103009 (576400), страница 2
Текст из файла (страница 2)
На третьем этапе определяется общий объем оборотных активов предприятия на предстоящий период:
Оап=ЗСп+ЗГп+ДЗп+ДАп+Пп,
Где Оап - общий объем оборотных активов предприятия на конец периода;
ЗСп - сумма запасов сырья и материалов на конец периода;
ЗГп - сумма запасов готовой продукции на конец предстоящего периода (с включением в нее пересчитанного объема незавершенного производства);
ДЗп - сумма дебиторской задолженности на конец периода;
ДАп - сумма денежных активов на конец периода;
Пп - сумма прочих видов оборотных активов на конец периода.
4. Оптимизация соотношения постоянной и переменной частей оборотных активов. В процессе управления оборотными активами следует определять их сезонную (или иную циклическую) составляющую, которая представляет собой разницу между максимальной и минимальной потребностью в них на протяжении года.
Процесс оптимизации соотношения постоянной и переменной частей оборотных активов осуществляется по следующим стадиям:
На первой стадии по результатам анализа помесячной динамики уровня оборотных активов в днях оборота или в сумме за ряд предшествующих лет строится график их средней в разрезе месяцевгода.
В отдельных случаях он может быть конкретизирован по отдельным видам оборотных активов.
На второй стадии по результатам графика рассчитываются коэффициенты неравномерности (минимального и максимального уровней) оборотных активов по отношению к среднему их уровню.
На третьей стадии определяется сумма постоянной части оборотных активов по следующей формуле:
где ОАПОСТ - сумма постоянной части оборотных активов в предстоящем периоде;
ОА п - средняя сумма оборотных активов предприятия в рассматриваемом предстоящем периоде;
Кмин - коэффициент минимального уровня оборотных активов.
На четвертой стадии определяется максимальная и средняя сумма переменной части оборотных активов в предстоящем периоде. Эти расчеты осуществляются по следующим формулам:
где ОАмакс-максимальная сумма переменной части оборотных активов в предстоящем периоде;
п сред -средняя сумма переменной части оборотных активов в предстоящем периоде;
ОАПОСТ-сумма постоянной части оборотных активов в предстоящем периоде;
Кмакс -коэффициент максимального уровня оборотных активов;
Кмин -коэффициент минимального уровня оборотных активов.
5. Обеспечение необходимой ликвидности оборотных активов. В этих целях с учетом объема и графика предстоящего платежного оборота должна быть определена доля оборотных активов в форме денежных средств, высоко - и среднеликвидных активов.
6. Обеспечение необходимой рентабельности оборотных активов. Как и любой вид активов оборотные активы должны генерировать определенную прибыль при их использовании в операционной деятельности предприятия. Составной частью управления оборотными активами является обеспечение своевременного использования временно свободного остатка денежных активов для формирования эффективного портфеля краткосрочных финансовых инвестиций, выступающих в форме их эквивалентов.
7. Выбор форм и источников финансирования оборотных активов. Этот этап управления оборотными активами обеспечивает выбор политики их финансирования на предприятии и оптимизацию структуры его источников. В процессе управления оборотными активами на предприятии разрабатываются отдельные финансовые нормативы, которые используются для контроля эффективности их формирования и функционирования. Основными из таких нормативов являются:
-
норматив собственных оборотных активов предприятия;
-
система нормативов оборачиваемости основных видов оборотных активов и продолжительности операционного цикла в целом;
-
система коэффициентов ликвидности оборотных активов.
Цели и характер использования отдельных видов оборотных активов имеют существенные отличительные особенности. Поэтому на предприятиях с большим объемом используемых оборотных активов управление ими детализируется в разрезе основных их видов.
Некоторые особенности управления товарными запасами
Эффективное управление запасами позволяет снизить продолжительность производственного и всего операционного цикла, уменьшить уровень текущих затрат на их хранение, снизить уровень трансакционных издержек по их закупке, высвободить из текущего хозяйственного оборота часть финансовых средств, реинвестируя их в другие активы.
Управление запасами охватывает ряд последовательно выполняемых этапов работ, основными из которых являются:
1. Анализ запасов товарно-материальных ценностей в предшествующем периоде. Основной задачей этого анализа является выявление уровня обеспеченности производства и реализации продукции соответствующими запасами товарно-материальных ценностей в предшествующем периоде и оценка эффективности их использования. Анализ проводится в разрезе основных видов запасов.
На первой стадии анализа рассматриваются показатели общей суммы запасов товарно-материальных ценностей - темпы ее динамики, удельный вес в объеме оборотных активов и т.п.
На второй стадии анализа изучается структура запасов в разрезе их видов и основных групп, выявляются сезонные колебания их размеров.
На третьей стадии анализа изучается эффективность использования различных видов и групп запасов, а также их объема в целом, которая характеризуется показателями их оборачиваемости и рентабельности.
На четвертой стадии анализа изучаются объем и структура текущих затрат по обслуживанию запасов в разрезе отдельных видов этих затрат.
2 Определение целей формирования запасов. Запасы товарно-материальных ценностей могут создаваться на предприятии с разными целями:
а) обеспечение текущей производственной деятельности (текущие запасы сырья и материалов);
б) обеспечение текущей сбытовой деятельности (текущие запасы готовой продукции);
в) накопление сезонных запасов, обеспечивающих хозяйственный процесс в предстоящем периоде (сезонные запасы сырья, материалов и готовой продукции) и т.п.
3. Оптимизация размера основных групп текущих запасов. Такая оптимизация связана с разделением запасов товарно-материальных ценностей на два основных вида - производственные (запасы сырья, материалов и полуфабрикатов) и запасы готовой продукции. В разрезе каждого из этих видов выделяются запасы текущего хранения - постоянно обновляемая часть запасов, формируемых на регулярной основе и равномерно потребляемых в процессе производства продукции или ее реализации покупателям.
Для оптимизации размера текущих запасов товарно-материальных ценностей используется ряд моделей, среди которых наибольшее распространение получила Модель экономически обоснованного размера заказа.
Сумма совокупных операционных затрат по размещению заказов определяется по следующей формуле:
где ОЗрз - сумма совокупных операционных затрат по размещению заказов;
ОПП - объем производственного потребления товаров (сырья или материалов) в рассматриваемом периоде;
РПП - средний размер одной партии поставки товаров;
Срз - средняя стоимость размещения одного заказа.
Из приведенной формулы видно, что при неизменном объеме производственного потребления и средней стоимости размещения одного заказа общая сумма операционных затрат по размещению заказов минимизируется с ростом среднего размера одной партии поставки товаров.
С другой стороны, высокий размер одной партии поставки товаров вызывает соответствующий рост операционных затрат по хранению товаров на складе, так как при этом увеличивается средний размер запаса в днях оборота (период их хранения). Если закупать сырье один раз в два месяца, то средний размер его запаса (период хранения) составит 30 дней, а если размер партии поставки снизить вдвое, т.е. закупать сырье один раз в месяц, то средний размер его запаса (период хранения) составит 15 дней.
С учетом этой зависимости сумма операционных затрат по хранению запасов на складе может быть определена по следующей формуле:
где О3 хр - сумма операционных затрат по хранению запасов на складе;
РПП - средний размер одной партии поставки товаров;
Сх - стоимость хранения единицы товара в рассматриваемом периоде.
Из приведенной формулы видно, что при неизменной стоимости хранения единицы товара в рассматриваемом периоде общая сумма операционных затрат по хранению товарных запасов на складе минимизируется при снижении среднего размера одной партии поставки товаров.
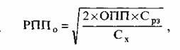
Математически Модель EOQ выражается следующей принципиальной формулой:
где РПП0-оптимальный средний размер партии поставки товаров (EOQ);
ОПП - объем производственного потребления товаров (сырья или материалов) в рассматриваемом периоде;
CРЗ -средняя стоимость размещения одного заказа;
Сх - стоимость хранения единицы товара в рассматриваемом периоде.
Соответственно оптимальный средний размер производственного запаса определяется по следующей формуле:
где П30 - оптимальный средний размер производственного запаса (сырья, материалов); РПП0 - оптимальный средний размер партии поставки товаров (EOQ).
Для запасов готовой продукции задача минимизации операционных затрат по их обслуживанию состоит в определении оптимального размера партии производимой продукции (вместо среднего размера партии поставки). Используя вместо показателя объема производственного потребления (ОПП) показатель планируемого объема производства продукции, мы на основе Модели EOQ аналогичным образом можем определить оптимальный средний размер партии производимой продукции и оптимальный средний размер запаса готовой продукции.
4. Оптимизация общей суммы запасов товарно-материальных ценностей, включаемых в состав оборотных активов. Расчет оптимальной суммы запасов каждого вида (в целом и по основным группам учитываемой их номенклатуры) осуществляется по формуле:
где Зп - оптимальная сумма запасов на конец рассматриваемого периода;
Нтх - норматив запасов текущего хранения в днях оборота; О0 - однодневный объем производства (для запасов сырья и материалов) или реализации (для запасов готовой продукции) в предстоящем периоде; Зсх - планируемая сумма запасов сезонного хранения; Зцн - планируемая сумма запасов целевого назначения других видов.
5. Обеспечение высокой оборачиваемости и эффективных форм движения запасов. Управление этими процессами осуществляется путем оптимизации материальных потоков всех видов запасов.
Оптимизация материальных потоков представляет собой процесс выбора наилучших форм их организации на предприятии с учетом условий и особенностей осуществления технологического цикла его операционной деятельности.
Основной целью оптимизации материальных потоков предприятия является обеспечение своевременной доставки различных материальных активов в необходимом количестве в нужные пункты с минимумом затрат на осуществление этого процесса.
Методологическую основу оптимизации материальных потоков составляют концепции, методы и приемы логистики.
Логистический подход к управлению движением запасов предусматривает следующую последовательность оптимизации их материальных потоков:
На первой стадии проводится исследование основных факторов, влияющих на организацию материальных потоков предприятия. К числу важнейших из этих факторов относятся:
-
объемы операционной деятельности предприятия;
-
широта ассортимента производимой продукции;
-
сложность производимой продукции по составу используемых сырьевых материальных ингредиентов;
-
число технологических структурных подразделений предприятия, обеспечивающих осуществление операционного процесса;
-
характер используемой технологии производства продукции;
-
продолжительность производственного цикла;
-
частота поставки сырья и материалов на предприятие;
-
интенсивность спроса на производимую продукцию;
-
уровень развития складского хозяйства предприятия (число складов, их емкость, их соответствие технологическим требованиям хранения грузов);
-
уровень технической оснащенности предприятия машинами и механизмами по транспортированию и внутреннему перемещению грузов, осуществлению погрузо-разгрузочных работ и т.п.
На второй стадии интегрируются различные виды материальных потоков, характеризующих движение запасов. Процесс такой интеграции заключается в преобразовании различных видов материальных оборотных активов в единые грузовые единицы, подлежащие транспортированию, погрузо-разгрузочным работам и хранению как единого материального объекта. Основными параметрами, характеризующими грузовую единицу в процессе интеграции материальных потоков, являются ее способность к сохранению целостности в процессе движения и осуществления различных логистических операций, а также ее размеры.
Формирование грузовых единиц в процессе интеграции материальных потоков позволяет обеспечивать эффективное их прохождение по всем звеньям логистической цепи как единое целое.
На третьей стадии осуществляется оптимизация логистической цепи материальных потоков предприятия. Этот этап оптимизации предусматривает осуществление следующих логистических операций:
-
выравнивание материальных потоков и обеспечение их однонаправленности. В процессе этой операции исключаются встречные и возвратные передвижения грузов одного вида;
-
минимизация количества пунктов перегрузки. Сокращение пунктов перегрузки обеспечивает экономию трудовых и материальных затрат и снижение продолжительности материальных потоков в рамках одного технологического цикла;
-
оптимизация расстояния между смежными пунктами перегрузки. Эта операция осуществляется параллельно с минимизацией количества пунктов перегрузки и также направлена на ускорение материальных потоков;
-
создание необходимых резервов пропускной способности в каждом из звеньев логистической цепи. Эти резервы призваны обеспечивать бесперебойный материальный поток в условиях возможной его неравномерности, а также при наращении (до определенных пределов) объемов операционной деятельности предприятия;
-
обеспечение возможностей механизации и автоматизации отдельных процессов в системе логистической цепи;
-
обеспечение гибкости построения звеньев логистической цепи. В процессе оптимизации логистической цепи следует учитывать возможность ее адаптации к изменениям условий операционной деятельности предприятия в предстоящем периоде.
Разработанная логистическая цепь материальных потоков является одним из основных документов, обеспечивающих их рационализацию
На четвертой стадии обеспечивается сбалансированность объемов отдельных видов материальных потоков. Такая сбалансированность осуществляется на выходе-входе каждого из видов материальных потоков предприятия.
На пятой стадии осуществляется синхронизация отдельных видов материальных потоков во времени. Эта стадия оптимизации материальных потоков запасов предприятия является наиболее ответственной и сложной. Процесс такой синхронизации основывается на календарных циклах технологических операций производства и реализации подукции. Методология синхронизации отдельных видов материальных потоков предприятия базируется на двух альтернативных логистических концепциях.















