41664 (588111), страница 2
Текст из файла (страница 2)
1.1 Изучение процесса перевода
Рассмотрев понятие «перевода», а также особенности перевода художественных текстов, я полагаю, что интересно будет также изучить сам его процесс, изучение которого, поможет нам лучше понять особенности перевода художественного текста.
Процессом перевода или переводом в узком смысле этого термина называют действия переводчика по созданию текста перевода (собственно перевод). Процесс перевода включает, по меньшей мере, два этапа: уяснение переводчиком содержания оригинала и выбор варианта перевода. В результате этих этапов осуществляется переход от текста оригинала к тексту перевода. При этом действия переводчика часто интуитивны и переводчик подчас не осознает, чем он руководствуется при выборе того или иного варианта. Это, однако, не означает, что такой выбор полностью случаен или произволен. Он во многом определяется соотношением способов построения сообщений в ИЯ (исходный язык) и ПЯ (переводящий язык). Теория перевода стремится выяснить, как происходит переход от оригинала к тексту перевода, какие закономерности лежат в основе действия переводчика.
Реальный процесс перевода осуществляется в мозгу переводчика и недоступен для непосредственного наблюдения и исследования. Поэтому, изучение процесса перевода производится косвенным путем при помощи разработки различных теоретических моделей, с большей или меньшей приближенностью описывающих процесс перевода в целом или какую-либо его сторону. Моделью перевода называется условное описание ряда мыслительных операций, выполняя которые переводчик может осуществить перевод всего оригинала или некоторой его части. В лингвистической теории перевода модели перевода представляют процесс перевода в виде ряда мыслительных операций над языковыми или речевыми единицами, то есть в виде лингвистических операций, выбор которых обуславливается языковыми особенностями оригинала и соответствующими явлениями в языке перевода. Модель перевода носит условный характер, поскольку она необязательно отражает реальные действия переводчика в процессе создания текста перевода. Большинство таких моделей имеет ограниченную объяснительную силу и не претендует на то, что на их основе может быть реально осуществлен перевод любого текста с необходимой степенью эквивалентности. Задачи модели заключаются лишь в том, чтобы описать последовательность действий, с помощью которых можно решить данную переводческую задачу при заданных условиях процесса перевода. Модели перевода раскрывают отдельные стороны функционирования лингвистического механизма перевода. Хотя в своей практической работе переводчик может добиваться необходимого результата и каким-либо путем, не совпадающим ни с одной из известных нам моделей перевода, знание таких моделей может помочь ему в решении трудных переводческих задач.
Описание переводческого процесса с помощью моделей перевода включает два взаимосвязанных аспекта: 1) общую характеристику модели с указанием возможной сферы ее применения (объяснительной силы модели); 2) типы переводческих операций (трансформаций), осуществляемые в рамках модели. Модель перевода может быть преимущественно ориентирована на внеязыковую реальность или на некоторые структурно-семантические особенности языковых единиц. Примером моделей первого вида может служить ситуативная модель перевода, примером моделей второго вида – трансформационно-семантическая модель.
Ситуативная (иначе: денотативная) модель перевода исходит из того несомненного факта, что содержание всех единиц языка отражает, в конечном счете, какие-то предметы, явления, отношения реальной действительности, которые обычно называются денотатами. Создаваемые с помощью языка сообщения (отрезки речи) содержат информацию о какой-то ситуации, то есть о некоторой совокупности денотатов, поставленных и определенные отношения друг к другу.
Если отвлечься от несущественных различий, то следует признать, что окружающая нас реальная действительность едина для всего человечества. Общность окружающего мира, биологической структуры, производственных и жизненных процессов у всех людей, независимо от их языковой принадлежности, приводит к тому, что все люди обмениваются мыслями, в основном, об одних и тех же явлениях действительности. В принципе, любая мыслимая ситуация может быть с одинаковым успехом описана с помощью любого развитого языка.
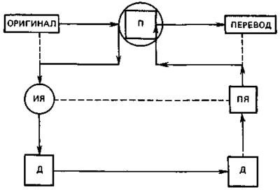
Учитывая, что основное содержание любого сообщения заключается в отражении какой-то внеязыковой ситуации, ситуативная модель перевода рассматривает процесс перевода как процесс описания при помощи языка перевода той же ситуации, которая описана на языке оригинала. При этом действия переводчика представляются следующим образом.
Схема № 1. Ситуативная модель перевода
Воспринимая текст оригинала, переводчик отождествляет составляющие этот текст единицы с известными ему языковыми единицами ИЯ и, интерпретируя их значение в контексте, выясняет, какую ситуацию реальной действительности описывает оригинал. После этого переводчик описывает эту ситуацию на языке перевода. Таким образом, процесс перевода осуществляется от текста оригинала к реальной действительности и от нее к тексту перевода. В ряде случаев этот же процесс идет более кратким путем, когда интерпретация текста или какой-либо его части была проведена заранее, и переводчику известно, что определенные единицы ИЯ и ПЯ указывают на одинаковые предметы, явления или отношения реальной действительности. На этом основании он может непосредственно заменять единицы оригинала соответствующими единицами перевода, и обращение к реальной действительности осуществляется вне данного акта перевода (на схеме эти два случая обозначены соответственно сплошной и пунктирной линией). Модель перевода при этом сохраняет свою основную ориентацию: объяснение процесса перевода как обращение к описываемой ситуации.
При этом речь идет не просто о необходимости интерпретировать значение языковых единиц в оригинале по отношению к реальной действительности, а также о необходимости учитывать, наряду с лингвистическим, и ситуативный контекст. Как уже отмечалось, без соотнесения с реальной действительностью невозможно понять даже самое простое речевое высказывание. Английское предложение The table is on the wall интерпретируется в данном случае как «Таблица висит на стене», в частности, потому, что знание реальной действительности подсказывает коммуникантам, что из двух значений слова table - «стол» и «таблица» - в данном случае реализовано последнее, так как обычно столы на стены не вешают.
Обращение к реальной действительности в рамках ситуативной модели перевода имеет в виду не только уяснение содержания оригинала, а сам процесс перевода, тот путь, следуя которому, переводчик может создать текст перевода. Своего рода «кусочек» реальной действительности, отраженный в совокупном содержании исходного текста, служит внеязыковой основой перевода. Предполагается, что переводчик описывает этот фрагмент реальности средствами ПЯ точно так же, как он описал бы этот фрагмент, если бы узнал его не из текста оригинала, а каким-либо иным путем, например, с помощью своих органов чувств.
Ситуативная модель перевода обладает значительной объяснительной силой. Она адекватно описывает процесс перевода, когда для создания коммуникативно-равноценного текста на ПЯ необходимо и достаточно указать в переводе на ту же самую ситуацию, которая описана в переводе. Иначе говоря, при помощи этой модели может достигаться эквивалентность на уровне идентификации ситуации.
Наиболее четко ситуативная модель «работает» в следующих трех случаях: 1) при переводе безэквивалентной лексики; 2) когда описываемая в оригинале ситуация однозначно определяет выбор варианта перевода; 3) когда понимание и перевод оригинала или какой-либо его части невозможно без выяснения тех сторон описываемой ситуации, которые не входят в значения языковых единиц, использованных в сообщении.
Поскольку у безэквивалентных единиц ИЯ нет готовых соответствий, любой способ создания окказионального соответствия для таких единиц связан с обращением к ситуации, которая описана с их помощью в оригинале. Даже если создаваемые соответствия (путем транскрибирования или калькирования) относятся непосредственно к переводимому слову или словосочетанию, они могут быть выбраны лишь на основе правильного уяснения всей ситуации:
При описании эквивалентности второго типа (на уровне указания на ситуацию) отмечались случаи, когда в ПЯ существует лишь один способ описания определенной ситуации, независимо от того, каким образом она описана в оригинале. Переводчик может установить, что в данном случае он имеет дело с ситуативной эквивалентностью подобного вида, лишь обратившись к реальной действительности. Возьмем очень простой пример, с которым каждый из нас может столкнуться в повседневной жизни: если в английском оригинале указывается на свежеокрашенный объект (Wet paint), то в русском переводе эта ситуация будет описана с помощью предупреждения «Осторожно, окрашено», а о наличии хрупких предметов в упаковке (Fragile) по-русски предупреждают «Осторожно, стекло».
Аналогичным образом ситуация в значительной мере определяет выбор варианта перевода и тогда, когда в ПЯ существует не единственный, а преобладающий, наиболее распространенный способ описания данной ситуации. Именно этот способ и будет использован в переводе в большинстве случаевa. Хотя указанные английские словосочетания и высказывания могут быть выражены по-русски и другими средствами, обращение к ситуации обычно подсказывает переводчику общепринятый способ ее описания. Для примера обратимся к нашему тексту: «Stop, I have a gun! – на русский язык мы переведем: «Стой! Я буду стрелять», все - таки не правильно в русском языке будет сказать: «Стой! У меня есть ружье».
Решающую роль играет обращение к описываемой ситуации в тех случаях, когда содержащаяся в высказывании информация недостаточна для выбора варианта перевода. Мы уже знаем, что любая ситуация описывается в высказывании не во всех деталях, а через обозначение некоторой совокупности ее признаков. В то же время выбор варианта перевода может порой зависеть от других признаков, которыми данная ситуация обладает в реальной действительности, но которые не вошли в способ ее описания, использованный в оригинале. В этом случае переводчик обращается к описываемой ситуации, ища необходимые сведения. Вновь вернемся к тексту и рассмотрим очень простой пример.В нашем произведении встречается такой пример и нам необходимо перевести следующее английское высказывание: His aunt must be made to tell him the truth about his parents. Общее содержание этого высказывания понять нетрудно, но выбор соответствия для существительного aunt и глагола made в русском переводе потребует дополнительной информации. Ведь aunt может быть и «тетя», и «тетушка», и «тетка», a must be made может означать, что ее нужно «заставить», «убедить» или «попросить» (...рассказать им об этом). Для того чтобы решить этот вопрос, необходимо будет выяснить, о каких людях реально идет речь, какие между ними существуют отношения и какие методы могут быть использованы, для того чтобы получить от упомянутой родственницы желаемые сведения. В произведении, которое мы рассматриваем это указывается, но ведь существует множество случаев, когда переводчик не может знать таких подробностей.
Необходимые сведения о реальной ситуации могут быть порой получены из различных литературных источников и всякого рода справочников. Обратимся к истории. В этом примере переводчику понадобится основательное знание истории Англии: Cromwell and Bradshaw (not the guide man, but the King Charles's head man) likewise sojourned here. (J.K. Jerome) Перевести выделенные слова можно лишь при условии, что переводчику удастся выяснить, что Дж. Бредшоу был председателем суда, приговорившего к смертной казни Карла Первого, а его однофамилец - автор известного в Англии путеводителя. В самом же тексте ни узкий, ни широкий контекст не позволяет правильно интерпретировать сочетания guide man и King Charles's head man.
Таким образом, ситуативная модель перевода правильно отражает ряд важных сторон переводческого процесса и дает возможность объяснить те особенности выбора варианта перевода, которые связаны с обращением переводчика к реальной действительности и последующим ее описанием средствами ПЯ. В то же время эта модель обладает ограниченной силой, поскольку она охватывает лишь некоторые способы реализации процесса перевода. Как известно, описываемая ситуация далеко не всегда однозначно определяет выбор варианта перевода, так как в большинстве случаев она может быть описана разными способами. И тогда самое подробное выяснение реальной ситуации, которую описывает оригинал, не дает еще переводчику указаний, какие признаки этой ситуации надо отразить при создании сообщения на ПЯ. Не дает знание ситуации достаточных оснований и для выбора лексико-синтаксической организации высказывания в переводе в рамках определенного способа описания ситуации. И способ описания ситуации, и набор языковых единиц, с помощью которых он реализуется, выражают дополнительный смысл, составляющий немаловажную часть общего содержания высказывания. Поэтому содержание высказываний, описывающих одну и ту же ситуацию, может, в целом, различаться весьма существенно. И для правильного выбора варианта перевода в этом случае переводчику недостаточно описать средствами ПЯ ту же реальную действительность, которая отражена в оригинале. Он должен еще воспроизвести и другие части содержания исходного текста, употребив эквивалентные средства описания этой действительности. А для этого необходимо учитывать, не только о какой ситуации говорится в оригинале, но и что и как о ней сказано.
Понятно, что ситуативная модель перевода не работает и в тех случаях, когда переводчику необходимо отказаться от описания той же самой ситуации, чтобы обеспечить передачу цели коммуникации оригинала. Если данная ситуация не позволяет переводчику сделать необходимые выводы или связана с иными ассоциациями, чем у автора оригинала, то описание переводчиком той же ситуации средствами ПЯ не обеспечит возможности межъязыковой коммуникации.
















