115412 (591912), страница 6
Текст из файла (страница 6)
Цели: 1. Закрепить навыки сложения и вычитания двузначных чисел без перехода через десяток в пределах 100. 2. Развивать умение решать задачи изученных видов, навыки логического мышления. 3. Пробуждать интерес к предмету через дидактическую игру, логические задания.
Оборудование: рисунки с изображением Иван – Царевича, Змея Горыныча, Кощея; карточки с числами и буквами, орнамент из цифр для каллиграфической минутки, листки с примерами для групповой работы.
План:
-
Оргмомент.
-
Объявление темы урока.
-
Каллиграфическая минутка.
Какая цифра спряталась в орнаменте?
Пропишем её¸. 2 2 2 2.
-
Устный счёт.
В некотором царстве, в Тридевятом государстве жили-были Иван-Царевич и Василиса Прекрасная. Однажды Василиса исчезла. Иван-Царевич потужил, погоревал и отправился на поиски. Но куда идти, где искать? Кто похитил Василису? Мы узнаем выполнив первое задание.
1) Найдите “лишнее” число; расположите числа в порядке убывания. Теперь перевернём карточки. Что получилось? 35, 73, 33, 40, 13, 23.
| 73 | 35 | 33 | 23 | 13 | ||||
| К | О | Щ | Е | Й |
Иван-Царевич отправился в путь. Но его уже поджидает Змей Горыныч, посланный Кощеем. Кто сразится со Змеем? Нужно победить все три головы Змея.
2) Индивидуальное задание у доски(3 человека).
38+2 65+5 28+2
46-4 87-3 39-6
46+40 87+10 39+30
82+8 56+6 76+4
100-20 50+30 90-40
75-5 91-90 83-3
59-30 36-2 49-3
59-3 36-20 49-30
Поведет Ивана-Царевича волшебный клубочек, но до него нужно добраться по лабиринту чисел (по возрастанию).
3) “Лабиринт”.
4) Волшебный клубочек привёл Ивана-Царевича на распутье. На придорожном камне надпись: “Верная дорога та, где ответ не самый большой и не самый маленький”. По какой дороге идти Ивану?
-
а) А на дороге числа записаны рядами. Найдите закономерность, продолжите ряды чисел:
20, 17, 14, …, …, …, …
2, 4, 7, 11, …, …, …, …
б) Проверка индивидуального задания.
Ребята победили Змея Горыныча. Он охранял сундук, в котором находился меч для Ивана-Царевича. Но сундук крепко заперт тремя замками. А замки не простые - на каждом пример. Что скажете?
Замки откроются, если мы исправим ошибки, сделаем их невидимками. Стирать ничего нельзя, можно дописывать числа и знаки действия.
46=50 28+1=30 64>70
4+46=50 1+28+1=30 64>70-7 и др. числа до 70
46=50-4 28+1=30-1 любое число >6+64>70
Итак, меч в руках Ивана, путь в царство Кощея свободен!
-
Решение примеров на сложение и вычитание. Работа в парах.
Замок Кощея находится на огромной высокой скале. Поможем Ивану-Царевичу преодолеть скалу, решив примеры.
Работаем в парах, помогаем друг другу. Результаты пишем поочерёдно карандашами разного цвета.
-
Решение задачи.
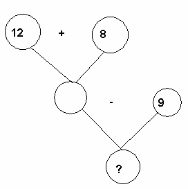
Ну вот и добрались до Кощея. Он встретил Ивана-Царевича такими словами: “Раз ты смог до меня добраться, выполни мои задания, и Василиса – твоя! Если не выполнишь голова с плеч! Вот первое задание.
В моём саду растёт волшебная яблоня с золотыми и серебряными яблоками. Золотых яблок было 12, серебряных 8. 9 яблок я сорвал. Сколько осталось яблок?”
а) Запись краткого условия, разбор задачи, составление графической схемы.
Было – 12 яблок и 8 яблок.
Сорвал – 9 яблок.
Осталось – ?.
б) Самостоятельное решение задачи
в) Проверка, вписывание чисел в схему.
7. Самостоятельная работа.
1) Решение примеров.
60 – 5 30 – 8 33 + 7 58 + 2 – 4
40 – 7 52 – 30 80 – 5 78 + 20 – 6
2) Фронтальная проверка.
55 22 40 56
33 22 75 92
В каком примере ответ – круглое число?
В каких ответах одинаковое количество десятков и единиц?
Какие ответы не назвали?
-
“Ну, Иван, забирай Василису, - сказал Кощей. – Только сначала догадайся, где она. У меня четыре башни. Первая башня пустая. Василиса не в самой высокой башне. Где она?”
9. Итоги урока.
Тема: Письменные приёмы вычитания двузначных чисел вида 50-32.
Цель: Закреплять приёмы письменного вычитания двузначных чисел вида 50-32; отрабатывать вычислительные навыки; повторение устной и письменной нумерации чисел в пределах 100; развивать умение решать задачи изученных видов; навыки логического мышления; воспитывать познавательную активность.
План:
-
Оргмомент.
2. Сообщение темы урока.
– Сегодня на уроке мы закрепляем приёмы письменного вычитания, когда надо от круглого числа отнять двузначное число, отрабатывать вычислительные навыки и решать задачи изученных видов.
В этом нам сегодня поможет электронно-вычислительная машина – компьютер.
3. Устный счёт.
- уменьшаемое 40, вычитаемое 5. Найти разность.(35)
- увеличить 36 на 15.(51)
- уменьшить 70 на 14.(56)
- найти сумму чисел 26 и 16.(42)
- первое слагаемое 40, второе 21. Сумма.(61)
Задача: Маша гостила у бабушки 4 недели и 5 дней. Сколько дней гостила Маша у бабушки?(33)
Получился ряд чисел: 35 51 56 42 61 33 (числа выставлены на мониторе).
Тестирование. 35 51 56 42 61 33
-
Отметьте число, в котором 5 ед. (35)
-
Отметьте число, которое стоит между числами. 35 и 56 (51)
-
Отметьте число, которое следует за числом 51 (56)
-
Отметьте число, в котором количество единиц на 2 меньше, чем десятков. (42)
-
Отметьте число, в котором 6 дес. (61)
-
Отметьте число, наименьшее в данном ряду. (33)
-
Отметьте число, наибольшее в данном ряду. (61)
-
Отметьте число, в котором 4 дес. 2 ед. (42)
-
Отметьте число, в котором 5 дес. 6 ед. (56)
-
Отметьте число, в котором количество дес. равно количеству ед. (33)
Уч-ся 1 “А” класса ___________________
| 35 | 51 | 56 | 42 | 61 | 33 | |
| 1 | ||||||
| 2 | ||||||
| 3 | ||||||
| 4 | ||||||
| 5 | ||||||
| 6 | ||||||
| 7 | ||||||
| 8 | ||||||
| 9 | ||||||
| 10 |
-
Работа по теме.
_80 (пример на мониторе)
56 - Ребята, проверьте решение примера.
34 - Что-то случилось с нашим компьютером, произошли сбои в системе.
- Объяснить алгоритм решения и исправить ошибку (на мониторе выставляется правильно решённый пример). Ученик решает пример у доски.
а) Решение примеров с комментированием.
_60 _80 _90
42 24 53
б) Самостоятельно по вариантам.
1 вариант
_60 _40 _60 _70 - Назовите пример в ответе которого
46 12 19 38 наименьшее число (14)
14 28 41 32 - Наибольшее число (41)
- Назовите пример, в ответе которого количество единиц на 6 больше, чем десятков. (28)
- В каком примере в ответе 3 дес. 2 ед.? (32)
2 вариант
_60 _80 _70 _90 - Назовите пример в ответе, которого
21 47 25 23 одинаковое количество десятков и единиц (33) 39 33 45 67 - Назовите пример с наибольшим числом в ответе. (67)
- Назовите пример, в ответе которого 4 дес. 5 ед. (45)
5. Физкультминутка (для глаз)
6. Составление и решение задач.
I эт. – 30 чел.<---------------------------
| ?
II эт. – ? на 12 чел. меньше, чем на |
а) Задача: На первом этаже живут 30 человек, а на втором на 12 человек меньше. Сколько человек живут на двух этажах?
1) 30 – 12 = 18 (ч)
2) 30 + 18 = 48 (ч)
Анализ задачи.
- Можем ли сразу ответить на вопрос задачи? (нет)
- Почему? (не знаем сколько на II этаже)
- Что сказано про II этаж? (на 12 ч. <)
- Можем узнать сколько на II этаже? (да)
- Каким действием? (вычитанием)
- Почему? (находим меньшее число)
- Теперь можем ответить на вопрос задачи? (да)
- Каким действием? (сложением) – Почему?
- Какой вид задачи? (составная задача на нахождение суммы)
- Так сколько человек живут на 2-х этажах? (48)
б) Самостоятельное решение задачи.
В одной корзине 37 лимонов, а в другой 33 лимона. Продали 24 лимона. Сколько лимонов осталось?
1) 37 + 33 = 70 (л)
2) 70 – 24 = 46 (л)
Проверка фронтально:
- Что узнали в 1-ом действии? Каким действием?
- Во втором? Каким действием?
в) Задача, которая будет на карточке.
В парке 90 деревьев. Из них 37 лип, 36 клёнов, а остальные – дубы.
Сколько дубов в парке?
-
37 + 36 = 73 (лип и клёнов)
-
90 – 73 = 17 (дубов)
- Проверка: один ученик рассказывает условие и решение задачи.
- Поднимите руку, кто так же решил задачу.
7. Геометрический материал.
На мониторе письмо:
Я долго смотрю на эти рисунки и не могу понять, сколько тут спряталось фигур. Помогите. - Поможем? Да.
1 вариант. – Так сколько же здесь спряталось фигур? (6)
- К доске выходит один ученик и показывает эти фигуры (у каждого ученика на столе такой рисунок).
2 вариант. – Сколько треугольников спряталось в данной фигуре?
12 треугольников.
- Один ученик показывает у доски.
8. Итог урока.
- Сначала вашу работу оценит компьютер. Для этого вам надо выполнить следующие вычисления:
_30 _40 _50 _60 _70 _80 _90
11 22 33 44 55 66 77
19 18 17 16 15 14 13
м о л о д ц ы
- Так оценил вашу работу компьютер.
- А сейчас вы сами оцените свою работу.
- На карточках, где проводился тест, с обратной стороны нарисуйте маску настроения (карандашом).
работал хорошо работал неплохо работал плохо
- Поднять карточки и показать.
9. Домашнее задание. Необычно.
- Вы сами его определите, решив следующие числовые выражения.
60 + 40 = 100 Задача. 60 – 40 – 9 = 11
49 – 9 = 40 Примеры. 42 – (20 + 10) = 12
25 – 20 = 5 1 вариант. (столбики) 2 вариант.
Страница 145 26 – 25 = 1 37 – 35 = 2
20 – 17 = 3 30 – 26 = 4
Урок-путешествие в страну занимательной арифметики
Тема: Путешествие с Буратино в страну занимательной арифметики.
Цель: Закрепить у детей умения выделять сходства и различия в предметах; закрепить математические понятия “сумма”, “разность”, а также понятия “большой”, “узкий” и т.д., закрепить знания о свойствах геометрических фигур, о составе числа; совершенствовать навыки устного счёта, закрепить умения составлять и решать простые задачи; развивать внимание, наблюдательность, смекалку.
Игровой материал: игрушка Буратино, конверт с письмами, картинки героев сказки, плакаты Буратино, квадрат с цифрами, мяч, аквариум с рыбками, плакаты с задачами, плакат и геометрические фигуры, плакат с ключом и замками, карточки с числами и буквами; грамзапись сказки “Приключения Буратино”.
Ход урока
Учитель. Добрый день, ребята! Сегодня, когда я шла к вам на урок, мне повстречался один весёлый человек, которого, я надеюсь, вы очень хорошо знаете. Он–то и передал для вас большой конверт, но попросил вручить его только после того, как вы отгадаете загадку о нём
Он из полена вдруг возник
Весёлый, юный озорник,
Ребята, не сочтя за труд,
Скажите, как его зовут?
(Дети отвечают хором: Буратино!)
Правильно, ребята! Молодцы! Действительно, этот весёлый человек и есть герой сказки “Золотой ключик” и зовут его Буратино. А вот и он сам! (учитель показывает игрушку Буратино). Ребята, а давайте вспомним, каких ещё героев этой сказки вы знаете? (ребята перечисляют оставшихся героев). Молодцы, ребята! Вы прекрасно знаете сказку “Золотой ключик”. А теперь самое время вскрыть конверт, который для вас прислал Буратино (на конверте: “ученикам 1 “А” класса СШ №121 от Буратино”). Письмо Буратино:
“Дорогие мои друзья-школьники
Я очень рад, что вы знаете сказку “Золотой ключик” так хорошо, из неё я пришёл к вам. Большое вам спасибо! Пишу это письмо и хочу обратиться к вам за помощью. Герои сказки прислали мне свои задания по математике, которые мне нужно решить. А так, как я не пошёл в школу и умею считать только до 5, то прошу вас помочь мне решить эти задачи! Заранее вам благодарен! Желаю успеха! Буратино”.
Учитель. Ну, что, ребята, отправимся с вами в страну занимательной арифметики и выручим Буратино! А для того, чтобы ему помочь, вы должны быть ловкими, активными, внимательными и смекалистыми, помогать друг другу хорошо считать. Итак,…
I задание. Пудель Артемон.
Милый пёсик Артемон
Встал на задних лапах…
Перед ним два мальчика
В шортиках и шапках.
Пудель смотрит, он притих, даже кость не гложет,
Но что разного у них – он понять не может!
Учитель. А сейчас, ребята, посмотрите на эти рисунки внимательно и помогите понять Артемону, что разного у этих мальчиков. (плакаты с изображением Буратино, у него ключ в разных руках).
II задание. Мальвина.
Раз, два, три, четыре, пять.
Научились вы считать.
Повнимательней сидите
И задачки вы решите.
Учитель. Ребята, Мальвина приготовила для вас занимательные задачки в стихотворениях. Слушайте их внимательно и считайте.
Вышла курочка гулять и взяла своих цыплят.
Семь бежало впереди, три осталось позади.
Беспокоится их мать и не может сосчитать.
Сосчитайте – ка, ребята, сколько было всех цыплят? (10)
Стоит коза, голосит коза: “ Ой, беда, беда, беда!
Разбежались кто куда семеро козлят!
Один в лесок, а второй за стог.
Третий спрятался в бочонок!”
А сколько козлят в избушке сидят? (4)
1, 2, 3, 4: кто живет у нас в квартире?
Мама, папа, брат, сестра, кошка Мурка,
Два котёнка, мой щегол, сверчок и я.
Вот и вся моя семья. (10)
2 цыплёнка стоят, 2 в скорлупках сидят;
6 яиц под крылом у наседки лежат.
Сосчитай поверней, отвечай поскорей,
Сколько будет цыплят у наседки моей! (10)
Сидят рыбаки, стерегут поплавки.
Рыбак корней поймал 10 окуней.
Рыбак Евсей – 7 карасей.
А рыбак Михаил трёх сомов изловил.
Сколько рыб из реки натаскали рыбаки? (20)
Посадила бабка в печь пироги с капустой печь
Для Наташи, Вовы, Коли – пироги готовы.
Да ещё один пирог кот под лавку уволок.
Да в печи – четыре штуки – пироги считают внуки.
Если можешь – помоги, сосчитай-ка пироги! (8)
III задание. Лиса Алиса.
На улице Бассейной
Жила одна лиса
И иногда рассеянной неделями была.
Учитель. Ребята! Лиса Алиса забыла, как нужно расставить в пустые клеточки числа так, чтобы в сумме по всем направлениям было 9.
| 2 | 6 | 2 | 6 | 1 | ||
| 3 | 2 | 3 | 4 | |||
| 4 | 5 | 0 | 4 |
IV задание. Кот Базилио.
Поспела новая игра,
Нелёгкое задание.
За дело взяться вам пора и проявить старание!
Учитель. Дети, кот Базилио предлагает вам игру “Наоборот”. Кому-то из вас я бросаю мяч и называю слово. А вы поймав мяч, говорите мне противоположное по значению слово и возвращаете мяч. Примеры: толстый-тонкий, утро-вечер, раньше-позже и т.д.
V задание. Черепаха Тортилла.
Вот ещё одна задача.
Ждёт смышлёного удача.
1, 2, 3, 4, 5 – задачу эту вам решать.
Учитель. Дети, внимательно посмотрите и скажите, есть ли среди этих рыбок в аквариуме одинаковые? (решение примеров).
Детям предлагаются следующие примеры (понятия “сумма” и “разность”):
13 + 6 = 19 14 + 3 = 17 19 – 9 =10
11 + 9 = 20 16 + 2 = 18 15 – 4 = 11
12 + 4 = 16 16 – 3 = 13 20 – 10 = 10
15 + 5 = 20 17 – 5 = 12 18 – 6 = 12
Физкультминутка “Лягушки”
Встанем, дети, скажем тихо: 1, 2, 3, 4, 5.
Приподнялись, чуть присели и соседа не задели.
А теперь придётся встать.
На болоте две лягушки
Утром рано умывались,
Полотенцем растирались.
Ножками топали, ручками хлопали.
Вправо – влево наклонялись
И обратно возвращались
Вот здоровья в чём секрет.
Всем друзьям физкультпривет!
VI задание. Пьеро.
Пьеро – поэт рассеянный
Жил на улице Бассейной.
И такие вот задачки
Сочинял для вас, ребятки.
|
| |
|
| |
Ответ: на 4 больше?
|
| |
|
| |
Ответ: на 3 меньше?
Составление задач по рисунку проводится по следующей схеме. Учитель спрашивает, из каких частей состоит задача, что нам известно из задачи, что значит больше (меньше), каким действием будем решать задачу, почему; затем даётся решение задачи (ответ).
На правило вычитания можно дать такие задачи:
Четыре воробушка спустились на грядки,
Скачут и что-то клюют без оглядки.
Котик-хитрюга внезапно подкрался,
Мигом схватил одного и умчался.
Вот как опасно клевать без оглядки.
Сколько теперь их осталось на грядке?
1, 2, 3, 4, 5 – кошка учится считать
Потихоньку, понемножку приближаем к мышке кошку.
Получаем мы ответ: кошка есть, а мышки нет.
VII задание. Папа Карло.
Очень трудное задание
Ожидает мальчиков.
1,2,3,4,5-
Задачу эту вам решать!
Учитель. Ребята! Вы все знаете, что в каморке у папы Карло на стене висел старый холст с изображением огня и чана, где варилась похлёбка. Вот однажды, когда Буратино ушёл в театр, крыса Шушара прогрызла холст. Сосчитайте, сколько дыр она сделала в холсте? Возьмите фигуры и помогите Буратино заштопать холст. Но будьте внимательны! (какими свойствами обладает геометрическая фигура?)
Учитель предлагает детям рассмотреть фигуры, расположенные по рядам, и ответить на вопросы, какая фигура есть в каждом ряду, как она называется и почему.
|
|
|
|
|
|
| ? |
|
|
|
|
|
| ? |
|
|
| ? |
|
VIII задание. Карабас Барабас.
Кто в соревнованьи победит
Конечно, лучший эрудит!
У меня сомнений нет –
Вы дадите мне ответ.
Учитель. Ребята, осталось самое последнее, самое трудное и ответственное задание – освободить Буратино, которого закрыл в домике Карабас Барабас. Посмотрите внимательно на ключ и подумайте, к какой замочной скважине он подойдёт?
IХ задание. Буратино.
Учитель (от имени Буратино). Молодцы, ребята! Вы спасли меня и выполнили все задания героев сказки. Вы очень хорошо играли, поэтому я вам приготовил небольшой сюрприз.
Вам числа выданы не зря, несложен их ответ.
Из них узнаете, друзья, мой небольшой секрет.
(Какие числа называются чётными, нечётными).
| 6 | 11 | 13 | 4 | 7 | 8 | 1 |
лод ти но мо ра цы Бу
(Открыть в порядке возрастания: сначала чётные, затем нечётные).
Читаем вместе: Молодцы, Буратино. Письмо Буратино:
“Дорогие мои друзья-школьники!
Большое спасибо за помощь, которую вы мне оказали в решении сложных математических задач. Следующей осенью я тоже пойду в школу, чтобы стать таким умным, как вы.
Знаю – кто уроки учит,
Ключик золотой получит.
С ним в мир знаний, мне поверь,
Ты всегда откроешь дверь! Буратино.
1 Сухомлинский В.А. О воспитании. М., 1985 стр.93
2 Эльконин Д.Б. Психология игры. М., 1978 стр.277
3 Амонашвили Ш.А. В школу – с шести лет. М., 1986 стр.160
4 Щедровицкий Г.П. Методические замечания к педагогическим исследованиям игры. // Психология и педагогика игры дошкольников. Под.ред.Запорожца М.,1996 с.24
5 Эльконин Д.Б. Психология игры М., 1978 стр.57
6 Чилинрова Л., Спиридонова Б. Играя, учимся математике. М., 1993 стр.6
7 Коваленко В.Г. Дидактические игры на уроках математики. М., 1990 стр.12-13
8 Психолого-педагогические особенности проведения дидактических игр. Под.ред. Акшиной А., Акшиной Т., Жарковой Т. М., 1990
9 Кружецкий В.А. Психология. М., 1986 стр.241
10 Кружецкий В.А. Психология. М., 1986 стр.242
11 Менджерицкая Д.В. Воспитателю о детской игре. М., 1982 стр.114
12 Менджерицкая Д.В. Воспитателю о детской игре. М., 1982 стр.125
13 Кушнерук Е.Н. Занимательность на уроках математики в начальных классах.
14 Жикалкина Т.К. Система игр на уроках математики в 1 и 2 классах. М., 1996 стр.46
15 Попова В.И. Игра помогает учиться. //Начальная школа №2, 1987 стр.39
16 Бочек Е.А. Игра-соревнование “Если вместе, если дружно” 1 класс //Начальная школа №1, 1999 стр.106-107
















