ при техническом обслуживании и ремонте устройств СЦБ, автоматизированных и механизированных сортировочных горок и связи».
Электромеханик перед началом работ делает запись в «Журнале осмотра»- формы ДУ-46 о смене ламп на светофорах и о необходимости оповещения ДСП по переносной радио связи о передвижении подвижного состава в зоне производства работы.
Смену светофорных ламп электромеханик (электромонтер) выполняет после проследования поезда за светофор или же в свободное от движения поездов время по согласованию с поездным диспетчером или дежурным по близлежащей станции, на аппарате (пульте) управления которой по устройствам диспетчерского контроля осуществляется контроль сигнальных установок. По окончании смены ламп на светофоре электромеханик (электромонтер) извещает об этом по имеющимся в наличии средствам связи поездного диспетчера (дежурного по станции) и проверяет действие и видимость огней светофоров.
Периодичность смены ламп: смена однонитевых и двухнитевых ламп огней проходных светофоров путей, оборудованных автоблокировкой, без переключения на резервную нить производится один раз в квартал. Смена двухнитевых ламп с контролем переключения на резервную нить производится при перегорании основной нити.
Для проведения работ по смене ламп необходим комбинированный прибор Ц4380 или ампервольтметр ЭК-2346, или мультиметр Э7-63. Необходимы светофорные лампы в соответствии с технической документацией. Для подъема на мачту необходим монтерский предохранительный пояс. Кроме этого необходимы: перемычка из провода марки МГГ-50 с зажимами, кисть – флейц, отвертка 0,8х5,5х 200 мм, торцовые ключи с изолирующими рукоятками, технический лоскут, керосин, растворитель №646, ключи от релейного шкафа и светофорной головки, блокнот, карандаш.
Электромеханик, в случае необходимости по принципиальным схемам включения светофоров определяет типы применяемых светофорных ламп, их мощность, а также требуемое их количество с учетом некоторого запаса. Проверенные в ремонтно-технологическом участке (РТУ) дистанции сигнализации лампы по типу мощности готовят для замены заранее.
При подготовке к работе по смене ламп на светофорах каждую лампу визуально осматривают на отсутствие механических дефектов. При этом обращают внимание на то, чтобы нить лампы имела блестящую поверхность, а колба не имела потускнение и налёта белого цвета, проверяют также правильность распайки нитей лампы. Затем в блокнот переписывают номера ламп с указанием литерных знаков светофора, на котором она будет установлена. Каждая лампа, устанавливаемая на светофор, должна иметь отметку РТУ дистанции сигнализации о проверке. В РТУ светофорные лампы испытывают по специальной технологии. Установка на светофорах ламп, не проверенных в РТУ, не допускается. Для выполнения работ электромонтер готовит необходимый инструмент, измерительный прибор и материал. Электромеханик (электромонтер) проверяет состояние монтерского предохранительного пояса, обратив внимание на дату очередной проверки.
Однонитевые и двухнитевые лампы светофоров станций, однонитевые лампы проходных светофоров участков железных дорог, оборудованных устройствами автоблокировки для одностороннего движения поездов, двухнитевые лампы проходных светофоров участков железных дорог, оборудованных устройствами автоблокировки для двустороннего движения поездов, на светофорах линзового типа должны меняться в такой последовательности: лампа красного огня заменяется новой, снятая лампа красного огня устанавливается вместо лампы желтого огня, снятая лампа желтого огня вместо лампы зеленого огня.
Двухнитевые лампы проходных светофоров участков железных дорог, оборудованных устройствами автоблокировки для одностороннего движения поездов, однонитевые лампы проходных светофоров участков железных дорог, оборудованных устройствами автоблокировки для двустороннего движения поездов, на светофорах линзового типа должны меняться в такой последовательности: лампа красного огня заменяется новой, снятая лампа красного огня устанавливается вместо лампы желтого огня, лампа зеленого огня заменяется новой.
Для замены ранее установленной на светофоре двухнитевой лампы необходимо:
1. колпачок с контактными пружинами нажать до упора от себя, повернуть его против часовой стрелки, до совпадения рисок на колпачке и треугольной контактной колодке;
2. снять колпачок и изъять лампу, а затем установить другую (снятую) так, чтобы направляющий выступ втулки ламподержателя входил в вырез фланца; проверить отсутствие прокручивания лампы во втулке, надеть колпачок, для чего совместить риски колпачка и контактной колодки, нажать колпачок до упора от себя, повернуть по часовой стрелке и вытянуть его до упора на себя.
Для линзовых светофоров применяют лампы с одной нитью накаливания ЖС12-15 и ЖС12-25 напряжением 12 В, мощностью 15 и 25 Вт и двухнитевые лампы ЖС12 - 15+15 и ЖС12 - 25+25 напряжением 12 В, мощностью 15 и
25 Вт. Резервная нить накала двухнитевых ламп имеет минимальную продолжительность горения 300 часов.
Лампы мощностью 25 Вт для линзовых светофоров должны устанавливаются на проходных светофорах, расположенных на кривых участках железнодорожного пути.
О смене ламп на светофоре делается запись в карточке учета формы
ШУ–61 с указанием номера и даты установки лампы. Учетные карточки для станционных светофоров хранятся у электромеханика на станции, а для перегонных светофоров, включая входные - в релейном шкафу.
Одновременно со сменой светофорных ламп производится измерение напряжения на лампах светофора, проверка и чистка внутренней части светофорной головки, проверка состояния светофорной головки снаружи, проверка с пути видимости сигнальных огней светофоров.
3.2.Измерение напряжения на лампах светофоров.
Напряжение на лампах светофора необходимо измерять при отсутствии поезда перед светофором. Нахождение светофорной головки в открытом состоянии при приближении поезда к светофору не допускается.
Работы по техническому обслуживанию светофоров, расположенных в опасной зоне (менее 2м. от контактной сети, под напряжением) должны выполняться не менее чем двумя работниками. Запрещается выполнять работы на светофорах расположенных на расстоянии менее 2м от частей контактной сети, а также во время грозы, дождя и плохой видимости (туман, снегопад). При работе на светофорной мачте необходимо применять монтерский предохранительный пояс. Запрещается работать на одной светофорной мачте двум работникам, находящимся на разных уровнях. Все работы на светофорных мачтах во время движения поездов по соседним путям следует прекратить, находиться при этом на светофорной мачте запрещается. Электромеханик (ШН) и электромонтер (ШЦМ) перед началом работ на мачте светофора должны проверить исправность заземления, а при наличии искрового промежутка временно замкнуть его съемной медной перемычкой сечением не менее 50мм. По окончании работ перемычку надо снять. Подниматься на опоры и специальные конструкции контактной сети, не несущие устройства сигнализации и связи, запрещается.
Для измерения напряжения на лампах светофора можно использовать комбинированный прибор Ц4380, ампервольтомметр ЭК-2346 или мультиметр В7-63. Напряжение на лампах светофоров измеряют вольтметром с соответствующей шкалой. Напряжение измеряют на зажимах ламподержателя горящей лампы. На установленном светофоре и после перемонтажа в существующих цепях сигнальных огней, а также смены сигнальных трансформаторов напряжение следует измерять на всех лампах. При применение двухнитевых ламп напряжение следует измерять на основной и резервной нитях. Переключение схемы светофора с основной нити лампы на резервную осуществляют в светофорной головке с применением изоляционной пластинки, проложив ее между контактной пружиной и выводом лампы. Результаты измерения сравнивают с нормативными, учитывая при этом напряжение сети. При центральном питании устройств СЦБ напряжение сети измеряют в релейном помещении поста.
При дневном режиме питания напряжение на зажимах ламподержателя линзовых светофоров должно быть 11,5В (+0,5 -1,0.)В. Напряжение 11,5В для ламп линзовых светофоров должно быть при номинальном напряжении сети питания 115, 230 или 380 В. Изменение напряжения светофоров на +0,5 или -1,0В допускается при колебаниях напряжения сети питания соответственно на +0,5%, -1,0%. О результатах измерений напряжения делают запись в карточке учета формы ШУ-61. Учетные карточки для станционных светофоров хранятся у электромеханика на станции, а для перегонных светофоров, включая входные,- в релейном шкафу.
300>














