102060 (590514), страница 4
Текст из файла (страница 4)
2. Выявлен рост общей рентабельности в 2006 году.
3. Отмечается относительный рост рентабельности оборота (с 2,93% в 2006 году до 4,82% в 2006 году).
4. Необходимо отметить, что фирма постепенно возвращает эффективность и пропорциональность своего развития, которое характеризуется превышением темпов роста прибыли над темпами роста выручки.
В целом следует отметить, что непропорциональность развития компании связана с экономическим кризисом в компании и желанием найти новые пути притоков денежных средств в компанию в 2006 году, это наглядно показывает падение уровня абсолютно всех показателей в 2006 году, по сравнению с 2005 годом. Однако компания сумела преодолеть кризис, и не только сохранить обороты на прежнем уровне, но и существенно увеличить их, сохранив пропорциональность и эффективность своего развития.
Организационная структура ООО «ФОК» – экстенсивная (командно – административная), линейно – пирамидальная, в рамках которой представлена как горизонтально – функциональная.
Достоинства – это устойчивость действующей системы, позволяющая сдерживать негативные тенденции.
Недостатки – командно-бюрократический централизм, недостаточная гибкость и восприимчивость к изменениям внешней и внутренней среде.
Закрепление функций по должностям удобнее всего представить в виде следующей таблицы.
Организационная структура фирмы с момента ее образования постоянно совершенствовалась и в настоящее время (01.10.2007) персонал ООО «ФОК» насчитывает около 89 человека:
– 2 человека – Руководство
– 6 человек – руководители проектов образование высшее, возраст 45 лет;
– 10 человек – начальник отдела;
– 4 человека – бухгалтерия (образование высшее) Возраст от 40 до 45 лет, три женщины и один мужчина;
– 4 человек – департамент управления проектами (образование высшее) возраст 38 лет – мужчина;
– 40 человека – аналитики и консультанты проектов (образование высшее) возраст от 25 до 35 лет 20 женщин и 18 мужчин;
– 4 человека – департамент управления персоналом, образование высшее, возраст от 27 до 35 лет, женщины;
– 6 человек – юридический департамент (4 человека с высшим образованием, 2 – со средним специальным) возраст от 25 до 30 лет, женщины;
– 6 человек – департамент оценки (образование высшее) возраст от 35 до 40 лет – мужчины;
– 3 человек – департамент информационных технологий (образование высшее) возраст 25–28 лет – мужчины.
– 4 человека – административно-хозяйственный департамент.
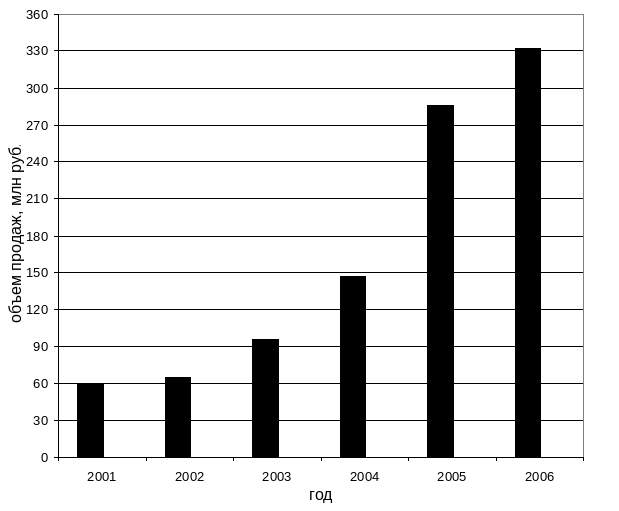
Показатели деятельности персонала удобнее всего представить в виде следующей диаграммы (Рисунок 3).
Так как системе управления ООО «ФОК» присутствуют устойчивые связи и отношения, базирующиеся на положениях, регламентирующих права и ответственность подразделений. А также наличия прямого воздействия руководителей на подчиненных посредством приказов, распоряжений и других документов. Можно с уверенностью декларировать, что в ООО «ФОК» действуют административные методы управления.
Рисунок 3. Развитие компании с момента ее основания
В ООО «ФОК» присутствует линейный контроль, осуществляемый генеральным директором, операционный контроль – контроль выполнения консалтинговых и информационных услуг, текущий контроль и его разновидность – фильтрующий. Как правило, в основном используется последующий или заключительный контроль. То есть контроль проводимый, после того как работа выполнена. Основная проблема контроля в ООО «ФОК» является, на мой взгляд, определенная формальность контроля, контроль проводится отчасти для видимости, «страховки» на случай ревизионных и аудиторных проверок, как со стороны руководства, так и со стороны контрольно-надзорных органов.
Коммуникационный процесс в ООО «ФОК» представлен в виде следующих инструментов коммуникационного менеджмента – собраний, семинаров и т.п. корпоративных мероприятий структурных отделов компании. Развита сеть служебной переписки, наличествуют доски объявлений, средства Интернета, межличностного (делового и неофициального общения). Основным препятствием на пути полноценной коммуникации являются, неверный выбор канала, естественная и служебная цензура.
Правовое обеспечение управленческой деятельности в ООО «ФОК» осуществляется посредством регламентирующих документов – положений, приказов, должностных инструкций и т.п.
Работа в компании ООО «ФОК» построена таким образом, что многие вопросы решаются значительно быстрее, чем в других компаниях-дистрибьюторах. Руководство компании ООО «ФОК» всегда открыто для контактов и готово подключиться к решению любой проблеме клиента, применяя по отношению к нему индивидуальный подход. Для совершенствования методов работы фирма ООО «ФОК» периодически проводит опросы клиентов при помощи анкетирования. Действуя совместно, компания ООО «ФОК» и компания-партнер расширяют свои возможности. Объединив усилия, специалисты компании могут добиться:
– Вытеснения из тендера (конкурса на право заключения контракта) конкурирующей компании;
– Разработки удобного финансового механизма взаимодействия.
Благодаря четкой организации работы филиалов и обширной клиентской базы компания ООО «ФОК» имеет возможность координировать совместные проекты для одного заказчика, имеющего разветвленную филиальную структуру по городам. В этих случаях фирма ООО «ФОК» выступает как центральное звено во взаимодействии региональных аналитиков и консультантов друг с другом. Таким образом, решаются вопросы юридического и информационного сопровождения сделок, сервиса и бизнес обслуживания клиентов
Департамент по работе с персоналом компании подчинен непосредственно генеральному директору и состоит из четырех человек: директор департамента управления персоналом, специалиста департамента управления персоналом, рекрутеры и делопроизводителя.
При найме на работу или для подряда на выполнение конкретных программы, задания, услуг (в том числе научных, информационных, организационно-управленческих и т.п.) каждый претендент имеет право представить администрации любую документацию, подтверждающую его квалификацию.
К квалификационным документам относится любое письменное свидетельство, характеризующее уровень образования, деловой активности, профессиональных навыков и умений работника, в том числе дипломы, авторские свидетельства, характеристики, отзывы ученых и специалистов, научные и информационные публикации, экспертные заключения о результатах исследований или разработок и т.п.
В качестве особого квалификационного документа рассматривается представление – рекомендация специалиста, работающего в ООО «ФОК». Администрация вправе устанавливать испытательный срок или объявлять конкурс – как в случае представления работником квалификационной документации, так и при отсутствии ее. Испытательный срок не может превышать трех месяцев. Все условия контракта действуют в течение всего испытательного срока. По окончании испытательного срока администрация вносит в предложения о внесении соответствующих изменений в условия контракта.
Оценивая, насколько эффективна политика управления персоналом с точки зрения управления, хочется отметить, что управление персоналом в компании строится на основе проверенных временем, зарекомендовавших себя с лучшей стороны методах.
Перед тем, как проанализировать кадровый состав и структуру, рассмотрим принципы кадровой политики организации. Она определяет основные принципы, реализуемые организацией в области управления персоналом. Кадровая политика тесно связана с миссией, целями и стратегией развития организации и является основой для построения системы трудовых отношений с персоналом.
Основные ценности в области работы с персоналом:
– уважение к свободе выбора и желания сотрудников работать в организации; создание возможностей для развития профессиональных и деловых качеств сотрудников;
– понимание необходимости создания взаимоотношений в коллективе на основе уважения, взаимовыручки и доброжелательности друг к другу; партнерство, стремления вырабатывать важные для организации решения вместе с сотрудниками;
– стремление к росту жизненного уровня сотрудников, повышая эффективность работы организации;
– честный, творческий подход к работе, восприимчивость к инновациям и профессионализм.
При подборе персонала в ООО «ФОК» используются наиболее приемлемые методы и формы оценки деловых и профессиональных качеств претендентов на вакантные должности. Мы полагаем, что отсутствие полного перечня профессиональных знаний для конкретной должности у претендента не является причиной отказа в предоставлении ему вакантной должности, в случае наличия у претендента высокого потенциала развития, а также необходимых личностных и деловых качеств для работы на данной должности.
При принятии решения о приеме сотрудников на работу кадровым руководителем учитываются достижения и рекомендации с прошлых мест работы.
Конкурсный отбор, как правило, происходит в 3 этапа:
– этап предварительного собеседования – знакомства (на основании резюме и анкеты кандидата),
– этап основного отбора (беседа- интервью и специальные тесты на оценку профессиональных знаний и навыков, проверка рекомендаций и послужного списка),
– этап принятия решения (на заключительном собеседовании с руководителем организации принимается решение о приглашении кандидата на работу в организацию или отклонении кандидатуры).
Для систематизации процедуры отбора первого этапа по согласованию с руководством фирмы нами были разработаны специальные анкеты кандидатов. Вариант такой анкеты показан нами в (Приложении 2).
а) Стиль управления, используемый в ООО «ФОК», соответствует организационной структуре компании. То есть стиль управления командно – административный, бюрократический.
б) Методы и способы принятия управленческих решений вытекают из стиля управления. Принятие решений происходит по ключевым решениям – коллегиально, по остальным, каждым руководителем в рамках своей компетенции.
в) Степень участия рядовых работников в выработке и принятии управленческих решений, соответствует нормам, прописанным в уставе ООО «ФОК» и должностных инструкциях донных работников.
г) Анализируя социально-психологический климат в коллективе ООО «ФОК», приходишь к выводу, что ему присущи как позитивные, так и негативные черты социально-психологический климата большой организации.
д) Отношения между работниками разные, но в основном доброжелательные и ровные. Это обусловлено спецификой организации.
е) Конфликты в ООО «ФОК» существуют, как правило, в служебной сфере, и урегулируются посредством применения руководителями властных полномочий.
ё) Основные же источники конфликтов лежат в личностной сфере сотрудников.
Обзор литературы по вопросам развития систем развития кадрового потенциала и совершенствоания профессионализма работников как основного механизма развития экономики государства и отдельного предприятия показал, что авторы, исследуя различные внешние рычаги и методы повышения квалификации в деятельности хозяйствующих субъектов, констатируют существенные различия между системами эффективного управления персонала, принятого в мировой практике, пытаются выявить условия практической эффективности этого необходимого инструмента менеджмента предприятия. Среди этих условий выделяются опыт применение различных форм раскрытия потенциала служащих; своевременное внедрение новейших информационных технологий в сфере обучение персонала; учет факторных показателей финансово-хозяйственной деятельности субъектов рыночных отношений, как оценка целесообразности использования внутренних ресурсов предприятия. Однако все эти условия (как и их комбинация), представляются недостаточными и не вскрывающими действительных базисных оснований. Позволивших бы создать универсальную формулу эффективности системы повышения квалификации персонала.
В целом, большинством авторов экспериментальных и теоретических исследований, как в нашей стране, так и за рубежом определяют развитие потенциала работников предприятия как систему повышения квалификации – обучения, обусловленного изменением характера и содержания труда специалистов на занимаемой должности, моральным старением знаний; это целенаправленное приобретение новых знаний и навыков, изучение передового опыта.
Большинством отчественных аналитиков-специалистов в сфере менеджмента, подтверждается тезис о том, что в настоящее время проблема повышения квалификации очень актуальна, поскольку от уровня квалификации персонала зависит эффективность деятельности организации и степень достижения ее целей. Знания, умения, трудовые навыки персонала фирмы становятся все более важным стратегическим ресурсом по сравнению с финансовым и производственным капиталом. В современных условиях быстрого устаревания профессиональных навыков способность организации постоянно повышать квалификацию своих сотрудников является одним из важнейших факторов успеха. По мнению и данным экономистов квалификация рабочих морально устаревает через каждые 10 лет, а потому каждая организация должна поддерживать соответствие между требованиями современного бизнеса и квалификацией кадров. Это позволит быстрее и эффективнее реагировать на изменения в стране и на денежном рынке, усилить в рыночной деятельности элементы стабильности, солидности, репрезентативности и трезвого расчета.
Как отмечают ученые управленческой сферы, в последние два десятилетия управление профессиональным развитием превратилось в важнейший элемент управления современной организацией. Формами профессионального развития являются – планирование и развитие карьеры, подготовка резерва руководителей, профессиональное обучение. Возрастающее значение профессионального обучения для организации и значительное расширение потребностей в нем привели к тому, что ведущие компании взяли на себя обновление квалификации своих сотрудников. Многие из них создали постоянно действующие учебные центры, институты и университеты. Организация профессионального обучения стала одной из основных функций управления персоналом, а его бюджет – наибольшей статьей расходов многих компаний.
Основные проблемы ООО «ФОК» лежат в плоскости как внешней, так и внутренней среды. Во внешней, это в первую очередь выстраивание своей деятельности в условиях реформы внедрения инновационных технологий в бизнесе. Во внутренней, это преодоление негативных проявлений бюрократической системы управления, для решения внешней проблемы.
В области проблем квалификации персонала отмечено отсутствие единой интегрированной системы обучения руководства и персонала компании без отрыва от коммерческой деятельности.
2.2 Мероприятия по совершенствованию управления персоналом















