81659 (574438), страница 2
Текст из файла (страница 2)
Характеристики персонала, оказывающего образовательные услуги.
С решением вопросов посвященные исследованию маркетинга образовательных услуг связано с решением вопросов маркетинга в ценовой политики, в товаро- наполняемости, а также в последующем сбытовой политики и кадровой политики.
Сущность аспектов маркетинга образовательных услуг, определяется необходимым сформулировать данное понимание в целом. Маркетинг образовательных услуг - это изучающая и формирующая стратегия и тактика действий, а также взаимоотношений субъектов рынка образовательных услуг.
Маркетинг образовательных услуг в целевом определяется большими коммерческими интересами всех субъектов рынка, а также создание широкого социального эффекта.
Для фактического определения сущности и содержания маркетинга образовательных услуг следует обратиться и проанализировать целостность функций маркетинга образовательных услуг.
В целом функции маркетинга определяют исследование и прогноз структуры рынка образовательных услуг, а также определение перспективных образовательных услуг и необходимость определение оптимальных значений объема, качества, ассортимента и сервиса образовательных услуг, определение ценообразования, в целом деятельности по продвижению и реализации образовательных услуг, а также их сопровождение в процессе потребления. Маркетинг образовательных услуг обеспечивает собственное развитие, при этом решая проблемы сотрудников для осуществления маркетинговой деятельности в образовании.
Специфика маркетинга образовательных услуг иногда проявляется как специфика научных, интеллектуальных услуг.
Существует особенность, вытекающая из самой сущности образовательных услуг и прежде всего это выражено в исключительности так называемого исходного материала сферы образования - субъекта обучающегося, которая определяет фактически важную роль в рыночном интересе образовательных услуг, а также технологий и условий их оказания.
Если отрешиться на некоторое время от субъекта образовательных услуг, такого как ВУЗ, и перейти на субъект среднего образовательного учреждения, где более интересным является проследить сущность образовательных услуг, можно выявить, что активность по предложению образовательных услуг в подобных учреждениях ограничена географическими параметрами, то есть рассматривается по территориальному признаку принадлежности.
Решающим субъектом образовательных услуг выступают личности не столько самих учащихся, сколько родителей: вместе с тем их выбор часто достаточно ограничен, это ограничения опять связано с территориальным фактором. Вместе с тем важна связка этих учреждений с учреждениями более высоких ступеней образования.
Учреждения высшей школы и дополнительного образования не только определяют себя свободнее от этих факторов, но и при этом имеют ряд серьезных дополнительных стимулов для развития маркетинга образовательных услуг в целом. Прежде всего, кадровый потенциал, это преподаватели и научные сотрудники, а также связи и возможности в отношении с другими образовательными учреждениями, в том числе - зарубежными. Целевые установки учреждений этого уровня образования неизбежно сильнее ориентированы на запросы предприятий, организаций и учреждений, которые будут в дальнейшем использовать выпускников.
В общей сложности нельзя утверждать, что в дошкольном, среднем, высшем и дополнительном образовании имеет место какой-то особый, однородный маркетинг. Основные элементы маркетинга весьма родственны во всех этих сферах, да и решают они одни и те же проблемы.
Формально функции маркетинга товаров и маркетинга услуг совпадают, т.е. они включают маркетинговые исследования рынка, маркетинговое планирование и организацию маркетинга, в том числе маркетинговый контроль и аудит. Отличия обнаруживаются при содержательном наполнении каждой из перечисленных функций, ибо услуга как предмет маркетинговых усилий достаточно специфична, что хорошо видно из общей модели процесса маркетинга услуг.
Центральное место в процессе маркетинга образовательных услуг занимает разработка комплекса маркетинга. Он включает в себя: услуги как товар, цену услуги, каналы распределения услуг и систему продвижения услуг на рынок.
Выделяют четыре уровня услуги - товара:
l) услуга - основной продукт, т.е. комбинация различных услуг, решающая проблемы клиента;
- услуги - сопутствующие товары, т.е. услуги, необходимые потребителям для того, чтобы использовать основной продукт;
- услуги - дополнительные товары, которые поддерживают основной товар, придают ему дополнительную пользу и помогают отличить от конкурирующих с ним;
4) услуга как товар в расширенном толковании включает в себя доступность основных, сопутствующих и дополнительных товаров и услуг, участие потребителей в процессе обслуживания и взаимодействия клиентов друг с другом.
Разработка услуги как элемента комплекса маркетинга услуг – это чаще всего разработка новой услуги, а в более широком смысле - нового продукта.
Процесс разработки нового услуги включает:
1. Генерирование идей. При этом следует иметь в виду, что главными источниками идей новых услуг являются сотрудники учреждения, потребители, конкуренты, дистрибьюторы и поставщики.
2. Отбор идей. Главная цель такого отбора - найти хорошие идеи и как можно скорее избавиться от плохих.
3. Разработка и проверка концепции нового услуги. При этом следует различать идею, концепцию и имидж услуги. Идея продукта - представление о продукте, который менеджеры учреждения могли бы предложить рынку. Концепцией продукта является пробная версия идеи, выраженная в значимых потребительских терминах. Имидж продукта представляет собой восприятие потребителями фактического или потенционального услуги.
4. Разработка стратегии маркетинга. Обычно она состоит из трех частей. Первая часть описывает целевой рынок, планируемую позицию продукта, объем сбыта, долю рынка и целевую прибыль. Вторая очерчивает планируемую цену продукта, систему его распределения и маркетинговый бюджет. Третья включает планируемые долгосрочные показатели объемов сбыта, прибылей и стратегии комплекса маркетинга - маркетинг-микс.
5. Бизнес-анализ, который включает обзор прогнозов объемов продажи, издержек и прибылей для того, чтобы определить, удовлетворяют ли они целям учреждения.
- Разработка продукта, когда создается образец продукта в соответствии с его концепцией.
- Пробный маркетинг. На этой стадии продукт и программа маркетинга вводятся в более реалистическую рыночную обстановку.
8. Коммерциализация, т.е. стадия, на которой услуга внедряется в рынок.
Если попытаться кратко изложить ценовую политику предприятия сферы услуг, то она сводится к решению двух комплексов задач:
1) выбор метода ценообразования;
2) разработка ценовой стратегии.
Наиболее известные методы ценообразования на услуги:
- затратное ценообразование, когда цена формируется по формуле: "затраты плюс прибыль";
- ценообразование по целевой прибыли или определение точки безубыточности обслуживания клиентов;
- ценообразование с ориентацией на запросы покупателей услуг, т.е. когда за основу ценообразования принимается восприятие ценности услуги покупателем, а не затраты производителя;
- ценообразование, основанное на конкуренции, т.е. учет доминирующих цен на рынке услуг.
Основные ценовые стратегии на рынке образовательных услуг:
- престижное ценообразование, что предпочтительно для высококачественного обслуживания;
- ценовая политика "снятие сливок", что возможно при ограничении доступа на рынок услуг конкурентов или при успешных рыночных нововведениях;
- ценовая политика "прорыва на рынок", что сильно напоминает демпинговые цены, устанавливаемые на услуги для вытеснения конкурентов с рынка;
- ценообразование на набор товаров (услуг), когда предоставляется возможность предложить потребителям определенный набор товара (услуг) по пониженной цене;
- скидки за объем услуг, что способствует более полной загрузке предприятий сферы услуг;
6) скидки, предлагаемые в зависимости от времени покупки (чаще всего сезонные скидки в сфере услуг);
7) дискриминационное ценообразование, которое позволяет максимизировать доходы предприятий сферы услуг;
8) психологическое ценообразование, когда при установлении цены услуги используются психологические аспекты, такие, как престиж, рекомендательные, ощутимые потребителями цены, или цены, сложившиеся в их представлении;
9) ценовое стимулирование сбыта, что чаще всего связано с установлением различных скидок и льгот.
Каналы распределения как элементы комплексов маркетинга услуг представляют собой совокупность независимых организаций, вовлеченных в процессе удовлетворения спроса на услуги и делающие их доступными для потребителей. Специалисты в области маркетинга услуг называют следующие функции канала распределения:
1) информация - сбор и представление результатов исследований о среде маркетинга услуг;
2) продвижение - создание и распространение в рекламных целях убедительной информации относительно предложения услуг;
3) контакт - приобретение предполагаемых потребителей и установление с ними соответствующих отношений;
4) адаптация - формирование и приспособление предложения услуг потребителями покупателям;
5) переговоры - согласование предложения и спроса на услуги;
6) физическое распределение - фактическое предоставление услуг потребителям;
7) финансирование - использование ресурсов для покрытия расходов на обеспечение работы канала распределения;
8) взятие риска - принятие финансовых рисков, включая компенсацию потерь из-за неполной загрузки производителей услуг.
Особенности выбора канала распределения образовательных услуг определяются следующими факторами:
- высокая степень неопределенности услуг;
- совместимость процессов производства и потребления услуг;
- сложность выбора поставщиков услуг;
- сложность оценки качества услуг;
- инерционность в потреблении услуг (достаточно часты повторные контакты);
- сложность гарантии цены и гарантии уровня сервиса;
- сложность поддержания постоянного контакта с лицами, принимающими решения по закупкам услуг;
- сложность контроля качества услуг;
- связанность услуг с другими товарами и услугами.
С учетом этого основными формами взаимодействия участников канала распределения услуг могут быть:
1) конкурирующие отношения, которые сводятся к достижению субоптимизации положения каждого участника канала распределения услуг в ущерб общесистемной оптимизации;
2) субстантивированные отношения, которые предполагают возможность соглашений в рамках обычных (традиционных) маркетинговых систем сбыта услуг;
- комплементарные отношения, которые обычно строятся как договорные вертикальные маркетинговые системы сбыта услуг;
- качественные отношения, которые чаще всего возможны как многоканальные маркетинговые системы сбыта услуг.
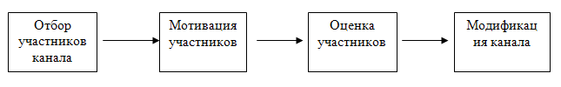
Процесс принятия решений по управлению каналом сбыта образовательных услуг можно представить в форме четырех последовательных итераций (рис. 1).
Рис 1 – Основные решения по управлению каналом сбыта
При отборе участников канала сбыта услуг руководство учреждения - должно оценить потенциальные возможности развития каждого участника канала, его прибыль, доходность, способность кооперации и репутацию. При этом учреждение должна постоянно мотивировать участников своих каналов сбыта, включая не только своих сотрудников, но и независимых посредников. Для обеспечения эффективного функционирования канала сбыта необходимо регулярно оценивать работу своих посредников и помогать им рекомендациями. С изменением покупательной модели потребителей услуг, расширением рынков сбыта, усложнением товаров и услуг, возникновением новых конкурентов возникает потребность в модификации структуры канала сбыта, что необходимо использовать для создания творческой структуры каналов распределения услуг.
Система продвижения услуг на рынок – это программа общих маркетинговых коммуникаций учреждения – продуцента услуг. Маркетологи называют четыре главных средства продвижения:
-
реклама – любая оплаченная форма неперсонального представления и продвижения идей, товаров и услуг определенным спонсором;
-
стимулирование сбыта – краткосрочные стимулы поощрения покупки или продажи товара или услуги;
-
связь с общественностью – построение хороших отношений компаний с различными слоями общественности;
-
персональные продажи – устное общение с одним или более предполагаемых покупателями с целью совершения продаж товаров и услуг.
Прикладные аспекты маркетинга в сфере услуг в большей или меньшей степени специфичны, что и будет показано на примере ряда отраслей индустрии услуг.
2. Стратегия маркетинга образовательных услуг НОУ "МОЙ МИР"
Необходимость исследования современных подходов к определению стратегии маркетинга образовательных, а также разработка мероприятий, направленных на повышение маркетинга образовательных услуг в конкурентной борьбе, определяет важность построения системы и структуры управления маркетингом образовательных услуг в целом.
В настоящее время является определяющим исследование практических подходов к управлению конкурентоспособностью на рынке образовательных услуг. Повышения конкурентоспособности маркетинга образовательных услуг заключаются в достижении следующих преимуществ: гибкость, социальное равноправие, масштабность и самое главное для бюджетных учреждений это экономичность.
Негосударственное Образовательное Учреждение "МОЙ МИР" (НОУ "МОЙ МИР"), является негосударственным образовательным учреждением дополнительного образования и оказывает дополнительные образовательные услуги, и зарегистрировано Государственной регистрационной палатой при Министерстве юстиции Амурской области 28 марта 2000 года, регистрационный N 98012.















