178206 (583503), страница 2
Текст из файла (страница 2)
Стоимость сырья и материала
ССМ=НР(ЦПР-НДС) КТЗР
Стоимость возвратных отходов
СВО=(НР-МЧ)ЦОТХ
Итого материальных затрат за вычетом отходов
ИМЗ=ССМ-СВО
Основная заработная плата
,
где n – число операций
,
где
- минимальная заработная плата,
- коэффициент по генеральному соглашению,
- среднее число рабочих дней в месяце,
- продолжительность смены.
грн./час
Дополнительная заработная плата
ЗПДОП=%ЗПОСН
Отчисление на социальное страхование
ОСС=%(ЗПОСН+ ЗПДОП)
Расходы на содержание и эксплуатацию оборудования
,
где n – число выпускаемых изделий
Общие производственные расходы
Другие производственные расходы
Производственная себестоимость
Административные расходы
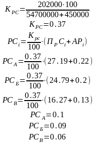
где n – число выпускаемых изделий
Расходы на сбыт
Полная себестоимость
ПС=ПРС+АР+РС
Прибыль
Оптовая цена предприятия
ОЦ=ПС+ПР
Налог на добавленную стоимость
НДС=0,2ОЦ
Продажная цена
ЦПРОД=ОЦ+НДС
| N п/п | Наименование статей калькуляции | Сумма, в грн. | |||
| А | Б | В | |||
| Стоимость сырья и материалов | 12.627 | 18.466 | 10.64 | ||
| Стоимость возвратных отходов | 0.488 | 0.366 | 0,244 | ||
| Итого материальных затрат за вычетом отходов | 12.139 | 18.1 | 10.396 | ||
| Основная заработная плата | 2.879 | 3.808 | 2.879 | ||
| Дополнительная заработная плата | 0.711 | 1.02 | 0.662 | ||
| Отчисление на социальное страхование | 1.335 | 1.81 | 1.32 | ||
| Расходы на содержание и эксплуатацию оборудования | 0.935 | 1.21 | 0.921 | ||
| Общие производственные расходы | 0.537 | 0.713 | 0.539 | ||
| Другие производственные расходы | 0.27 | 0,25 | 0,16 | ||
| Производственная себестоимость | 27,19 | 24,79 | 16,27 | ||
| Административные расходы | 0.22 | 0.2 | 0.13 | ||
| Расходы на сбыт | 0.1 | 0.09 | 0.06 | ||
| Полная себестоимость | 27.51 | 25.08 | 16.46 | ||
| Прибыль | 0.68 | 0.63 | 0.41 | ||
| Оптовая цена предприятия | 28.19 | 25.71 | 20.244 | ||
| Налог на добавленную стоимость | 5.638 | 5.142 | 3.374 | ||
| Продажная цена | 33.828 | 30.852 | 23,88 | ||
















