83644 (574786), страница 2
Текст из файла (страница 2)
Особенности: - точное взвешивание
- надежная конструкция
- питание от аккумуляторной батареи или от сети электроснабжения
- большая грузоприемная платформа
- функция расчета сдачи
- функция суммирования стоимости покупок
- удобство в эксплуатации
- рабочий температурный диапазон: от -10 до +40°С.
Сферы применения:
- выездная торговля
- рынки
- магазины
- могут использоваться в качестве контрольных весов
| Особенности | Преимущества |
| Электронные весы с большой грузоприемной платформой | Широкая область применения |
| Светодиодный индикатор с регулируемым уровнем яркости | Снижает утомляемость оператора, повышает производительность и точность работы |
| Режим пониженного энергопотребления | Экономичность в процессе эксплуатации |
| Аккумуляторная батарея в комплекте | Возможность работы в автономном режиме |
| Герметичная кнопочная клавиатура | Облегчает работу с весами независимо от опыта и квалификации оператора, высокая надежность и ремонтопригодность |
| Отличные метрологические характеристики | Высокая точность и стабильность взвешивания |
| Высокая надежность | Длительный срок эксплуатации |
2. Элементы складской площади и методы ее расчета
Коэффициент полезно используемой площади Кs равен отношению площади, занятой под складирование (под технологическое оборудование), - Sгр, к общей площади склада – Sос;
Аналогично определяют коэффициент полезно используемого объема КV:
где Vос – общий складской объем, м3; Vгр – складской объем, занимаемый оборудованием, на котором хранится груз, м3; hос – высота складского помещения, м3; hскл – используемая высота складского помещения под хранение груза, м. Экономическим критерием при оценке вариантов систем складирования может быть показатель общих затрат (в рублях на 1 т товара), рассчитанный как сумма единовременных и текущих затрат:
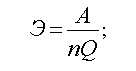
где Э – текущие затраты, руб./т; К – единовременные затраты, руб./т; 0,29 – коэффициент эффективности капитальных вложений.
Текущие затраты (издержки производства и обращения в рублях на 1 т товара) исчисляются по формуле:
где А – затраты, связанные с амортизацией, эксплуатацией и ремонтом оборудования склада, руб.; n – оборачиваемость товара (365 дней : t3); здесь t3 – средняя продолжительность срока хранения товара на складе, т.е. товарный запас в днях; Q – вес товара, размещенного на оборудовании склада, т.
Единовременные затраты (в рублях на 1 т товара) определяются следующим образом:
где СТ – стоимость оборудования, размещенного на данном складе.
При альтернативном выборе системы складирования на основе применяемого при этом оборудовании оптимальным является вариант с максимальным значением показателя эффективности использования складского объема при минимальных затратах. Осуществляя выбор систем складирования на практике, необходимо помнить, что в одном складском помещении возможно сочетание различных вариантов в зависимости от перерабатываемого груза.
3. Склады металлов
По назначению склады промышленных предприятий подразделяются следующим образом: склады материально-технического обеспечения (сырья, материалов, комплектующих); склады готовой продукции; производственно-технологические склады (незавершенного производства, тары, инструмента, остатков и отходов).
Складирование сырья, материалов и готовой продукции необходимо в связи с колебаниями циклов производства, транспортировок и потребления. Склады разных типов могут создаваться в начале, середине и конце транспортных грузопотоков или производственных процессов для временного накапливания грузов и своевременного снабжения производства материалами в нужных количествах. Временное складирование (накапливание) готовой продукции обусловлено характером производства, транспорта и сбыта. Оно позволяет преодолеть временные, пространственные, количественные и качественные несоответствия между наличием и потребностью в процессе производства и реализации продукции.
Структура складских хозяйств разных предприятий зависит от специфики производственного процесса, типа производства и объема выпуска продукции, хотя их общей особенностью является то, что склады промышленных предприятий характеризуются относительной однородностью перерабатываемых грузов, ритмичностью поставок потребителю и большими объемами хранения и переработки.
В настоящее время общепринятой является следующая классификация складов промышленных предприятий: – по характеру деятельности, т. е. по назначению – склады материальной продукции (снабженческие), внутрипроизводственные (межцеховые и внутрицеховые), сбытовые; – по виду и характеру хранимых материалов – универсальные и специализированные; – по типу конструкции – закрытые, полузакрытые, открытые, специальные (например, бункерные сооружения, резервуары); – по месту расположения и масштабу действия – центральные, участковые, прицеховые; – по степени огнестойкости – несгораемые, трудносгораемые, сгораемые. Складское хозяйство решает следующие задачи: – планирование транспортно-складских работ; – приемку, обработку (в том числе сортировку) грузов; – организацию надлежащего хранения (создание условий для исключения повреждений и порчи; поддержание необходимой температуры, влажности);
– постоянный контроль и учет движения материальных ценностей; – своевременное обеспечение производственного процесса материалами, комплектующими изделиями и т. д.; создание условий, предотвращающих хищение материальных ценностей; – строгое соблюдение противопожарных мер безопасности (особенно на складах ГСМ, легковоспламеняющихся жидкостей и газов, красок и лаков, резинотехнических изделий, химикатов и т. п.); – комплектование готовой продукции, ее консервацию, упаковку, подготовку отгрузочной документации и отгрузку.
Склады металлов разнообразны как по хранимым и перерабатываемым на них материалам (черные и цветные металлы), так и по физическим характеристикам грузов (черный прокат сортовой, тонко- и толстолистовой, чушки, проволока в бухтах, метизы и так далее), а также — по типу, назначению, строительной части (открытые, закрытые отапливаемые, неотапливаемые склады) и так далее.
Склады металлопроката для механизации перегрузочных и складских работ оснащаются специализированным оборудованием, параметры и конструкции которого соответствуют особенностям характеристик этих грузов. К таким особенностям металлопроката относятся: большая длина (до 9—12 м); малые размеры в поперечном сечении (40—50 мм); большая масса груза (масса пакетов или связок до 10 т); необходимость в ряде случаев выдачи металлопроката отдельными прутками или листами из пачек и связок и так далее.
Основные виды оборудования, необходимого для механизированной переработки на складах металла: складская тара (поддоны-лотки), стеллажи, штабелирующее оборудование, напольные средства перемещения металлопроката, грузозахватные приспособления для кранов и других грузоподъемных машин, оборудование для взвешивания, обвязки и развязки пачек и связок металла, торцевания и так далее.
Для переработки металлопроката россыпью на складах применяется специальная тара — поддоны-лотки, которые позволяют перемещать металлопрокат укрупненными грузовыми единицами и в то же время обеспечивают при необходимости возможность поштучной выдачи металлопроката отдельными прутками. Применяют лотки трех типов: неразрезные решетчатой конструкции, разрезные из листового металла и комбинированные. Расход металла на один решетчатый лоток грузоподъемностью 5т — 200-- 250 кг, на 1 лоток из листа — 350—400 кг. Лотки из листа могут перемещаться по роликовым конвейерам, а решетчатые — только кранами или на тележках (поскольку они имеют в нижней части ножки).
Основные требования к стеллажному оборудованию для металла — такие же, как и для стеллажей для грузов других типов: наиболее полное использование объемов складских помещений; возможность выдачи любого груза без перемещения грузов других наименований; минимальный расход металла на изготовление и так далее.
Спецоборудование для складов
Стоечные и елочные стеллажи обслуживаются стреловыми и козловыми кранами (на открытых складских площадках) и мостовыми кранами (в закрытых складах и на открытых площадках). Консольные стеллажи обслуживаются автопогрузчиками, мостовыми и стеллажными кранами-штабелерами. Применение передвижных стеллажей позволяет лучше использовать объемы складских помещений для многономенклатурных складов металлопроката. Для хранения (особенно цветных металлов) могут быть использованы и обычные каркасные или полочные стеллажи с расстоянием между стойками до 3—4 м. В качестве подъемно-транспортного оборудования для переработки металлопроката на складах используются:
- мостовые краны — для погрузки и разгрузки транспортных средств (полувагонов, автомобилей, тележек и т. д.), механизации комплектовочных работ на открытых и закрытых складах и для обслуживания зон хранения металлопроката на открытых крановых эстакадах;
- козловые краны, стреловые железнодорожные и башенные краны-погрузчики — на открытых складах металла для погрузки и разгрузки вагонов и автомобилей, обслуживания зон хранения грузов и механизации комплектовочных работ;
- консольные передвижные краны и электротали — для погрузки и разгрузки автомобилей и механизации комплектовочных работ на закрытых складах металлопроката;
-мостовые краны-штабелеры — для обслуживания зон хранения металлопроката, погрузки и разгрузки автотранспорта на закрытых и открытых складах металла;
- автопогрузчики с боковым выдвижным грузоподъемником — на открытых складах металлопроката для обслуживания стеллажей в зонах хранения;
- стеллажные краны-штабелеры с ручным и полуавтоматическим управлением и электропогрузчики с боковым выдвижным грузоподъемником — для обслуживания зон хранения металлопроката на закрытых складах.
Существуют мостовые краны-штабелеры с вилочным грузозахватом как общего назначения, так и краны специальные, с телескопическим грузозахватом. На небольших складах металлопроката наиболее эффективно применение автопогрузчиков с боковым выдвижным грузоподъемником моделей 4063, 4065, 4070, на средних по размерам складах — мостовых кранов-штабелеров, а при больших грузопотоках и запасах хранения металла — стеллажных кранов-штабелеров и высотных консольных стеллажей.
Для внутрискладских перемещений металлопроката, а также для приема и выдачи его в цехи-потребители со складов промышленных предприятий используются рельсовые тележки или приводные роликовые конвейеры. Работа этих механизмов может быть автоматизирована.
Грузозахватные приспособления делятся на клещевые, эксцентриковые, электромагнитные. Применяют электромагниты постоянного тока напряжением 220 В, круглой и прямоугольной формы. Грузоподъемность их достигает 10 т. Для применения грузоподъемных электромагнитов на кранах устанавливается дополнительное оборудование — выпрямитель тока.
Электромагниты применяют для перегрузки чушкового чугуна, лома черных металлов, металлической шихты для литейных цехов, листовой стали. Есть примеры оснащения грузоподъемными магнитами погрузчиков, что позволяет механизировать перегрузку металла при небольших грузопотоках и отсутствии кранов.
К вспомогательному оборудованию складов металла относятся торцеватели, взвешивающие устройства, устройства для обвязывания пачек металла лентой и проволокой для отмер а и резки стальных пакетов, проволоки, ленты и другие. Торцеватель служит для выравнивания прутков металла по длине перед укладкой их в лотки и на места хранения. Выравнивание осуществляется под действием собственного веса металлопроката при подъеме одного конца лотка краном или другим грузоподъемным устройством.
При организации складов металлов на предприятиях придерживаются двух принципов: специализации складов по производственному назначению металлов с учетом основных их потребителей или соответствия конструктивно-технического устройства складов особенностям хранения родственных номенклатурных групп металла.
Разнообразная номенклатура металлопродукции и различная степень ее подверженности разрушению обусловливают и разные способы хранения.
Открыто хранятся металлические конструкции, крупные профили проката и труб, кузнечные и осевые заготовки, толстолистовой металл, чугунные отливки. Под навесами хранят металлические конструкции из проката малых профилей, рядовой прокат средних и малых профилей, трубы газовые, катаные, цельнотянутые, радиаторы отопления.
















