162743 (582003), страница 2
Текст из файла (страница 2)
Далее, прибавив к чистой прибыли амортизацию (при соответствующей корректировке), получают поток денежных средств (cash-flow). Этот поток представляет собой имеющийся в распоряжении предприятия излишек поступлений над выплатами, как излишек доходов от реализации над затратами.
Для получения голоного финансового плана необходимо рассчитан, поступления и расходы в течение одного года. Их можно вывести по аналогии с отчетом о движении финансовых средств. Но если отчет составляется на основании фактического баланса и баланса движения, то планируемые финансовые потоки получают на основании информации из плана баланса и плана о прибылях и убытках. Техника обработки запланированной информации такая же, как и при составлении отчета о движении денежных средств. Вначале выводят cash-flow на основании плана о прибылях и убытках. Затем к нему подключают нейтральные для прибыли инвестиционные и финансовые процессы. Они воплощаются в статьях баланса движения.
Затем на базе полученного потока денежных средств составляют финансовый план (как сопоставление выплат и поступлений соответствующих периодов) с учетом имеющихся платежных средств на начало планируемого периода и запланированного в конце периода количества платежных средств, т.е. определенных ликвидных резервов (ликвидное сальдо). Примерная схема финансового плана приведена на рис. 10.14.
| Поступления | Выплаты |
| 1. Платежные средства на начало периода | 1.Выплаты по приобретению всех ресурсов, включая заработную плату. 2 3. Выплаты налогов. 4. Выплаты по инвестированию. 5. Выплаты по погашению кредита. 6.Выплаты в связи с выходом учредителем. 7. Платежные средства на конец периода (ликвидные резервы/сальдо). |
| 2. Поступления от реализации. 3. Поступления от финансовых наложений (дивиденды, проценты). 4. Поступления из бюджета | |
| 5. Поступления от дезинвестиций 6. Получение кредита. 7. Поступления от учредителей. |
Рис. Примерная схема финансового плана
Приведенный финансовый план позволяет структурировать информацию по финансовым потокам и использовать этот план в качестве инструмента управления финансами предприятий.
Выведенные таким образом из планирования прибылей и убытков, а также планирования баланса поступления и расходы рассматриваемого периода называют производным годовым финансовым планированием. Инструментами его составления являются план баланса для планирования структуры баланса с учетом нормативных показателей, а также брутто-баланс движения для согласования источников средств и их использования по балансу. Годовой финансовый план, выведенный по принципу баланса движения и расчета движения финансовых потоков на базе планирования прибылей и убытков, а также баланса изменения запасов, является связующим звеном с многолетним финансовым планированием.
Возникающие при этом взаимосвязи представлены на рис. 10.15.
| Расчет прибыли Баланс движения Финансовые расчеты Затраты доходы + А/-Р +Р/-А поступления доходы | |
Поступления прибыли (платежи) Расходы для прибыли Доходы, не сопровождающиеся платежами Расходы, не сопровождающиеся платежами
Расходы по инвестициям Расходы по кредитам Расходы по собственному капиталу Поступления от дезивестиций Поступления кредитования Поступления собственного капитала
|
При другом способе финансового планирования финансовый план выводится на базе выплат и поступлений из отдельных планов на предприятии. Поток денежных средств в данном случае рассчитывается, с одной стороны, как сумма таких потоков из отдельных планов на основе прогнозируемых цен и объема выпуска, а с другой — на базе выплат дивидендов, процентов по кредитам, налогов для всего предприятия. Выплаты и поступления берут непосредственно из стратегического плана инвестиций и дезинвестиций и т.д. На базе такого планирования платежей выводят балансовую прибыль, из которой затем получают расчетную прибыль.
Годовое финансовое планирование можно осуществлять с помощью компьютера. Для этого необходима информация о существующих соотношениях между статьями баланса, полученная в результате анализа финансового положения предприятия, а также о некоторых соотношениях из анализа прибыли в виде показателей (например, доля дебиторской задолженности в обороте). При наличии таких данных можно планировать статьи баланса и отчета о прибылях и убытках, а также прогнозировать развитие полученных показателей на перспективу. Задавая определенные плановые данные, компьютер позволяет делать необходимые расчеты для прибыли и определять планируемую прибыль. Затем эти данные преобразуют в план баланса. Такие расчеты можно проводить для любого периода планирования в рамках одного года и на несколько лет вперед.
Для финансового планирования обходима следующая информация: оборот (выручка от реализации), затем на материал, персонал, амортизацию, основные средства, изменения в виде налогов, прочие отчисления и выплаты дивидендов. На основании этих данных можно рассчитывать другие статьи баланса и отчета о прибылях и убытках. Планирование потока денежных средств поможет показать источник направления использования средств в планируемом периоде.
Планирование ликвидности (краткосрочное планирование)
Планирование ликвидности как краткосрочное планирование осуществляется в рамках многолетнего финансового планирования внутри заданной структуры для учета движения отдельных платежей. Период планирования может составлять от одного до трех месяцев. Исходя из первичной задачи планирования ликвидности — обеспечивать ситуативную платежеспособность предприятия, следует, что краткосрочный финансовый план занимается конкретными платежами на предприятии. В таком плане необходимо определить будущие поступления и выплаты по времени и по величине таким образом, чтобы не возникало проблем с платежеспособностью. Его основными элементами являются поступления и выплаты, а также запас платежных средств на начало и конец планируемого периода. Кроме того, в рамках планирования ликвидности необходим прогноз движения всех платежей в планируемом периоде.
Под финансовым планом понимается систематический учет и сопоставление ожидаемых в течение определенного периода времени поступлений и выплат, а также вытекающие из них необходимые распоряжения финансовыми средствами. Величины платежей входят в финансовый план, который, в зависимости от вида, может состоять из плана поступлений, плана выплат и плана распоряжений (привлечение дополнительных средств или рентабельные вложения).
Основой ориентированного на платежи финансового планирования являются поступления и расходы как отражение производственно-хозяйственных процессов рассматриваемого периода. Исходя из запасов платежных средств на начало периода, можно вывести состояние (платежеспособности) на конец нового периода. Такое финансовое планирование в принципе имеет следующую основную структуру (рис. )
Характерными признаками такого плана являются, с одной стороны, запасы платежных средств, а с другой — движение платежей. Платежеспособность на определенный момент времени определяется как сумма денежных средств в кассе, денежных средств на счетах, а также из предоставленных, но еще не полученных кредитных средств.
| Период планирования (день, неделя, месяц) Статьи: | I | II | III | IV | V |
| 1. Платежные средства на начало периода (платежеспособность) (излишек/дефицит) | 15 | 20 | |||
| План поступлений из … 2. Сумма плана расходов | 30 | ||||
| План расходов для … 3. Сумма плана расходов | 25 | ||||
| 4. Запас платежных средств на конец периода (излишек/дефицит средств) 1+2-3 | 20 |
Рис. 10.16. Основная структура финансовых планов
Для планирования платежей и определения ликвидности интерес представляют только ожидаемые выплаты и поступления в определенном размере и к определенному моменту времени. Дисконтирование поступлений и выплат позволит сделать эти величины сравнимыми для будущих периодов. Но поскольку прогнозировать потоки платежей (выплаты/поступления) трудно из-за неполной информации, то и финансовое равновесие можно определить с некоторым риском. Возможность риска и предполагает определение ликвидных резервов.
Исходя из приведенной основной структуры финансового плана, можно структурировать движение запланированных платежей по различным критериям. На рис. 10.17 приведена одна из возможных структур движения платежей.
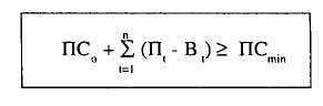
С помощью такого финансового плана можно выявлять узкие места с ликвидностью и излишки платежных средств. Принцип краткосрочного финансового планирования можно представить в виде следующего соотношения:
Псо - запас платежных средств на начало планируемого периода
Ц - поступления платежей в течение периода t
В, - выплаты в течение периода t
ПСшш - запланированный запас платежных средств для обеспечения гарантии
Такое финансовое равновесие должно сохраняться для всех последующих периодов планирования. При сопоставлении потоков платежей выявляют вероятную потребность в финансовых средствах или их излишек. Покрытие этой потребности, либо рентабельные вложения излишков, требует принятии определенных решений.
Источниками информации для составления движения платежей служат прогнозные данные аналитического учета и данные отдела сбыта, производства, снабжения и т.д. Критическим потоком платежей являются посту! i гения из оборота (от реализации продукции), поскольку они составляют основную долю всех поступлений, но подвержены колебаниям. Менее проблематичными являются фиксированные выплаты за сырье и материалы, заработной платы, процентов, погашение кредитов и др. Такие выплаты и их время известны достаточно точно.
-
Платежеспособность (состояние на начало периода)
-
Поступления
Поступления из производства:
-
обороты (выручка)
-
от продажи материальных активов (имущества)
-
прочие
Поступления из непроизводственной сферы; Поступления из финансовой сферы:
-
от поступлений капитала
-
от дезинвестиций финансовых активов
-
от доходов но фиансированию
(3) Расходы
''Расходы в сфере производства:
-
на метериалы
-
на персонал
-
на услуги сторонних организаций
-
на налоги
-
прочие
Расходы на инвестиции в сфере производства; Расходы во внепроизводственной сфере; Расходы в сфере финансирования:
-
на погашение капитала (кредита)
-
на инвестиции в финансовой сфере
-
на затраты по финансированию
(4) Платежеспособность (на конец периода)
Рис. 10.17. Структура платежей
Дефицит финансовых средств
В краткосрочном периоде финансовый план служит для гарантии ликвидности. Он показывает излишек или недостаток платежей с учетом запасов платежных средств.
Выявленный с помощью финансового плана дефицит платежных средств по своей природе может быть либо временным, либо носить структурный характер. Временный дефицит платежных средств может возникать в определенные периоды времени, но он не мешает в целом достигать финансового равновесия (см. рис. 10.18 ).
| январь | февраль | март | апрель | май | июнь | июль | |
| Платежные средства на начало периода | 100 | 100 | -100 | -100 | 0 | 100 | 200 |
| Поступления | 200 | 200 | 200 | 200 | 200 | 200 | 200 |
| Выплаты | 200 | 400 | 200 | 100 | 100 | 100 | 100 |
| Платежные средства на конец периода | 100 | -100 | -100 | 0 | 100 | 200 | 300 |
Рис. 10.18 Открытый дефицит финансовых средств в отдельных периодах
Если финансовый план не удается привести к равновесию в течение нескольких периодов, значит, между поступлениями и выплатами существует структурное неравновесие (см. рис. 10.19).
| январь | февраль | март | апрель | май | июнь | Итого | |
| Платежные средства на начало периода | 100 | 100 | -100 | -200 | -250 | -350 | |
| Поступления | 200 | 300 | 200 | 150 | 100 | 200 | 1150 |
| Выплаты | 200 | 500 | 300 | 200 | 200 | 300 | 1700 |
| Платежные средства на конец периода | 100 | -100 | -200 | -250 | -350 | -450 | -450 |
Рис. 10.19. Структурное неравновесие в финансовом плане
. Выплаты по финансированию.















