62469 (588790), страница 2
Текст из файла (страница 2)
(6)
где
- некоторый коэффициент пропорциональности, не зависящий от i ;
Тогда после подстановки (6) в (2) получим
(7)
Из (7) следует, что если брать взвешивающие коэффициенты в соответствии с (6), а именно
(8)
то отношение сигнал/шум может достигнуть максимально возможного значения, равного сумме отношений сигнал/шум в ветвях разнесения.
Следовательно, при оптимальном линейном сложении в любой интервал времени
меньший интервала автокорреляции сигнала
, взвешивающий коэффициент
автоматически должен регулироваться так, чтобы он был прямо пропорционален корню квадратному из среднеквадратического значения сигнала в i-й ветви разнесения и обратно пропорционален среднеквадратическому значению шума в той же ветви. При этом коэффициент пропорциональности
выбирается одинаковым для всех ветвей разнесения.
Найдем теперь закон распределения случайной величины
, являющейся в соответствии с (7) суммой случайных величин
.
Пусть огибающие во всех ветвях разнесения распределены по закону Релея. Тогда распределение квадрата случайной величины подчинено экспоненциальному распределению
(9)
где
- среднее значение величины
.
В свою очередь, плотность вероятности суммы экспоненциально распределенных величин описывается так называемым распределением хи-квадрат (
). Если все ветви независимы, распределение можно записать в виде
(10)
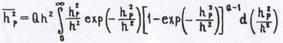
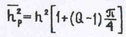
Для величин hp (10) можно представить как
(11)
Из (11) видно, что при Q =1 распределение совпадает с законом Релея, а при
стремится к
функции. Таким образом, при увеличении числа ветвей разнесения флуктуации сигнала за счет замираний на выходе схемы объединения уменьшаются.
Теперь, усредняя выражения для вероятности ошибки сигнала по закону, которым описывается суммарная огибающая сигнала, можно найти вероятность ошибки в такой системе
(12)
Так, для когерентного приема сигналов ФТ (10) в соответствии с (12) путем последовательного интегрирования по частям получим
(13)
В частности, при сдвоенном приеме из (13) легко получить
(14)
При достаточно больших отношениях сигнала к шуму
I) из (14) можно получить приближенное выражение
(15)
Из (11) можно получить также вероятность ошибки при некогерентном приеме сигналов AT и ЧТ:
(16)
(17)
При выводе (16) и (17) использован табличный интеграл вида
Приведенные выше формулы получены исходя из предположения, что замирания в ветвях некоррелированы.
Рассмотрим теперь случай, когда копии сигнала в ветвях разнесения коррелированы. Пусть коэффициент взаимокорреляции между ветвями равен I. Тогда огибающая суммарного" бИТ-' нала подчиняется релеевскому распределению, а вероятность ошибки, например, при когерентном приеме сигналов ФТ может быть записана в виде
(18)
Из (5.3.18) видно, что в этом случае когерентный прием на разнесенные антенны обеспечивает энергетический выигрыш в Q раз. При сдвоенном приеме (Q=2), например, этот выигрыш при вероятности ошибки порядка I0-4 равен всего 3 дБ, в то время как сдвоенный прием при тех же условиях в случае некоррелированных сигналов в ветвях разнесения обеспечивает энергетический выигрыш порядка 20 дБ.
При 0<Е<1 аналитические выражения в общем виде крайне сложны. Однако дляй=2 и при произвольном коэффициенте корреляции может быть получено соотношение
(19)
характеризующее вероятность ошибки при когерентном приеме сигналов ФТ.
При R=I эта формула совпадает с (18), а при R=0 предельным переходом может быть получено соотношение (15).
Сравнение (19) с (14) показывает, что при R ≤ 0,6 энергетический проигрыш из-за наличия корреляции не превышает I дБ, т.е. надежность связи при разнесенном приеме практически не снижается.
1.3 Прием с линейным сложением сигналов
Характерной особенностью линейного сложения является то, что при образовании результирующего сигнала все ветви полагаются равноценными (
=I). В этом случае (1) принимает вид
(20)
Амплитуда огибающей замирающего сигнала
может быть выражена в виде
(21)
где
- коэффициент передачи среды распространения для I -й ветви;
U0- амплитуда огибающей не замирающего сигнала, поэтому отношение сигнал/шум можно записать как
(22)
Среднее значение этой величины соответственно равно
где
- отношение средней мощности сигнала к мощности шума.
Так как все копии сигнала в отдельных ветвях полагаются независимыми, то среднее значение произведения независимых величин равно произведению их средних значений, т.е.
Если замирания в ветвях подчинены релеевскому закону, то и распределение случайной величины
описывается законом Релея
С учетом этого можно записать
Исходя из этих соотношений, (24) можно представить как
Отсюда следует, что величина энергетического выигрыша при линейном сложении определяется формулой
(27)
Из (27) видно, что выигрыш по энергетике при линейном сложении определяется числом ветвей разнесения.
Однако линейное сложение имеет принципиальный недостаток, который определяется тем, что ветви с плохим отношением сигнал/шум вносят заметный вклад в шумовую составляющую результирующего колебания и незначительный - в сигнальную составляющую. Другими словами, в этом случае помехоустойчивость приема ухудшается, если некоторые ветви будут иметь низкое соотношение сигнал/шум, а в других это соотношение будет хорошее.
Вследствие этого в практике радиосвязи линейное сложение практически не находит применения, несмотря на простоту его реализации.
1.4 Прием с оптимальным автовыбором
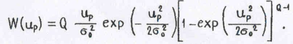
Найдем закон распределения огибающей
результирующего сигнала при приеме с оптимальным автовыбором и независимыми ветвями разнесения. Представим вероятность того, что в некоторый момент времени значение огибающей сигнала в
ветви окажется меньше значения огибающей результирующего сигнала в виде
где W(
) - плотность распределения случайной величины Ui;
F (Up) - интегральная функция распределения случайной величины Ui;
Вероятность того, что ни в одной из ветвей огибающая сигнала не превысит величину SР, определяется как
Тогда плотность распределения вероятностей огибающей результирующего сигнала при оптимальном автовыборе может быть получена путем дифференцирования (29) по Up
Это выражение справедливо для любого закона распределения замирающего сигнала.
В частности, если замирания подчиняются релеевскому закону, то
Перейдем теперь к закону распределения соотношения сигнал/помеха, воспользовавшись теоремой о функциональном преобразовании случайных величин и их распределений
где
- отношение средней мощности сигнала к средней мощности шума в отдельной ветви разнесения.
Отношение средних мощностей сигнала к шуму на выходе схемы формирования результирующего сигнала можно найти как
или, после подстановки в (33) выражения (32),
Интеграл (34) можно взять по частям, использовав разложение по биному Ньютона. Тогда можно окончательно записать
Отсюда видно, что энергетический выигрыш при оптимальном автовыборе определяется нелинейной зависимостью от числа ветвей разнесения.
Определим теперь вероятность ошибки в системе связи при использовании оптимального автовыбора. Будем полагать, что обработка колебаний осуществляется некогерентным способом при приеме ЧМ сигналов. Тогда можно записать
или, беря интеграл по частям с предварительным разложением третьего сомножителя подынтегрального выражения по биному Ньютона, получим окончательное выражение для вероятности ошибки
При достаточно больших соотношениях сигнал/шум (hJ>>1) (5.3.38) имеет вид
1.4 Метод комбинированной обработки цифровых сигналов при разнесенном приеме
В статье «О.Р. Никитин, П.А. Полушин, М.В. Гиршевич, В.А. Пятов МЕТОД КОМБИНИРОВАННОЙ ОБРАБОТКИ ЦИФРОВЫХ СИГНАЛОВ ПРИ РАЗНЕСЕННОМ ПРИЕМЕ» предложен и описан метод последетекторной обработки разнесенных сигналов, исключающей необходимость предварительного фазирования сигналов, но обеспечивающий помехоустойчивость, соответствующую додетекторной обработке. Объединением линейного сложения сигналов и автовыбора наибольшего из сигналов обеспечивается помехоустойчивость, близкую к оптимальному сложению, но не требующая регулировки весовых коэффициентов при суммировании.
Сущность метода. Для иллюстрации появления дополнительных возможностей рассмотрим подробнее явления, возникающие при этом, для случая двукратного разнесения. Вслед за [1] при обработке цифровых сигналов для удобства в демодуляцию будем включать восстановление на приемной стороне принимаемого сигнала, а в детектирование – принятие решения относительно цифрового значения этого импульса. Здесь принципиальные отличия между цифровыми и аналоговыми сигналами заключаются в следующем. Для аналоговых сигналов отношение С/Ш может выступать как показатель качества сигналов и до детектирования, и после него. Для цифровых сигналов показатель «отношение С/Ш», используемый до детектирования, заменяется вероятностью ошибки после детектирования. Рассмотрим передачу бинарных сигналов. При детектировании по максимуму отношения правдоподобия сигнал после согласованной фильтрации (или корреляционной обработки) сравнивается в пороговом устройстве с некоторым уровнем, и по результату сравнения принимается решение о передаче одного или другого бинарного символа. В случае, если производится раздельное детектирование каждого разнесенного сигнала, возможны различные ситуации. Если сигналы обоих детекторов совпадают, это означает: либо уровни шумов в обоих каналах невелики и в обоих каналах ошибки нет, либо сразу в обоих каналах перед пороговыми устройствами составляющие шума значительны и в обоих каналах происходит ошибка. (Кстати, и при додетекторном сложении при этом также будет иметь место ошибка). Однако возможны ситуации, когда в одном канале уровень шума невелик, а в другом он значителен. При этом один из детекторов выработает правильное решение, а другой – ошибочное. Поскольку никакой дополнительной информации в этом случае не используется и оба решения приходится считать равноправными, то это приводит к вероятности ошибки, равной 0,5. А при додетекторном сложении может оказаться, что сумма шумовых сигналов не превысит удвоенного уровня полезного сигнала (считая при этом, что уровни полезных составляющих в обоих сигналах одинаковы). В таких ситуациях будет выработано правильное решение. Вероятность подобных ситуаций зависит от параметров сигналов и шумов, и именно ее наличие и определит при цифровой передаче информации выигрыш при додетекторном сложении. Обозначим через s1=u1+n1 и s2=u2+n2 – сигналы перед детекторами в каждой ветви, причем u1, u2 – полезные компоненты, n1, n2 – шумовые компоненты первого и второго разнесенных сигналов. Первоначально будем считать уровень обоих полезных компонентов одинаковым и равным a.
При додетекторном сложении сигнал перед детектором равен C=(u1+u2)+(n1+n2)=uC+nC. Будем считать, что мощность обоих бинарных сигналов (соответствующая передаче логических «1» и «0») одинакова, появление их равновероятно. В отсутствие шумов сигналу «1» соответствует уровень а/2 на входе детектора, сигналу «0» соответствует уровень –а/2. Решение принимается в результате сравнения входного напряжения детектора с нулем. Для определенности рассмотрим моменты времени, когда передается символ «0». (Для другого символа все рассуждения аналогичны). Тогда ошибка в первом канале разнесения будет в случае, если n1>a.
Ошибка во втором канале разнесения будет в случае, если n2>a. Ошибка при додетекторном сложении будет иметь место, если n1+n2=nC>2a. Сущность описываемого метода иллюстрируется схемой на рисунке 1.
Рисунок 1 – Модифицированная схема последетекторной обработки
Разнесенные сигналы в первом и втором каналах разнесения обрабатываются в демодуляторах (ДМ), в результате чего вырабатываются напряжения s1 и s2, которые подаются на первое у второе пороговые устройства (ПУ1 и ПУ2). В них эти напряжения сравниваются с нулевым уровнем, в результате чего вырабатываются логические сигналы х1 и х2. Сигнал «1» вырабатывается в случае, если они выше нуля, сигнал «0» – если ниже нуля.
Кроме того, в сумматоре (Σ) находится их сумма s3=s1+s2 , и в третьем пороговом устройстве (ПУ3) она тоже сравнивается с нулем. В результате вырабатывается сигнал x3=1, если она больше нуля, и сигнал x3=0, если эта сумма меньше нуля. Все три логических сигнала поступают на логическую схему (ЛС), где на основе их вырабатывается выходная логическая функция y, являющаяся решением относительно переданного информационного символа. Функция, реализуемая ЛС, определяется следующим. В случае, если сигналы х1 и х2 одинаковы, любой из них (пусть сигнал х1) подается на выход. В случае, если сигналы x1 и x2 различаются, на выход подается сигнал x3.
Пусть передавался сигнал, равный -а/2, соответствующий передаче логического нуля. При этом ошибка может быть, когда, либо оба ПУ выработают одинаковый сигнал «1», либо ПУ выработают разные сигналы, но будет выбран неверный из них. Рассмотрим последнюю ситуацию. Пусть х1=1 и х2=0, (или х1=0 и х2=1). Решение при этом будет приниматься по величине переменной x3. При этом возникнет ошибка, если будет выработан сигнал х3=1 и принято решение, что передавалась логическая единица. Эта ситуация соответствует выполнению неравенства: s1+s2>0, т.е. n1–a+n2–a>0 или n1+n2>2a. Граничная линия между правильным и ошибочным решениями определится уравнением n1+n2=2a. Обе ситуации иллюстрируются одним и тем же рисунком 2. Рассмотрение случая, когда передавалась логическая единица, соответствующая уровню а/2, аналогичными рассуждениями приводит к ситуации, изображенной на рисунке 3. Таким образом, схема, приведенная на рисунке 4, действует так же, как и схема додетекторного сложения, но при этом не требует организации предварительного фазирования складываемых сигналов. Другое преимущество проявляется в случае работы в достаточно широкой полосе в каналах с селективно-частотными замираниями [1, 2, 4]. При этом влияние замираний принимаемых разнесенных сигналов на разных частотах проявляются по-разному и независимо. Взаимный фазовый сдвиг разнесенных сигналов на разных частотах спектра различен. Предварительное фазирование перед сложением не дает результата, при любом взаимном фазовом сдвиге складываемых сигналов какие-то области спектра сигналов будут складываться несинфазно и выигрыш по отношению С/Ш будет отсутствовать. В случае использования последетекторного объединения в описанном виде подобные недостатки отсутствуют.
-
Интерференция и методы борьбы с ней
Используемые в сотовой связи дециметровые радиоволны слабо огибают препятствия, т.е. распространяются в основном по прямой, но испытывают многочисленные отражения от окружающих объектов и подстилающей поверхности. Одним из следствий такого многолучевого распространения является более быстрое, чем в свободном пространстве, убывание интенсивности принимаемого сигнала с расстоянием. Другое следствие - замирания и искажения результирующего сигнала.
1>














