85874 (574934), страница 2
Текст из файла (страница 2)
А2 – билет оказался с мелким выигрышем;
А3 – билет оказался без выигрыша.
| Р14(5,4,5) = | 14! | х (0,25)5 х (0,35)4 х (0,4)5 = | 6х7х8х9х10х11х12х13х14 | х |
| 5! 4! 5! | 2х3х4х2х3х4х5 |
х 0,0009765 х 0,015 х 0,01024 = 2 х 7 х 9 х 11 х 13 х 14 х 0,0009765 х 0,015 х
х 0,01024 0,0378.
Ответ: Р 0,0378 .
Задача 19
Вероятность «сбоя» в работе телефонной станции при каждом вызове равна р. Поступило п вызовов. Определить вероятность m «сбоев».
Исходные данные: m = 9; N = 500; p = 0,01.
Решение задачи
q = 1 – p = 1 – 0,01 = 0,99 .
Так как n – большое число (n = N = 500), а npq 5, т.е. npq < 9 , то применяем формулы Пуассона:
| Рn(m) | am | e-a , a = np . |
| m! |
Подсчет вручную дает следующие результаты:
| Рn(m) | 59 | х | 1 | 58 | х | 1 | ||
| 2х3х4х5х6х7х8х9 | е5 | 2х3х4х6х7х8х9 | 2,75 |
| 390625 | 390625 | 0,03751 . | ||||
| 72576 х 143,5 | 10 413 862 |
Но, при известных а = 5 и m = 9 результат формулы Пуассона следует брать из таблицы III, где
Рn(m) 0,03627 .
Ответ: Рn(m) 0,03627 .
Задача 20
Вероятность наступления некоторого события в каждом из n независимых испытаний равна р. Определить вероятность того, что число т наступлений события удовлетворяет следующему неравенству.
Варианты 22—31:
Исходные данные: n = 100; P = 0,3; k1 = - ; k2 = 40.
Решение задачи
Вероятность Рn(m) того, что в результате этих n опытов событие А произойдет m раз (наступит m успехов), определяется по формуле Бернулли:
Pn(m) = Cnmpmqn-m, m = 0,1,2,…,n (1)
где q = 1 – p – вероятность наступления противоположного события А при единичном испытании.
Совокупность чисел, определяемых формулой (1), называется биномиальным распределением вероятностей.
При больших значениях п (порядка десятков, сотен) для биномиального распределения применяют следующие приближенные формулы:
(2)
где:
(3)
где:
(4)
(5)
(6)
Формула (2) основана на локальной теореме Муавра—Лапласа, (3) — на интегральной теореме Муавра—Лапласа, (5) и (6) — на формуле Пуассона. Асимптотику Муавра—Лапласа [формулы (2) и (3)] рекомендуется применять в случае, когда npq>9. В противном случае более точные результаты дает асимптотика Пуассона [формулы (5) и (6)].
З а м е ч а н и е 1. Приближенная формула (3) остается в силе и в том случае, когда входящие в нее неравенства являются строгими.
З а м е ч а н и е 2. Вычисления по формулам (2), (3), (5), (6) выполняются с использованием таблиц I—IV соответственно (см. приложение).
В данной задаче n = 100, т.е. n – число большое.
npq = 21, следовательно npq > 9.
При этом q = 1 – p = 0,7 ;np = 30 .
Наши рассуждения приводят к тому, что данную задачу следует решать с помощью формул Муавра-Лапласа, а именно с помощью формулы (3).
Тогда:
| k2 – np | 40 – 30 | 10 | 2,18 . | ||||
| npq | 4,58 | 4,58 |
| k1 – np | 0 – 30 | -30 | - 6,55 . | ||||
| npq | 4,58 | 4,58 |
Pn(m k2) Ф(х2) – Ф(х1) Ф(2,18) – Ф(- 6,55) Ф(2,18) + Ф(6,55)
0,48537 + 0,5 0,98537 .
Ответ: Pn(m 40) 0,98537 .
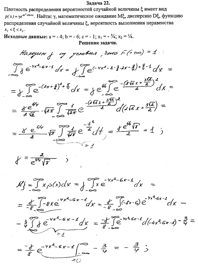
Задача 21
Дана плотность распределения р (х) случайной величины . Найти параметр , математическое ожидание М дисперсию D, функцию распределения случайной величины вероятность выполнения неравенства х1 < < х2
Варианты 17-24:
Исходные данные: a = -1,5; b = 1; x1 = -1; x2 = 1.
Решение.
Р(х) = | | , х [-1,5, 1], |
| 0, x [-1,5, 1]. |
Найдем . Должно выполняться соотношение:F(+) = 1;
| p(x)dx = 1; | dx = 1; | x | 1 | = 1; | *(1+1,5) = 1; | = | 1 | =2/5 . | |
| -1,5 | 2,5 | ||||||||
| - | -1,5 |
| 1 | |||||||
| Найдем: М = | х 2/5 dx = | 2 х2 | 1 | = | 1/5 (1-2,25) = | -1,25 | = -0,25 . |
| 5 2 | -1,5 | 5 | |||||
| -1,5 |
| 1 | ||||
| Найдем: D = М2 – (М)2 = | 2/5 x2 dx – 0,0625 = 2/5 | x3 | 1 | - 0,0625 = |
| 3 | -1,5 | |||
| -1,5 |
= 2/5 (1/3 + 3,375/3) – 0,0625 = 0,4 * 1,4583 – 0,0625 = 0,5833 – 0,0625 = 0,5208 .
| 0 , | x < -1,5; | ||||||||||
| x | x | ||||||||||
| Найдем: F (x)= | p(х) dx = | dt , | -1,5 x < 1; | ||||||||
| - | -1,5 | ||||||||||
| 1 , | x 1 . | ||||||||||
| x | x | ||||||||||
| dt = | t | = | x + 1,5 = | 2/5x + 0,6 . | |||||||
| -1,5 | -1,5 | ||||||||||
Найдем: P{-1<<1} = F (1) - F (-1) = 1 – (-2/5 + 0,6) = 7/5 – 3/5 = 4/5 .
Ответы: 1) = 2/5; 2) М = - 0,25; 3) D = 0,5208; 4) F (x) = 0,4x + 0,6; 5) P{-1<<1} = 4/5.
Список использованной литературы
-
Феллер В. Введение в теорию вероятностей и ее приложения. В 2-х томах. Т.1: Пер.с англ. - М.: Мир, 1994. – 528 с.
-
Вентцель Е.С. Теория вероятностей: Учеб.для вузов. – 6-е изд.стер. – М.: Высш.шк., 1999. – 576 с.
-
Сборник задач по теории вероятностей, математической статистике и теории случайных функций. Под редакцией А.А. Свешникова. – М.: Наука, 1998. – 656 с.
-
Лютикас В.С. Факультативный курс по математике: Теория вероятностей. – М.: Просвещение, 1998. – 160 с.















