82818 (574652), страница 2
Текст из файла (страница 2)
Запишем зависимость прибыли от основных параметров информационного, товарного и финансового потоков предприятия в следующем виде, принимая, что все другие параметры являются постоянными величинами в процессе проведения торговой сделки:
где Пр - прибыль предприятия после рекламы;
ПО - прибыль до рекламы;
КВКО - количество лиц, вступающих в контакт с рекламным обращением при одном рекламном воздействии;
КПП - общее количество потенциальных потребителей товаров в рекламной аудитории;
КЛА - общее количество лиц в рекламной аудитории;
КВК - количество потенциальных потребителей товара в рекламной аудитории, которые вступили в контакт с рекламным объявлением за исследуемый период времени;
КПР - количество потенциальных потребителей товаров на потребительском рынке;
КР - количество рекламных объявлений;
∆КТР = КТР - КТО изменение количества реализованных товаров от рекламы;
КТР и КТО - количество товаров, которое реализуется после и до рекламы;
СТР и СТО - стоимость товаров после и до рекламы соответственно;
СР - стоимость одного рекламного объявления;
КР - количество рекламных объявлений.
После замены всех размерных величин, входящих в уравнение (1) безразмерными, получим, что уравнение эффективности рекламы имеет следующий вид:
(2)
где
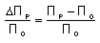
| критерий эффективности рекламы, который характеризует соотношение между дополнительной прибылью, полученной от рекламы, и прибылью предприятия, которая была до рекламы; | |
| критерий эффективности рекламного обращения; | |
| критерий эффективности охвата рекламной аудитории; | |
| критерий эффективности охвата потребительского рынка; | |
| критерий эффективности насыщения аудитории в рекламных посланиях; | |
| критерий эффективности воздействия рекламных объявлений; | |
| критерий эффективности продаж товаров от рекламы; | |
| критерий эффективности затрат на рекламу; | |
| критерий эффективности доходов от рекламы. |
Из уравнения (2) следует, что эффективность рекламы зависит от определенной совокупности комплексных безразмерных параметров, которые определяют условия формирования прибыли от рекламы. Каждый из вышеуказанных параметров может быть использован в качестве критерия, который характеризует интенсивность взаимодействия различных факторов, определяющих интенсивность информационных, товарных и финансовых потоков предприятия.
Рассмотрим структуру и экономический смысл безразмерных параметров, входящих в уравнение (2).
1. ЕРО - критерий эффективности рекламного обращения
Данный критерий характеризует долю потенциальных потребителей товара в рекламной аудитории, вступающих в контакт с рекламным обращением при одном рекламном воздействии. Эффективность рекламного обращения будет тем выше, чем больше количество лиц, вступающих в контакт с рекламным обращением при одном рекламном обращении.
2. Е0А - критерий эффективности охвата рекламной аудитории
Данный критерий характеризует соотношение между долей потенциальных потребителей товаров в рекламной аудитории, вступивших в контакт с рекламным объявлением, и долей потенциальных потребителей товаров в общем количестве лиц в рекламной аудитории, т.е.
Из структуры данного критерия следует, что увеличение количества лиц в рекламной аудитории, а также количества потенциальных потребителей товаров будет приводить к увеличению эффективности охвата рекламной аудитории только в том случае, если эти изменения будут сопровождаться соответствующим увеличением количества потенциальных потребителей товаров, вступивших в контакт с объявлением.
3. К0Р - критерий эффективности охвата потребительского рынка
Данный критерий характеризует соотношение между долей потенциальных потребителей товара на потребительском рынке, которые вступили в контакт с рекламным объявлением и долей потенциальных потребителей товаров на потребительском рынке, охваченных рекламоносителем, т.е.
4. ЕНА - критерий эффективности насыщения аудитории в рекламных посланиях
Данный критерий характеризует соотношение между долей потенциальных потребителей, вступивших в контакт с объявлением, и степенью насыщения рекламной аудитории в рекламных объявления, т.е.
где
- степень насыщения рекламной аудитории, которая характеризует соотношение между фактическим количеством рекламных объявлений и количеством рекламных объявлений, которое необходимо для оповещения всех потенциальных потребителей товаров в рекламной аудитории, т.е.
5. ЕВР - критерий эффективности воздействия рекламных объявлений
Данный критерий характеризует соотношение между количеством товаров, которые были проданы под воздействием рекламных объявлений, и количеством потенциальных потребителей товаров, вступивших в контакт с объявлением, т.е. характеризует количество реализованных от рекламы товаров, которое приходится на одного вступившего в контакт с рекламным объявлением, т.е.,
Ясно, что эффективность воздействия рекламы будет увеличиваться только в том случае, если увеличение количества потенциальных потребителей товаров, вступивших в контакт с рекламным объявлением, будет сопровождаться соответствующим увеличением количества реализованных товаров после рекламы.
6. ЕПТ - критерий эффективности продаж товаров от рекламы
Данный критерий характеризует соотношение между дополнительным количеством товаров, которое стало продаваться после рекламы, и количеством товаров, которое продавалось до рекламы.
7. ЕЗР - критерий эффективности затрат на рекламу
Критерий эффективности затрат на рекламу характеризует соотношение между относительным увеличением выручки от рекламы и долей затрат на рекламу в дополнительной выручке, т.е.
Из формулы (8) следует, что эффективность затрат на рекламу будет увеличиваться только в том случае, если увеличение количества, либо стоимости рекламы будет сопровождаться соответствующим увеличением дополнительной выручки от рекламы.
8. ЕДР - критерий эффективности доходов от рекламы
Данный критерий характеризует соотношение между дополнительной выручкой, полученной от рекламы, и выручкой, которая была до рекламы.
Следует отметить, что в зависимости от условия задачи можно использовать и другие критерии или их комбинации, которые позволят наиболее полно раскрыть основную суть решаемой задачи.
Таким образом, экономический смысл вышеуказанных критериев заключается в том, что каждый из них характеризует соотношение между различными факторами, определяющими интенсивность переноса информации о товаре, самого товара и финансовых средств предприятия.
Отличительной особенностью вышеуказанных критериев является то, что они выражены в безразмерном виде и имеют комплексный вид. Важным преимуществом данных критериев является то, что они образованы из первоначальных величин, являющихся параметрами информационного, товарного и финансового потоков предприятия. Это существенно упрощает не только расчет и сравнение эффективности рекламы, но и комплексный анализ условий формирования прибыли от рекламы, а также оптимизацию расходов на рекламу.
Кроме того, применение вышеуказанных критериев позволяет управлять эффективностью рекламы путем приведения фактической эффективности к запланированному значению.
Из уравнения (2) также следует, что эффективность рекламы будет постоянной в том случае, если численные значения каждого параметра, входящего в уравнение (2), будут постоянными в течение исследуемого периода времени. Это означает, что если на предприятии на какой-либо период времени была запланирована эффективность рекламы, равная (Ер) пл, то для того чтобы обеспечить постоянство запланированной эффективности, необходимо, чтобы
(Ер) ф = (Ер) пл = А, (11)
| где (Ер) ф | фактическая эффективность рекламы; |
| А | численное значение запланированной эффективности для определенного периода времени. |
Если учесть, что каждый безразмерный параметр, входящий в уравнение (2), имеет комплексный вид и образован из первоначальных (размерных) величин, то из условия (11) можно определить численные значения размерных величин, при которых фактическая эффективность рекламы будет равна запланированной.
Поясним вышеизложенное на cледующем упрощенном примере.















