100167 (575845), страница 4
Текст из файла (страница 4)
5. Выбор дисконтной ставки в процессе приведения отдельных показателей к настоящей стоимости должен быть дифференцирован для различных инвестиционных проектов. В процессе такой дифференциации должны быть учтены уровень риска, ликвидности и другие индивидуальные характеристики реального инвестиционного проекта.
С учетом вышеизложенных принципов рассмотрим методы оценки эффективности реальных инвестиционных проектов на основе различных показателей. Система этих показателей приведена на рис. 2.1.
Рисунок 2.1 - Система основных показателей, используемых в процессе оценки эффективности реальных инвестиционных проектов.
Выше изложена система всех основных показателей, используемых в практике инвестиционного менеджмента для оценки эффективности реальных инвестиционных проектов. Вместе с тем, в зависимости от метода учета фактора времени в осуществлении инвестиционных затрат и получении возвратного инвестиционного потока все рассмотренные показатели подразделяются на две основные группы — дисконтные и статические (бухгалтерские).
Показатели оценки эффективности реальных инвестиционных проектов, основанные на дисконтных методах расчета предусматривают обязательное дисконтирование инвестиционных затрат и доходов по отдельным интервалам рассматриваемого периода. В то же время показатели оценки, основанные на статических (бухгалтерских) методах расчета, предусматривают использование в расчетах бухгалтерских данных об инвестиционных затратах и доходах без их дисконтирования во времени. Распределение рассмотренной системы показателей оценки эффективности реальных инвестиционных проектов по этому признаку приведено на рис. 2.2.
Рисунок 2.2 - Группировка основных показателей оценки эффективности реальных инвестиционных проектов по используемым методам расчета.
В современной инвестиционной практике показатели оценки эффективности реальных проектов, основанные на использовании дисконтных методов расчета, являются преобладающими. Они обязательно должны рассчитываться по всем средним и крупным реальным инвестиционным проектам, реализация которых носит долгосрочный характер. Показатели, основанные на использовании статических методов расчета, применяются, как правило, для оценки эффективности небольших краткосрочных реальных инвестиционных проектов.
Рассмотрим более подробно методику расчета и условия использования основных показателей оценки эффективности реальных инвестиционных проектов.
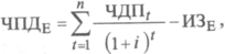
1. Чистый приведенный доход [net present value, NPV] позволяет получить наиболее обобщенную характеристику результата инвестирования, т.е. его конечный эффект в абсолютной сумме. Под чистым приведенным доходом понимается разница между приведенными к настоящей стоимости суммой чистого денежного потока за период эксплуатации инвестиционного проекта и суммой инвестиционных затрат на его реализацию. Расчет этого показателя при единовременном осуществлении инвестиционных затрат осуществляется по формуле:
где ЧПДЕ — сумма чистого приведенного дохода по инвестиционному проекту при единовременном осуществлении инвестиционных затрат;
ЧПДt — сумма чистого денежного потока по отдельным интервалам общего периода эксплуатации инвестиционного проекта (если полный период эксплуатации инвестиционного проекта определить сложно, его принимают в расчетах в размере 5 лет);
изе — сумма единовременных инвестиционных затрат на реализацию инвестиционного проекта;
i — используемая дисконтная ставка, выраженная десятичной дробью;
n — число интервалов в общем расчетном пери оде t.
Если инвестиционные затраты, связанные с предстоящей реализацией инвестиционного проекта, осуществляются в несколько этапов, расчет показателя чистого приведенного дохода производится по следующей формуле:
где ЧПДМ — сумма чистого приведенного дохода по инвестиционному проекту при многократном осуществлении инвестиционных затрат;
ЧПДt — сумма чистого денежного потока по отдельным интервалам общего периода эксплуатации инвестиционного проекта;
ИЗt — сумма инвестиционных затрат по отдельным интервалам общего периода реализации инвестиционного проекта; i — используемая дисконтная ставка, выраженная десятичной дробью;
n — число интервалов в общем расчетном пери оде t.
Независимый инвестиционный проект, по которому показатель чистого приведенного дохода является отрицательной величиной или равен нулю, должен быть отвергнут, так как он не принесет предприятию дополнительный доход на вложенный капитал. Независимые инвестиционные проекты с положительным значением показателя чистого приведенного дохода позволяют увеличить капитал пред приятия и его рыночную стоимость. Из системы взаимоисключающих инвестиционных проектов принимается тот из них, по которому значение показателя чистого приведенного дохода является наивысшим.
2. Индекс (коэффициент) доходности также позволяет соотнести объем инвестиционных затрат с предстоящим чистым денежным потоком по проекту. Расчет такого показателя при единовременных инвестиционных затратах по реальному проекту осуществляется по следующей формуле:
где ИДЕ — индекс (коэффициент) доходности по инвестиционному проекту при единовременном осуществлении инвестиционных затрат;
ЧДПt — сумма чистого денежного потока по отдельным интервалам общего периода эксплуатации инвестиционного проекта;
изе — сумма единовременных инвестиционных затрат на реализацию инвестиционного проекта;
i — используемая дисконтная ставка, выраженная десятичной дробью;
п — число интервалов в общем расчетном периоде t.
Если инвестиционные затраты, связанные с предстоящей реализацией инвестиционного проекта, осуществляются в несколько этапов, расчет индекса (коэффициента) доходности производится по следующей формуле:
где ИДМ — индекс (коэффициент) доходности по инвестиционному проекту при многократном осуществлении инвестиционных затрат;
ЧДПt — сумма чистого денежного потока по отдельным интервалам общего периода эксплуатации инвестиционного проекта;
ИЗt— сумма инвестиционных затрат по отдельным интервалам общего эксплуатационного периода;
i — используемая дисконтная ставка, выраженная десятичной дробью;
n — число интервалов в общем расчетном периоде t.
Показатель "индекс доходности" также может быть использован не только для сравнительной оценки, но и в качестве критериального при принятии инвестиционного решения о возможностях реализации проекта. Если значение индекса доходности меньше единицы или равно ей, независимый инвестиционный проект должен быть отвергнут в связи с тем, что он не принесет дополнительный доход на инвестированные средства. По взаимоисключающим инвестиционным проектам по этому критерию выбирается тот из них, по которому индекс доходности является наивысшим.
3. Индекс (коэффициент) рентабельности в процессе оценки эффективности инвестиционного проекта может играть лишь вспомогательную роль, так как не позволяет в полной мере оценить весь возвратный инвестиционный поток по проекту (значительную часть этот потока составляют амортизационные отчисления) и не соизмеряет анализируемые показатели во времени. Расчет этого показателя осуществляется по формуле:
где ИРИ —индекс рентабельности по инвестиционному проекту;
ЧПИ — среднегодовая сумма чистой инвестиционной прибыли за период эксплуатации проекта;
ИЗ — сумма инвестиционных затрат на реализацию инвестиционного проекта.
Показатель "индекс рентабельности" позволяет вычленить в совокупном чистом денежном потоке важнейшую его составляющую — сумму инвестиционной прибыли. Кроме того, он позволяет осуществить сравнительную оценку уровня рентабельности инвестиционной и операционной деятельности (если инвестиционные ресурсы сформированы за счет собственных и заемных средств, индекс рентабельности инвестиций сравнивается с коэффициентом рентабельности активов; если же инвестиционные ресурсы сформированы исключительно за счет собственных финансовых средств, то базой сравнения выступает коэффициент рентабельности собственного капитала). Результаты сравнения позволяют определить: дает ли возможность реализация инвестиционного проекта повысить общий уровень эффективности операционной деятельности предприятия в предстоящем периоде или снизит его, что также является одним из критериев принятия инвестиционного решения.
4. Период окупаемости является одним из наиболее распространенных и понятных показателей оценки эффективности инвестиционного проекта. Расчет этого показателя может быть произведен двумя методами - статичным (бухгалтерским) и дисконтным.
Недисконтированный показатель периода окупаемости, определяемый статичным методом, рассчитывается по следующей формуле:
где ПОН —недисконтированный период окупаемости инвестиционных затрат по проекту;
ИЗ — сумма инвестиционных затрат на реализацию проекта;
ЧДПГ —среднегодовая сумма чистого денежного потока за период эксплуатации проекта (при краткосрочных реальных вложениях этот показатель рассчитывается как среднемесячный).
Соответственно дисконтированный показатель периода окупаемости определяется по следующей формуле:
где ПОД —дисконтированный период окупаемости единовременных инвестиционных затрат по проекту;
ИЗЕ — сумма единовременных инвестиционных затрат на реализацию инвестиционного проекта;
ЧДПt —сумма чистого денежного потока по отдельным интервалам общего периода эксплуатации инвестиционного проекта;
i — используемая дисконтная ставка, выраженная десятичной дробью;
n —число интервалов (лет, месяцев) в общем расчетном периоде t;
t — общий расчетный период эксплуатации проекта (лет, месяцев).
Показатель "периода окупаемости" используется обычно для сравнительной оценки эффективности проектов, но может быть принят и как критериальный (и этом случае инвестиционные проекты с более высоким периодом окупаемости будут предприятием отвергаться) Основным недостатком этого показателя является то, что он не учитывает те чистые денежные потоки, которые формируются после периода окупаемости инвестиционных затрат (см. рис. 2.3). Так, по инвестиционным проектам с длительным сроком эксплуатации после периода их окупаемости может быть получена гораздо большая сумма чистого денежного потока, чем по инвестиционным проектам с коротким сроком эксплуатации (при аналогичном и даже более быстром периоде окупаемости последних).
















