104403 (576681), страница 2
Текст из файла (страница 2)
- профессиональную подготовку, переподготовку и повышение своей квалификации в порядке, установленном настоящим Кодексом, иными федеральными законами;
- объединение, включая право на создание профессиональных союзов и вступление в них для защиты своих трудовых прав, свобод и законных интересов;
- участие в управлении организацией в предусмотренных настоящим Кодексом, иными федеральными законами и коллективным договором формах;
- ведение коллективных переговоров и заключение коллективных договоров и соглашений через своих представителей, а также на информацию о выполнении коллективного договора, соглашений;
- защиту своих трудовых прав, свобод и законных интересов всеми не запрещенными законом способами;
- разрешение индивидуальных и коллективных трудовых споров, включая право на забастовку, в порядке, установленном настоящим Кодексом, иными федеральными законами;
- возмещение вреда, причиненного работнику в связи с исполнением им трудовых обязанностей, и компенсацию морального вреда в порядке, установленном настоящим кодексом, иными федеральными законами;
- обязательное социальное страхование в случаях, предусмотренных федеральными законами.
Управление трудовыми коллективами, организационным поведением людей всегда протекает в диалектическом единстве двух процессов: групповой самоорганизации, самоуправления и единоначалия. Важная задача менеджеров состоит в том, чтобы согласовать эти процессы. Однако полностью это сделать практически невозможно, так как личные, групповые и общеорганизационные цели и интересы участников совместной деятельности различаются.
Выход видится в переходе к методам работы единой командой. Сегодня сплоченная команда является синонимом сильного и успешного стиля управления, присущего менеджерам всех уровней. Некоторые специалисты по организационному поведению утверждают, что методы командной работы - есть наивысшая и наиболее эффективная форма сочетания группового самоуправления и единоначалия в организации. Вместе с тем даже сплоченная вокруг своего лидера команда единомышленников не всегда достигает максимальной результативности, и прежде всего из-за возникновения внутренних разногласий.
В значительной мере решает эту проблему использование опыта японских компаний, где управляющие добиваются общего консенсуса тем, что принятию управленческих решений предшествует всестороннее обсуждение назревших проблем, в котором участвуют все члены рабочей группы. Каждый свободно высказывает свое мнение. При этом нередко запрашиваются дополнительная информация, разъяснения, советы, письменные отчеты. Таким образом, достигают согласия. Этот метод коллективного принятия управленческих решений целесообразно использовать и в российских условиях [7, стр. 390].
2. Неформальные коллективы (группы)
В формальной организации, несмотря на весьма детальную регламентацию ее деятельности, не все средства функционирования четко определены и далеко не все стороны функционирования формализованы. Инструкции не охватывают, да и не могут охватить всего, что происходит в организациях. Более того, попытки абсолютно все регламентировать зачастую приводят к снижению эффективности их работы. Причина состоит в том, что основным элементом всякой современной организации являются люди, в связи с чем целесообразно рассматривать ее одновременно и как неформальное образование. Организация при таком подходе рассматривается как коллектив сотрудников, основным элементом которого выступают социальные группы: демографические, возрастные, национальные, профессионально квалификационные и другие, среди которых выделяются так называемые социально-психологические группы, регулирующие непроизводственные связи людей.
Таким образом, неформальные коллективы - это спонтанно образовавшиеся группы людей, которые вступают в регулярное взаимодействие для достижения определенных целей. Эти цели являются причиной существования неформальных организаций. Причем в крупной организации существует не одна, а несколько неформальных организаций.
У неформальных организаций много общего с формальными, в которые они оказываются как бы вписанными. Они в некотором роде организованы так же, как и формальные организации, т. е. имеют иерархию и лидеров, обладающих влиянием на людей, авторитетом.
Лидеры неформальных организаций (далеко не всегда ими являются формальные руководители) добиваются власти и применяют средства воздействия к членам группы так же, как и лидеры формальных организаций. Различие заключается в том, что лидеры формальных организаций имеют поддержку в виде делегированных им полномочий и действуют в рамках отведенной им конкретной функциональной области. Опорой неформальных лидеров является признание их группами. В своих действиях они делают ставку на людей и их взаимоотношения. Неформальный лидер выполняет две основные функции: помощь группе в достижении целей и поддержку ее существования, социальное взаимодействие. Иногда эти функции выполняют разные люди - два лидера.
В неформальных организациях также имеются правила или нормы поведения, но неписаные. Они подкрепляются системой поощрений и санкций. Однако если формальная организация, ее структура и тип строятся руководством сознательно, по заранее продуманному плану, то структура и тип неформальной организации возникают в результате социального взаимодействия.
Процесс формирования коллектива весьма длительный. Специалисты выделяют обычно 5 стадий формирования неформальных коллективов:
на первой люди объединяются неосознанно, стихийно реагируя на какие-либо события аварийного характера;
на второй стадии бывают обычно более осознанные эмоции;
на третьей стадии коллектив уже организованно сплачивается, чтобы совместно бороться с какой-то внешней постоянной опасностью;
на четвертой стадии объединяющим людей фактором выступает уже нечто позитивное, например, утвердиться в конкурентной борьбе, принадлежать к престижному клубу и т. д.
на пятой стадии люди объединяются для решения крупных долгосрочных целей, решить которые можно только коллективно.
Таким образом, уровень сплоченности коллектива зависит от стадии его развития, зрелости.
Существует несколько причин вступления людей в неформальные организации (группы):
потребность в чувстве принадлежности к данной организации;
помощь, которую получают работники от неформальных организаций и которую они не получают от менеджеров;
защита работников, например соблюдение требований условий труда. Причем защитная функция приобретает наиболее важное значение, когда руководителю не доверяют;
потребность людей в общении. Люди хотят знать, что вокруг них происходит, однако во многих формальных организациях их недостаточно информируют. Более того, руководители подчас намеренно скрывают информацию от своих сотрудников;
желание некоторых молодых людей объединяться по престижным интересам и дистанцироваться от остальной части коллектива;
взаимные симпатии людей, связи между ними, родственные отношения. Они часто присоединяются к неформальным группам для того, чтобы быть ближе к тем, кому симпатизируют.
Неформальные группы могут создавать проблемы:
- снижение эффективности деятельности предприятия;
- распространение ложных слухов и сопротивление прогрессивным переменам;
- в ряде случаев увод организации в сторону от решения задач;
- ориентация некоторых организаций не на достижение формальных целей, а на реализацию целей неформальных групп и их лидеров.
В то же время, если групповые нормы превосходят официально установленные, неформальные организации могут приносить пользу:
преданность предприятию;
высокий дух коллективизма;
более высокая производительность труда;
поддержание социальной целостности коллектива;
снятие социальных напряжений в коллективе;
поддержание у работников высокой самооценки и самоуважения;
выполнение роли своеобразного буфера между индивидом и жесткой формальной организацией, смягчая ее воздействие на людей.
В результате производственного взаимодействия людей возникают определенные чувства, привычки, ожидания симпатии и антипатии. Причем чем чаще и интенсивнее взаимодействие, тем сильнее взаимные чувства. В результате формируется коллектив довольно крепко связанных друг с другом людей. У них возникают нормы совместного поведения, которые аккумулируют прошлый опыт, высоко ценятся людьми и выполняются нередко с большим прилежанием, чем формальные нормы.
Чтобы справляться с потенциальными проблемами и использовать выгоды от неформальных организаций, менеджеры должны признавать их, работать с ними, учитывать их решения, привлекать неформальные организации к принятию решений и пресекать слухи путем оперативного предоставления официальной информации.
Кроме того, менеджер должен знать статусы и роли членов (кто и какую позицию в группе занимает), личные симпатии и антипатии, силу и конформизм членов групп (кто на кого оказывает влияние, и кто за кем следует, кто кого готов слушать и кому подчиняться).
На результате деятельности менеджера сказывается соотношение формальной и неформальной структур, так как ему приходится выполнять много задач и функций, осуществление которых непосредственно зависит от того, каково соответствие формальных установок и тех действий и их результатов, которые в конечном итоге проявляются.
В нашей стране в ходе проведения эмпирических социологических исследований нередко выдвигалось положение о гармонии, единстве формальной и неформальной структур в организациях. Сейчас возникает и решается на практике вопрос о налаживании отношений между формальной и неформальной структурами.
В последнее время большое признание получает идея обеспечения соответствия формальной и неформальной структур, гармонизации их взаимодействия. Взаимодействие формальной и неформальной структур не является обязательно случайным отклонением [5, стр. 200].
3. Формирование и диагностика трудового коллектива
Весьма важную задачу составляет создание работоспособных, сплоченных трудовых коллективов, способных решать возникающие перед организацией проблемы. По данному вопросу существует немало рекомендаций, имеющих, как правило, разрозненный характер.
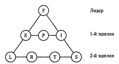
Социоаналитические исследования показали, что максимальное количество неформальных ролей членов коллектива - восемь (при большем количестве постоянных участников ядро разделяется на части, не совпадающие по способу и темпу решения одинаковых задач). В хорошо структурированном ядре цельного, не раздвоенного коллектива выделяются легко различимые неформальные роли.
В трудовом коллективе неизбежно существует социально-психологическая иерархия, пирамида власти, которую можно изобразить схематически. На вершине, в середине и в основании пирамиды находятся различные по статусу неформальные роли, обозначенные для удобства теми же буквами, что и выполняемые ими коммуникативные задачи (рис. 1).
Рисунок 1. Пирамида власти в трудовом коллективе [7, стр.395]
Изучение неформальных ролей позволяет заранее, экономя время на притирку и случайный перебор, создать функционально сбалансированный коллектив. Для этого рассмотрим, какие социотипы являются наиболее вероятными претендентами на те или иные ступеньки власти.
Неформальная роль - "лидер " (F). Настоящим лидером может стать только самый влиятельный, пользующийся всеобщим авторитетом член группы. Он представляет собой силовой центр коллектива, уверенно координирующий его движение в коммуникативном пространстве. Настоящий лидер не демонстративен, не суетлив и не эмоционален.
Далее следуют неформальные роли первого эшелона. Прежде всего, неформальная роль "двигатель группы " - (Р). Человек, который претендует на эту роль, должен быть очень работоспособным и выносливым. Он не может не работать и своим примером включает в работу других. Двигатель группы практически всегда находится в движении, не терпит лени и расхлябанности. Да он практически и не умеет отдыхать. Все его усилия направлены на поддержание рабочего ритма в группе. Несмотря на всю свою энергичность, человек, выполняющий Р-роль, не является неформальным лидером группы. Он - ее двигательный, а не силовой центр. Р-типы нередко бывают начальниками, но это скорее выражение формального, официального лидерства, чем группового.
Далее неформальная роль "эмоциональный вовлекатель" (Е). Это самый коммуникабельный и экспрессивный участник группы. Причем его стиль общения должен быть в большей степени напористым, чем успокаивающим. Одной силы авторитета и двигательного принуждения часто оказывается мало, чтобы коллектив быстро и организованно включился в работу. Очень важный участок мобилизации коллектива - это "зажигание", эмоциональный порыв.
Еще одна неформальная роль - "генератор идей" (I). Им становится только самый нестандартно мыслящий участник команды. От генератора идей требуется постоянная выдача перспективных догадок и прозрений - таких находок, открытий и предложений, на основании которых можно строить стратегию долгосрочного развития организации. Генератор идей отличается от других работников интеллектуальной смелостью и жаждой познания.
















