112723 (591168), страница 3
Текст из файла (страница 3)
Формализация — это замена реального объекта или процесса его формальным описанием, т. е. его информационной моделью.
Построив информационную модель, человек использует ее вместо объекта-оригинала для изучения свойств этого объекта, прогнозирования его поведения и пр. Прежде чем строить какое-то сложное сооружение, например мост, конструкторы делают его чертежи, проводят расчеты прочности, допустимых нагрузок. Таким образом, вместо реального моста они имеют дело с его модельным описанием в виде чертежей, математических формул. Если же конструкторы пожелают воспроизвести мост в уменьшенном размере, то это уже будет натурная модель — макет моста.
Табличные информационные модели. Одной из самых распространенных форм представления информационных моделей являются таблицы. Очень часто в табличной форме представляется информация в различных документах, справочниках, учебниках. Табличная форма придает лаконичность и наглядность данным, структурирует данные, позволяет увидеть закономерности в характере данных.
Умение представлять данные в табличной форме — очень полезный общеметодический навык. Практически все школьные предметы используют таблицы, но ни один из них не учит школьников методике построения таблиц. Эту задачу должна взять на себя информатика. Приведение данных к табличной форме является одним из приемов систематизации информации — типовой задачи информатики.
Среди разделов базового курса, относящихся к линии информационных технологий, непосредственное отношение к таблицам имеют базы данных и электронные таблицы. Предварительный разговор о таблицах, их классификации, приемах оформления является полезной пропедевтикой к изучению этих технологий.
Вводится классификация таблиц. Описывается два типа таблиц: таблицы типа «объект — свойство» и «объект — объект». Это наиболее простые и наиболее часто встречающиеся типы таблиц. Кроме того, даны примеры применения двоичных матриц.
Двоичные матрицы используются в тех случаях, когда нужно отразить наличие или отсутствие связей между отдельными элементами некоторой системы. С помощью двоичных матриц удобно представлять сетевые структуры.
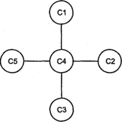
Пример. Дана двоичная матрица, отражающая связи между различными серверами компьютерной сети (табл. 1).
Таблица 1.
| С1 | С2 | СЗ | С4 | С5 | |
| С1 | 1 | 0 | 0 | 1 | 0 |
| С2 | 0 | 1 | 0 | 1 | 0 |
| СЗ | 0 | 0 | 1 | 1 | 0 |
| С4 | 1 | 1 | 1 | 1 | 1 |
| С5 | 0 | 0 | 0 | 1 | 1 |
Из таблицы 1 ученики должны определить, какой из пяти серверов является узловым?
Решение. Поскольку по данному определению узловым называется тот сервер, с которым непосредственно связаны все другие серверы, то в матрице нужно искать строку, состоящую только из единиц. Это строка — С 4. Значит сервер С4 является узловым.
В
торое задание, связанное с этой же таблицей, может быть следующим: нарисовать схему этой компьютерной сети, изобразив серверы кружками, а связи между ними линиями.
Элементы системного анализа в курсе информатики
Изучаемые вопросы:
-
• Понятие системы.
-
• В чем суть системного подхода.
-
• Структура системы; использование графов для отображения структуры.
-
• Развитие системного мышления учащихся.
Второй, дополнительный уровень изучения темы моделирования в базовом курсе связан с обсуждением таких понятий, как: система, структура, граф, деревья, сети. Необходимо отметить, что эти понятия постепенно начинают проникать в перечень обязательных для изучения в рамках базового курса. Перечисленные понятия относятся к области, которая в науке называется системологией (теорией систем). Знания элементов системологии придают целостность и понятийную полноту содержательной линии «Формализация и моделирование».
Понятие «система» часто употребляется как в научных дисциплинах, так и в повседневной жизни. Примеров тому достаточно много: Солнечная система, периодическая система химических элементов, системы растений и животных, система образования, система транспорта, файловая система, операционная система и многое другое. Во многих случаях понятие системы считается интуитивно ясным. Однако для информатики оно является одним из фундаментальных и требует разъяснения.
Под системой понимается любой объект, состоящий из множества взаимосвязанных частей, и существующий как единое целое.
В информатике понятие «система» употребляется достаточно часто. Совокупность взаимосвязанных данных, предназначенных для обработки на компьютере — система данных. Совокупность взаимосвязанных программ определенного назначения — программные системы (ОС, системы программирования, пакеты прикладных программ и др.). Информационные системы — одно из важнейших приложений компьютерных технологий.
Основным методическим принципом информационного моделирования является системный подход, согласно которому всякий объект моделирования рассматривается как система. Из всего множества элементов, свойств и связей выделяются лишь те, которые являются существенными для целей моделирования. В этом и заключается сущность системного анализа. Задача системного анализа, который проводит исследователь — упорядочить свои представления об изучаемом объекте, для того чтобы в дальнейшем отразить их в информационной модели.
Сама информационная модель представляет собой также некоторую систему параметров и отношений между ними. Эти параметры и отношения могут быть представлены в разной форме: графической, математической, табличной и др. Таким образом, просматривается следующий порядок этапов перехода от реального объекта к информационной модели:
| Реальный объект | Системный анализ | Система данных, существенных для моделирования | Информационная модель | |||
Важной характеристикой всякой системы является ее структура. Структура — это определенный порядок объединения элементов, составляющих систему. Другой вариант определения, встречающийся в литературе: структура — это множество связей между элементами системы. Наиболее удобным и наглядным способом представления структуры систем являются графы. Описываются основные правила представления графов, вводятся понятия вершина, дуга, ребро, ориентированный граф, дерево, сеть. Обычно у учащихся не вызывает проблем понимание схем, представленных в форме графа: граф родственных связей, граф системы связанных между собой населенных пунктов и др.
Важной разновидностью графов являются деревья. Дерево — это графическое представление иерархической структуры системы. Обычно это системы, между элементами которых установлены отношения подчиненности или вхождения друг в друга: системы власти, административные системы, системы классификации в природе и др. Ученики знакомы с понятием «дерево» применительно к системе файлов на дисках компьютера. Многим из них известен смысл понятия «родословное дерево».
Подводя итог, можно сказать, что второй уровень изучения темы «Введение в информационное моделирование» более подробно раскрывает суть системного анализа, знакомит учащихся с таким важным инструментом формализации, как графы.
Третий, углубленный уровень изучения общих вопросов моделирования можно характеризовать как переход от ознакомительного обучения к выработке навыков активного использования методов системного анализа.
Дидактические цели:
• Научить учеников рассматривать окружающие объекты как системы взаимосвязанных элементов; осознавать, в чем проявляется системный эффект в результате объединения отдельных элементов в единое целое.
• Раскрыть смысл модели «черного ящика». Этот подход характерен для кибернетики и применяется он в тех случаях, когда внутреннее устройство системы не раскрывается, а система рассматривается лишь с точки зрения ее взаимодействия с окружающей средой. В таком случае основными понятиями, характеризующими систему, являются не ее состав и структура, а ее «входы» и «выходы».
• Дать представление о некоторых методах системного анализа, в частности, декомпозиции, классификации.
• Научить читать информационные модели, представленные в виде графов и строить граф-модели.
• Научить учеников разбираться в различных типах таблиц, подбирать наиболее подходящий тип таблицы для организации данных, грамотно оформлять таблицы.
Содержательная линия формализации и моделирования выполняет в базовом курсе информатики важную педагогическую задачу: развитие системного мышления учащихся. Эффективная работа с большими объемами информации невозможна без навыков ее систематизации. Компьютер предоставляет пользователю удобные инструменты для этой работы, но систематизацию данных пользователь должен выполнять сам.
Информационное моделирование — это прикладной раздел информатики, связанный с самыми разнообразными предметными областями: техникой, экономикой, естественными и общественными науками и пр. Поэтому практическим решением задач моделирования занимаются специалисты в соответствующих областях. В рамках школьного курса информатики информационное моделирование может быть предметом профильного курса, смежного с другими школьными дисциплинами: физикой, биологией, экономикой и др. Базовый курс информатики дает лишь начальные понятия о моделировании, систематизации данных, знакомит с компьютерными технологиями, применяемыми для информационного моделирования.
Линия моделирования и базы данных
Изучаемые вопросы:
• Признаки компьютерной информационной модели.
• Является ли база данных информационной моделью.
• Задачи, решаемые на готовой базе данных.
• Проектирование базы данных (БД) — задача для углубленного курса.
О
бщая схема этапов решения практической задачи на ЭВМ методами информационного моделирования выглядит следующим образом (рис. 1):
Два первых этапа относятся к предметной области решаемой задачи. На третьем этапе происходит выбор подходящего инструментального средства в составе программного обеспечения ЭВМ для реализации модели. Такими средствами могут быть: электронные таблицы, СУБД, системы программирования, математические пакеты, специализированные системы моделирования общего назначения или ориентированные на данную предметную область. В базовом курсе информатики изучаются первые три из перечисленных программных средств.
Основные признаки компьютерной информационной модели:
• наличие реального объекта моделирования;
• отражение ограниченного множества свойств объекта по принципу целесообразности;
• реализация модели с помощью определенных компьютерных средств;
• возможность манипулирования моделью, активного ее использования.
Ответ на вопрос: «является ли база данных информационной моделью?» будем искать, исходя их сформулированных выше критериев.
П
ервый критерий: наличие предметной области, некоторого реального объекта (системы), к которым относится БД, практически всегда выполняется. Например, если в БД содержатся сведения о книгах в библиотеке, значит, объектом моделирования является книжный фонд библиотеки. Если БД содержит анкетные данные сотрудников предприятия, значит, она моделирует кадровый состав этого предприятия. Если в БД хранятся сведения о результатах сдачи экзаменов абитуриентами в институт, следовательно, она моделирует процесс вступительных экзаменов и т. п.















