101889 (576168), страница 3
Текст из файла (страница 3)
Комбинированная структура
Этот тип структуры подразделяется на две категории: (1) структуры с переходом многоканального обслуживания в одноканальное и (2) структуры альтернативного пути. В первом случае разные очереди сливаются в одну для последующего однофазового обслуживания (как, например, при переходе через мост, когда две очереди объединяются в одну) либо они сливаются в одну очередь для многофазового обслуживания (например, когда комплектующие,поступающие с разных линий по сборке подузлов, поступают на основную сборочную линию). Во втором случае также возникают два варианта, отличающихся требованиями, предъявляемыми к упорядочению потока. Первый вариант напоминает многофазовую многоканальную структуру, но с возможностью перемещения клиентов из одного канала в другой после завершения первой обслуживающей операции. Во втором варианте количество фаз и каналов может варьироваться, но также после выполнения первой обслуживающей операции.
Выход из системы
После обслуживания клиента существует два сценария его выхода из системы: он может вернуться в исходную генеральную совокупность и сразу стать вероятным кандидатом на следующее такое же обслуживание; клиент не возвращается вообще либо вероятность повторного обслуживания его в данной системе очень мала. Для иллюстрации первой ситуации вспомним о станке, который только что отремонтировали после поломки и опять ввели в эксплуатацию, но в любой момент он может поломаться снова. Примером второй ситуации служит станок, который прошел капитальный ремонт или модернизирован и существует небольшая вероятность, что ему в ближайшем будущем снова понадобится такой же капитальный ремонт. Если говорить несерьезно, то первый случай можно назвать "рецидивным насморком", а второй "единовременной аппендэктомией". Очевидно, что если исходная генеральная совокупность является конечной, то любое поступление клиента (заявки) на обслуживание и последующий возврат его в исходную генеральную совокупность влечет за собой изменение параметров интенсивности входящего в сервисную систему потока. Это, разумеется, приводит к изменению характеристик анализируемой очереди и вызывает необходимость их уточнения.
Модели очередей
В этом разделе приведены примеры четырех типов задач анализа очередей с решениями. Все они имеют разную структуру (табл. 5.1), и для их решения применяются разные уравнения (табл. 5.2). Существуют и другие типы моделей, кроме этих четырех, но формулы для их решения слишком сложны, такие задачи обычно решаются с помощью компьютерного моделирования . Кроме того, при использовании представленных здесь формул следует помнить, что они получены при допущении, что анализируемый процесс в данный момент является устойчивым и неизменным. Следовательно, применение их к процессам, в которых интенсивности входящего потока и обслуживания изменяются во времени, может привести к неточным результатам. Далее вашему вниманию представлено краткое описание четырех задач, иллюстрирующих четыре основные модели очередей, характеристики которых перечислены в табл. 5.1 и 5.2. В табл. 5.3 представлена система обозначений, использованных в табл. 5.2.
Задача 1. Количество клиентов в очереди. Руководство банка хочет узнать, сколько клиентов ожидает в очереди к банковскому клерку, обслуживающему автомобилистов прямо в автомобилях; сколько времени им приходится ждать; насколько загружен клерк и какой должна быть интенсивность обслуживания, чтобы 95% времени в системе находилось не больше трех автомобилей.
Задача 2. Выбор оборудования. Франчайзинговое предприятие Robot Car Wash, специализирующееся на мойке автомобилей, должно решить, какое из трех доступных типов оборудования ему следует закупить. Более производительное оборудование стоит дороже, но быстрее обслуживает клиентов. Для принятия решения издержки следует сопоставить с доходам.
Задача 3. Определение необходимого количества каналов обслуживания. Агентству по ремонту автомобилей предстоит принять решение, сколько клерков необходимо нанять для работы с клиентами в офисе. Увеличение числа клерков влечет рост затрат на их содержание, но при этомодновременно возникает экономия вследствие уменьшения простоев механиков.
Задача 4. Конечная генеральная совокупность. Во всех предыдущих задачах рассматриваются ситуации с бесконечными генеральными совокупностями, а при решении задач с конечными очередями используются иные уравнения и формулы. Данная задача заключается в следующем: на фабрике всего четыре ткацких станка, которых в процессе эксплуатации должны обслуживать механики. Необходимо решить, сколько механиков следует нанять на работу с учетом затрат, связанных с простоями станков и затратами на оплату труда механиков.
Для очередей с одним каналом обслуживания этот показатель эквивалентен коэффициенту загрузки.
Пример 5д.1. Количество клиентов в очереди
Банк Western National Bank рассматривает возможность открытия пункта обслуживания клиентов в автомобилях.
Управленческий персонал оценил, что клиенты будут прибывать с интенсивностью 15 автомобилей в час. Клерк, назначенный на эту работу, может обслуживать их со скоростью один автомобиль в каждые три минуты.
Часть 1. Исходя из распределения Пуассона входящих заявок и экспоненциального распределения времени обслуживания, определите следующие значения.
1. Загрузка клерка.
2. Среднее количество клиентов, ожидающих в очереди.
3. Среднее количество клиентов в системе.
4. Среднее время ожидания в очереди.
5. Среднее время ожидания в системе, включая время обслуживания.
Решение.
Часть 1
-
Средняя загрузка клерка будет
2. Среднее количество клиентов, ожидающих в очереди
3. Среднее количество клиентов в системе
4. Среднее время ожидания в очереди
5. Среднее время ожидания в системе
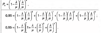
Часть 2. Из-за ограниченности площади, стремясь обеспечить приемлемый уровень обслуживания, банковский менеджер хочет добиться 95%-ной гарантии того, что очередь в системе не будет превышать трех автомобилей. Какая интенсивность обслуживания соответствует данному пределу? Какой уровень загрузки клерка следует обеспечить и какая должна быть интенсивность обслуживания этого служащего, чтобы добиться 95%-ного уровня обслуживания?
Решение. Часть 2
Текущий уровень обслуживания для трех или меньше автомобилей представляет собой вероятность того, что в системе находится 1, 2 или 3 машины. Выбираем из табл. 5.2 для модели 1 расчетную формулу
Это уравнение можно решить методом проб и ошибок, путем подстановки разных значений для λ/μ. Так, при λ/μ = 0,50 получаем 0,5(1+0,5+ 0,25 + 0,125) = 0,9375, т.е. меньше заданного значения 0,95. При λ/μ = 0,45 получим (1 - 0,45)(1 + 0,45 + 0,203 + 0,091) = = 0,96, т.е. больше заданного значения 0,95. При λ/μ = 0,47 находим (1 - 0,47)(1 + 0,47 + 0,221 + 0,104) = = 0,9512, что приблизительно равно 0,95.
Таким образом, именно при загрузке с = λ/μ = 47% вероятность образования в системе очереди, состоящей из трех и меньше машин, составляет 95%.
Чтобы узнать, какая интенсивность обслуживания необходима для достижения этого 95%-ного уровня обслуживания, следует просто решить уравнение λ/μ = 0,47, где λ= 15--- интенсивность прибывающих в течение часа клиентов. Это дает значение μ = 32 в час. Таким образом, чтобы иметь 95%-ную уверенность в том, что в системе не будет находиться больше трех автомобилей, банковский клерк должен обслуживать по 32 человека в час (заметьте, что для этого необходимо 60%-ное повышение скорости обслуживания по сравнению с имеющейся, равной всего 20 человек в час). Обслуживание можно ускорить, изменив методы предоставления услуг, добавив еще одного клерка либо ограничив количество банковских операций, доступных в системе обслуживания водителей в автомобилях. Обратите внимание также на то, что при условии 95%-ной уверенности в том, что в системе не будет собираться больше трех автомобилей, клерк будет простаивать 53% времени. Пример 5д.2. Выбор оборудования Компания Robot на франчайзинговой основе предоставляет для эксплуатации комбинированные автозаправочно-автомоечные станции в разных точках США. Если клиент заправляется, его автомобиль моют бесплатно; если же он хочет только вымыть машину, с него взимается плата 0,50 доллара. Прошлый опыт работы показал, что на станцию приезжает практически равное количество тех водителей, которые хотят только вымыть машину, и тех, которые хотят прежде заправить ее. Средняя прибыль от заправки составляет 70 долларов, а стоимость мойки одной машины для компании--- 0,10 доллара. Компания Robot работает по 14 часов в день. Компания Robot предоставляет фирмам, получившим право на эксплуатацию станции, на выбор три типа заправочных блоков и моечных устройств, из которых нужно выбрать один. Оборудование первого типа может мыть по одной машине каждые пять минут и за его аренду необходимо платить 12 долл. в день. Оборудование второго типа несколько мощнее, оно способно работать с интенсивностью один автомобиль за каждые четыре минуты, но стоит оно уже 16 долл. в день. Аренда самого мощного оборудования третьего типа составляет 22 долл. в день, но оно может вымыть машину всего за три минуты. По оценке фирмы, клиенты не намерены ожидать в очереди на мойку машины больше пяти минут. Более длительное время ожидания приведет к потере компанией Robot объемов продаж бензина и прибыли
от мытья машин. Учитывая, что по предварительным оценкам входящий поток клиентов на мытье автомобиля составляет 10 единиц в час, определите, какое моечное оборудование следует выбрать компании.
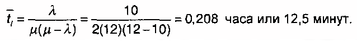
Решение.При условии, что будет выбрано оборудование 1-го типа, вычислим среднее время ожидания клиентов в очереди на мойку (для оборудования 1-го типа μ = 12 в час). Воспользовавшись уравнениями для модели 2
Показатель м для оборудования 2-го типа равен 15, следовательно
Если единственным критерием является время, которое клиентам приходится проводить в очереди, то компании следует приобрести оборудование 2-го типа. Однако, прежде чем принять окончательное решение, необходимо определить, как отличаются показатели прибыльности обоих видов оборудования. Если приобрести оборудование 1-го типа, то, несомненно, вследствие длительного времени ожидания (12,5 минут) некоторые клиенты не станут в очередь либо сначала станут, но вскоре покинут ее. Кроме
того, хоть это и значительно затрудняет математический анализ, мы можем получить приблизительную оценку потерянных объемов продаж при использовании оборудования 1-го типа. Для этого мы изменим время ожидания на 5 минут
или 0,12 часа (среднее время, которое готовы ожидать клиенты) и решим
уравнение для λ. Это даст нам показатель интенсивности входящего потока клиентов:
Таким образом, поскольку первоначальный показатель л составлял 10 клиентов в час, то по предварительным расчетам .Таким образом, поскольку первоначальный показатель л составлял 10 клиентов в час, то по предварительным расчетам получается, что фирма будет терять 2 клиента в час. При этом не полученная компанией прибыль составит:
2 клиента в час х 14 часов х 0,2 (прибыль 0,70 долл. за заправку + прибыль 0,40 долл. за мойку) = 15,40 долл. в день. Таким образом, поскольку дополнительные затраты на приобретение оборудования 2-го типа по сравнению с оборудованием 1-го типа составляют всего 4 долл. в день, потеря 15,40 долл. в день несомненно указывает на то, что приобретать следует оборудование 2-го типа. Кроме того, данное оборудование удовлетворяет исходному требованию относительно предельного времени ожидания, которое составляет 5 минут. Вариант же приобретения оборудования 3-го типа не рассматривается вообще, во всяком случае до того, пока специалисты не спрогнозируют увеличение входящего потока.
Пример 5д.З. Определение количества каналов обслуживания
В автосервисном отделе компании Glenn-Mark Auto Agency механики, которым понадобились запасные части для ремонта и технического обслуживания автомобилей, предоставляют бланки-заявки в отдел запасных частей. Клерк отдела заполняет эти заявки в присутствии механика. Механики приходят произвольно (распределение Пуассона), со средней интенсивностью 40 человек в час; клерк способен заполнить 20 заявок в час (экспоненциальное распределение). Если стоимость труда клерка составляет 6 долл. в час, а стоимость труда механика--- 12 долл. в час, определите оптимальное количество клерков для обслуживания механиков. (Поскольку интенсивность входящего потока велика, можно исходить из предположения, что источник бесконечный.)














